Relationship between Being Overweight and Clinical Outcomes of Ablation Therapy for Hepatocellular Carcinoma under Ultrasound Guidance: A Retrospective Analysis
Abstract
Simple Summary
Abstract
1. Introduction
2. Materials and Methods
2.1. Patients
2.2. Indication for Ablation Therapy and Ablation Procedure
2.3. The Definition of Being Overweight
2.4. Follow-Up and Evaluation of Efficacy and Safety of Ablation Therapy
2.5. Statistical Analyses
3. Results
3.1. Patient Characteristics
3.2. Short-Term Clinical Outcomes and Factors Affecting TSR at the First Session
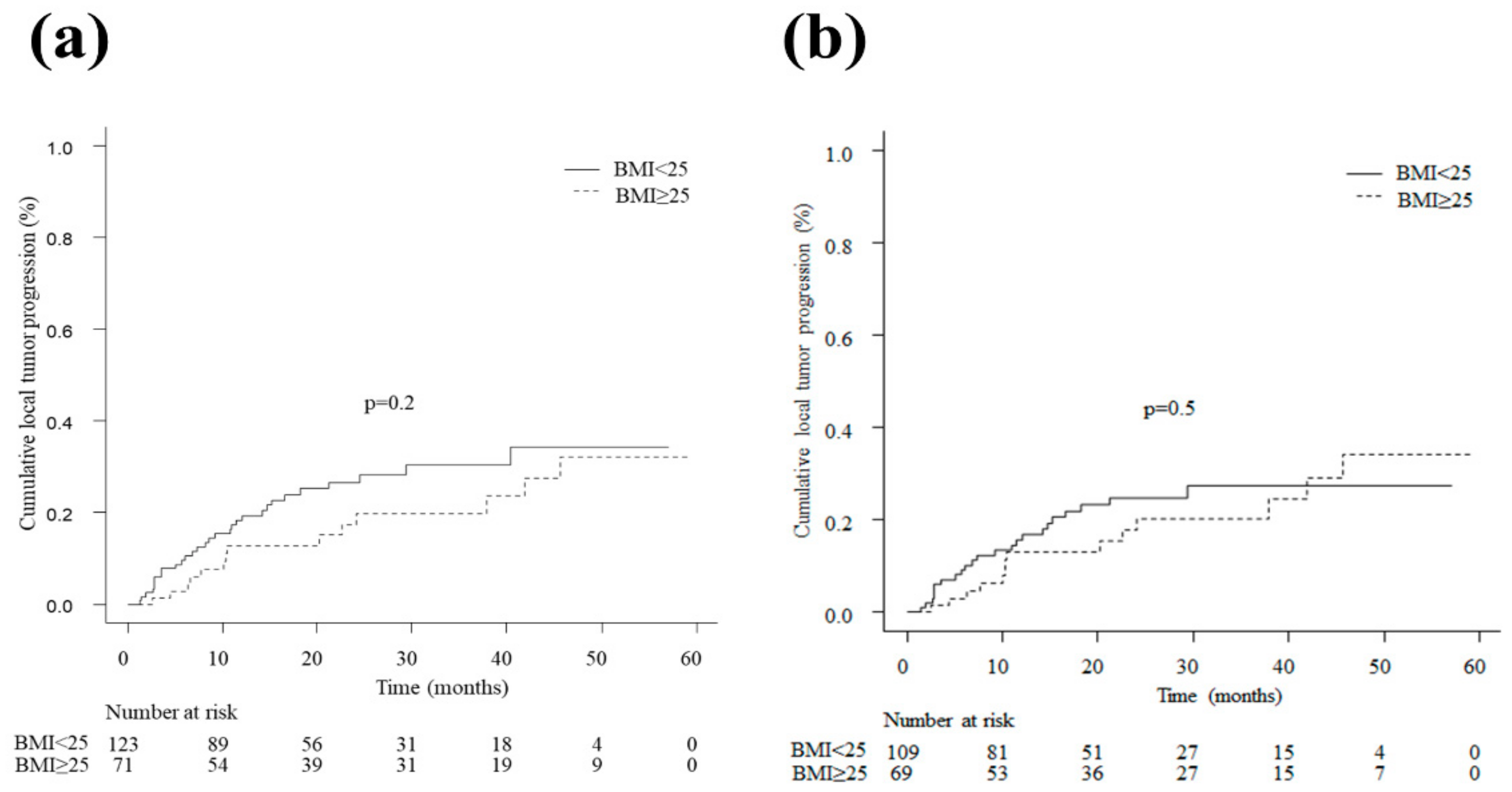
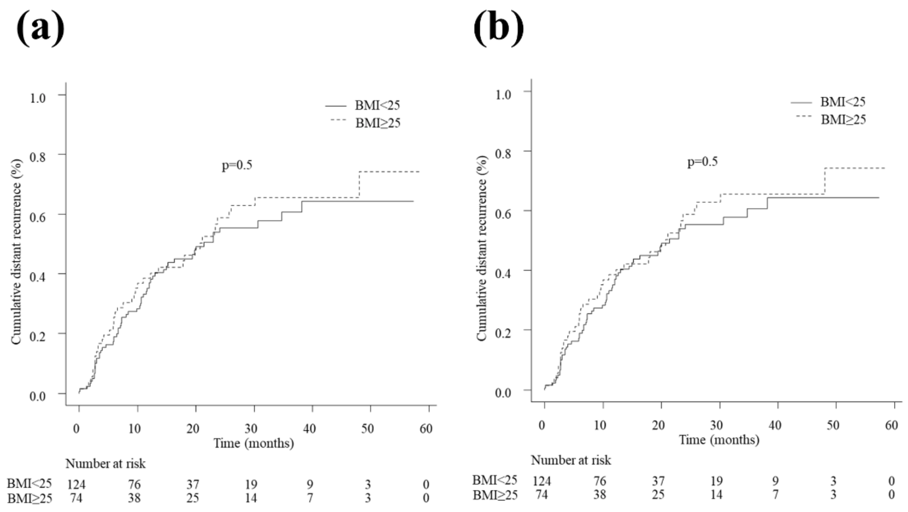
3.3. Local Tumor Progression, Distant Recurrence, and Overall Survival
4. Discussion
5. Conclusions
Author Contributions
Funding
Institutional Review Board Statement
Informed Consent Statement
Data Availability Statement
Acknowledgments
Conflicts of Interest
References
- Ferlay, J.; Colombet, M.; Soerjomataram, I.; Parkin, D.M.; Piñeros, M.; Znaor, A.; Bray, F. Cancer statistics for the year 2020: An overview. Int. J. Cancer 2021, 149, 778–789. [Google Scholar] [CrossRef] [PubMed]
- Reig, M.; Forner, A.; Rimola, J.; Ferrer-Fàbrega, J.; Burrel, M.; Garcia-Criado, Á.; Kelley, R.K.; Galle, P.R.; Mazzaferro, V.; Salem, R.; et al. BCLC strategy for prognosis prediction and treatment recommendation: The 2022 update. J. Hepatol. 2022, 76, 681–693. [Google Scholar] [CrossRef] [PubMed]
- Kudo, M.; Kawamura, Y.; Hasegawa, K.; Tateishi, R.; Kariyama, K.; Shiina, S.; Toyoda, H.; Imai, Y.; Hiraoka, A.; Ikeda, M.; et al. Management of hepatocellular carcinoma in Japan: JSH consensus statements and recommendations 2021 Update. Liver Cancer 2021, 10, 181–223. [Google Scholar] [CrossRef] [PubMed]
- Kim, Y.S.; Lim, H.K.; Rhim, H.; Lee, M.W.; Choi, D.; Lee, W.J.; Paik, S.W.; Koh, K.C.; Lee, J.H.; Choi, M.S.; et al. Ten-year outcomes of percutaneous radiofrequency ablation as first-line therapy of early hepatocellular carcinoma: Analysis of prognostic factors. J. Hepatol. 2013, 58, 89–97. [Google Scholar] [CrossRef]
- Shiina, S.; Tateishi, R.; Arano, T.; Uchino, K.; Enooku, K.; Nakagawa, H.; Asaoka, Y.; Sato, T.; Masuzaki, R.; Kondo, Y.; et al. Radiofrequency ablation for hepatocellular carcinoma: 10-year outcome and prognostic factors. Am. J. Gastroenterol. 2012, 107, 569–577, quiz 578. [Google Scholar] [CrossRef] [PubMed]
- Nault, J.C.; Sutter, O.; Nahon, P.; Ganne-Carrié, N.; Séror, O. Percutaneous treatment of hepatocellular carcinoma: State of the art and innovations. J. Hepatol. 2018, 68, 783–797. [Google Scholar] [CrossRef]
- Takayama, T.; Hasegawa, K.; Izumi, N.; Kudo, M.; Shimada, M.; Yamanaka, N.; Inomata, M.; Kaneko, S.; Nakayama, H.; Kawaguchi, Y.; et al. Surgery versus radiofrequency ablation for small hepatocellular carcinoma: A randomized controlled trial (SURF Trial). Liver Cancer 2022, 11, 209–218. [Google Scholar] [CrossRef]
- Liu, B.; Du, Y.; Wu, Y.; Snetselaar, L.G.; Wallace, R.B.; Bao, W. Trends in obesity and adiposity measures by race or ethnicity among adults in the United States 2011-18: Population based study. BMJ 2021, 372, n365. [Google Scholar] [CrossRef]
- Dwivedi, A.K.; Dubey, P.; Cistola, D.P.; Reddy, S.Y. Association Between obesity and cardiovascular outcomes: Updated evidence from meta-analysis studies. Curr. Cardiol. Rep. 2020, 22, 25. [Google Scholar] [CrossRef]
- Hashimoto, E.; Tokushige, K. Prevalence, gender, ethnic variations, and prognosis of NASH. J. Gastroenterol. 2011, 46 (Suppl. S1), 63–69. [Google Scholar] [CrossRef]
- Tateishi, R.; Uchino, K.; Fujiwara, N.; Takehara, T.; Okanoue, T.; Seike, M.; Yoshiji, H.; Yatsuhashi, H.; Shimizu, M.; Torimura, T.; et al. A nationwide survey on non-B, non-C hepatocellular carcinoma in Japan: 2011–2015 update. J. Gastroenterol. 2019, 54, 367–376. [Google Scholar] [CrossRef]
- Toyoda, H.; Kariyama, K.; Hiraoka, A.; Tsuji, K.; Ishikawa, T.; Hatanaka, T.; Naganuma, A.; Yasuda, S.; Nouso, K.; Kakizaki, S.; et al. Improved survival of viral hepatocellular carcinoma but not non-viral hepatocellular carcinoma from 2000 to 2020: A multi-centre cohort study of 6007 patients from high-volume academic centres in Japan. Aliment. Pharmacol. Ther. 2022, 56, 694–701. [Google Scholar] [CrossRef]
- European Association for the Study of the Liver. EASL Clinical Practice Guidelines: Management of hepatocellular carcinoma. J. Hepatol. 2018, 69, 182–236. [Google Scholar] [CrossRef]
- Heimbach, J.K.; Kulik, L.M.; Finn, R.S.; Sirlin, C.B.; Abecassis, M.M.; Roberts, L.R.; Zhu, A.X.; Murad, M.H.; Marrero, J.A. AASLD guidelines for the treatment of hepatocellular carcinoma. Hepatology 2018, 67, 358–380. [Google Scholar] [CrossRef]
- World Health Organization. Available online: https://www.who.int/news-room/fact-sheets/detail/obesity-and-overweight# (accessed on 13 February 2023).
- Ahmed, M. Image-guided tumor ablation: Standardization of terminology and reporting criteria—A 10-year update: Supplement to the consensus document. J. Vasc. Interv. Radiol. 2014, 25, 1706–1708. [Google Scholar] [CrossRef]
- Kanda, Y. Investigation of the freely available easy-to-use software ‘EZR’ for medical statistics. Bone Marrow Transplant. 2013, 48, 452–458. [Google Scholar] [CrossRef]
- Ohki, T.; Tateishi, R.; Shiina, S.; Sato, T.; Masuzaki, R.; Yoshida, H.; Kanai, F.; Obi, S.; Omata, M. Obesity did not diminish the efficacy of percutaneous ablation for hepatocellular carcinoma. Liver Int. 2007, 27, 360–367. [Google Scholar] [CrossRef]
- Guo, Z.; Zhang, J.; Jiang, J.H.; Li, L.Q.; Xiang, B.D. Obesity does not influence outcomes in hepatocellular carcinoma patients following curative hepatectomy. PLoS ONE 2015, 10, e0125649. [Google Scholar] [CrossRef]
- Ono, A.; Suzuki, F.; Kawamura, Y.; Sezaki, H.; Hosaka, T.; Akuta, N.; Kobayashi, M.; Suzuki, Y.; Saitou, S.; Arase, Y.; et al. Long-term continuous entecavir therapy in nucleos(t)ide-naïve chronic hepatitis B patients. J. Hepatol. 2012, 57, 508–514. [Google Scholar] [CrossRef]
- Buti, M.; Gane, E.; Seto, W.K.; Chan, H.L.; Chuang, W.L.; Stepanova, T.; Hui, A.J.; Lim, Y.S.; Mehta, R.; Janssen, H.L.; et al. Tenofovir alafenamide versus tenofovir disoproxil fumarate for the treatment of patients with HBeAg-negative chronic hepatitis B virus infection: A randomised, double-blind, phase 3, non-inferiority trial. Lancet Gastroenterol. Hepatol. 2016, 1, 196–206. [Google Scholar] [CrossRef]
- Tada, T.; Kumada, T.; Toyoda, H.; Kiriyama, S.; Tanikawa, M.; Hisanaga, Y.; Kanamori, A.; Kitabatake, S.; Yama, T.; Tanaka, J. Viral eradication reduces all-cause mortality in patients with chronic hepatitis C virus infection: A propensity score analysis. Liver Int. 2016, 36, 817–826. [Google Scholar] [CrossRef]
- Llovet, J.M.; Ricci, S.; Mazzaferro, V.; Hilgard, P.; Gane, E.; Blanc, J.F.; de Oliveira, A.C.; Santoro, A.; Raoul, J.L.; Forner, A.; et al. Sorafenib in advanced hepatocellular carcinoma. N. Engl. J. Med. 2008, 359, 378–390. [Google Scholar] [CrossRef] [PubMed]
- Kudo, M.; Finn, R.S.; Qin, S.; Han, K.H.; Ikeda, K.; Piscaglia, F.; Baron, A.; Park, J.W.; Han, G.; Jassem, J.; et al. Lenvatinib versus sorafenib in first-line treatment of patients with unresectable hepatocellular carcinoma: A randomised phase 3 non-inferiority trial. Lancet 2018, 391, 1163–1173. [Google Scholar] [CrossRef] [PubMed]
- Finn, R.S.; Qin, S.; Ikeda, M.; Galle, P.R.; Ducreux, M.; Kim, T.Y.; Kudo, M.; Breder, V.; Merle, P.; Kaseb, A.O.; et al. Atezolizumab plus bevacizumab in unresectable hepatocellular carcinoma. N. Engl. J. Med. 2020, 382, 1894–1905. [Google Scholar] [CrossRef]
- Ioannou, G.N.; Splan, M.F.; Weiss, N.S.; McDonald, G.B.; Beretta, L.; Lee, S.P. Incidence and predictors of hepatocellular carcinoma in patients with cirrhosis. Clin. Gastroenterol. Hepatol. 2007, 5, 938–945.e4. [Google Scholar] [CrossRef]
- Kyrgiou, M.; Kalliala, I.; Markozannes, G.; Gunter, M.J.; Paraskevaidis, E.; Gabra, H.; Martin-Hirsch, P.; Tsilidis, K.K. Adiposity and cancer at major anatomical sites: Umbrella review of the literature. BMJ 2017, 356, j477. [Google Scholar] [CrossRef]
- Wiggins, T.; Antonowicz, S.S.; Markar, S.R. Cancer risk following bariatric surgery-systematic review and meta-analysis of national population-based cohort studies. Obes. Surg. 2019, 29, 1031–1039. [Google Scholar] [CrossRef]
- Elagizi, A.; Kachur, S.; Lavie, C.J.; Carbone, S.; Pandey, A.; Ortega, F.B.; Milani, R.V. An overview and update on obesity and the obesity paradox in cardiovascular diseases. Prog. Cardiovasc. Dis. 2018, 61, 142–150. [Google Scholar] [CrossRef]
- Park, J.; Ahmadi, S.F.; Streja, E.; Molnar, M.Z.; Flegal, K.M.; Gillen, D.; Kovesdy, C.P.; Kalantar-Zadeh, K. Obesity paradox in end-stage kidney disease patients. Prog. Cardiovasc. Dis. 2014, 56, 415–425. [Google Scholar] [CrossRef]
- Masuzaki, R.; Shiina, S.; Tateishi, R.; Yoshida, H.; Goto, E.; Sugioka, Y.; Kondo, Y.; Goto, T.; Ikeda, H.; Omata, M.; et al. Utility of contrast-enhanced ultrasonography with Sonazoid in radiofrequency ablation for hepatocellular carcinoma. J. Gastroenterol. Hepatol. 2011, 26, 759–764. [Google Scholar] [CrossRef]
- Liu, L.; Jin, R.; Hao, J.; Zeng, J.; Yin, D.; Yi, Y.; Zhu, M.; Mandal, A.; Hua, Y.; Ng, C.K.; et al. Consumption of the fish oil high-fat diet uncouples obesity and mammary tumor growth through induction of reactive oxygen species in protumor macrophages. Cancer Res. 2020, 80, 2564–2574. [Google Scholar] [CrossRef]





| Overall Patients (n = 198) | Overweight Patients (n = 74) | Non-Overweight Patients (n = 124) | p Value | |
|---|---|---|---|---|
| Age (years) | 74.0 (69.0, 79.0) | 73.5 (69.0–79.0) | 74.0 (69.8–79.0) | 0.6 |
| Male, n (%) | 142 (71.7) | 55 (74.3) | 87 (70.2) | 0.6 |
| Body mass index (kg/m2) | 23.4 (22.0, 26.5) | 27.2 (25.9–28.7) | 22.5 (20.7–23.7) | <0.001 |
| Underlying liver diseases, n (%) | 0.02 | |||
| HBV | 11 (5.6) | 1 (1.4) | 10 (8.1) | |
| HCV | 110 (55.6) | 37 (50.0) | 73 (58.9) | |
| Alcohol | 42 (21.2) | 16 (21.6) | 26 (21.0) | |
| Others | 35 (17.7) | 20 (27.0) | 15 (12.1) | |
| Viral-related disease, n (%) | 121 (61.1) | 38 (51.4) | 83 (66.9) | 0.04 |
| Performance status, n (%) | 0.7 | |||
| 0 | 160 (80.8) | 60 (81.1) | 100 (80.6) | |
| 1 | 33 (16.7) | 13 (17.6) | 20 (16.1) | |
| 2 | 5 (2.5) | 1 (1.4) | 4 (3.2) | |
| Hypertension, n (%) | 125 (63.1) | 47 (63.5) | 78 (62.9) | 1.0 |
| Diabetes mellitus, n (%) | 68 (34.3) | 28 (37.8) | 40 (32.3) | 0.4 |
| Dyslipidemia, n (%) | 39 (19.7) | 20 (27.0) | 19 (15.3) | 0.06 |
| Treatment naïve, n (%) | 84 (42.4) | 28 (37.8) | 56 (45.2) | 0.4 |
| Platelet count (×104/μL) | 13.9 (10.0–18.2) | 12.7 (9.9–16.4) | 14.0 (10.2–18.4) | 0.2 |
| Prothrombin time (%) | 90.0 (77.8–97.5) | 86.1 (75.8–95.1) | 89.6 (80.8–97.7) | 0.2 |
| Total bilirubin (mg/dL) | 0.9 (0.6–1.0) | 0.9 (0.6–1.1) | 0.8 (0.6–1.0) | 0.1 |
| Serum albumin (g/dL) | 3.9 (3.6–4.2) | 3.9 (3.6–4.1) | 3.9 (3.6–4.2) | 0.4 |
| AST (U/L) | 29 (22–39) | 30 (22–40) | 28 (22–38) | 0.5 |
| ALT (U/L) | 22 (16–32) | 24 (17–35) | 21 (15–31) | 0.09 |
| Total lymphocyte count (/μL) | 1310 (985–1730) | 1400 (1075–1780) | 1280 (905–1670) | 0.08 |
| Total cholesterol (mg/dL) | 169 (143–191) | 169 (256–187) | 169 (142–193) | 0.8 |
| Child–Pugh Class, n (%) | 0.5 | |||
| A | 174 (87.9) | 65 (87.8) | 109 (87.9) | |
| B | 22 (11.1) | 9 (12.2) | 13 (10.5) | |
| C | 2 (1.0) | 0 (0.0) | 2 (1.6) | |
| ALBI score | −2.57 (−2.84 to −2.23) | −2.52 (−2.78 to −2.20) | −2.60 (−2.85 to −2.25) | 0.3 |
| ALBI grade, n (%) | 0.2 | |||
| 1 | 94 (47.5) | 32 (43.2) | 62 (50.0) | |
| 2 | 101 (51.0) | 42 (56.8) | 59 (47.6) | |
| 3 | 3 (1.5) | 0 (0.0) | 3 (2.4) | |
| Maximum tumor diameter (mm) | 18 (12–25) | 18 (13–23) | 18 (12–25) | 0.9 |
| The number of tumors, n (%) | 0.7 | |||
| 1 | 123 (62.1) | 43 (58.1) | 80 (64.5) | |
| 2 | 42 (21.2) | 17 (23.0) | 25 (20.2) | |
| 3 | 23 (11.6) | 9 (12.2) | 14 (11.3) | |
| ≥4 | 10 (5.1) | 5 (6.8) | 5 (4.0) | |
| AFP ≥ 100 (ng/mL), n (%) | 20 (10.2) | 4 (5.4) | 16 (13.1) | 0.09 |
| AFP-L3 ≥ 20 (%), n (%) | 24 (12.2) | 5 (6.8) | 19 (15.6) | 0.08 |
| DCP ≥ 100 (mAU/mL), n (%) | 27 (14.1) | 9 (12.5) | 18 (15.1) | 0.7 |
| Treatment modality, n (%) | 0.2 | |||
| Radiofrequency ablation | 138 (69.7) | 56 (75.7) | 82 (66.1) | |
| Microwave ablation | 60 (30.3) | 18 (24.3) | 42 (33.9) |
| Overweight Patients (n = 74) | Non-Overweight Patients (n = 124) | p Value | |
|---|---|---|---|
| TSR (%) | |||
| at the first session | 78.4 | 90.3 | 0.03 |
| at the final session | 95.9 | 99.2 | 0.3 |
| Additional ablation, n (%) | 15 (20.3) | 11 (8.9) | 0.03 |
| CEUS, n (%) | 23 (31.1) | 61 (49.2) | 0.02 |
| Fusion imaging, n (%) | 70 (94.6) | 110 (88.7) | 0.2 |
| The number of insertions | 3 (2–4) | 3 (2–4) | 0.3 |
| Total ablation time (min) | 11 (6.3–15.9) | 10 (6.0–15.0) | 0.5 |
| Procedure time (min) | 61.5 (46.3–87.5) | 67.0 (48.5–88.0) | 0.7 |
| Dose of midazolam (mg) | 6 (5–8) | 6 (4–7) | 0.1 |
| Dose of pentazocine (mg) | 30 (15–30) | 30 (15–30) | 0.3 |
| Major complication, n (%) | 1 (1.4) | 2 (1.6) | 1.0 |
| Overweight Patients (n = 74) | Non-Overweight Patients (n = 124) | p Value | |
|---|---|---|---|
| Overall patients | 78.4 (58/74) | 90.3 (112/124) | 0.03 |
| Maximum tumor diameter (mm) | |||
| <20 | 88.4 (38/43) | 95.6 (65/68) | 0.3 |
| ≥20 | 64.5 (20/31) | 83.9 (47/56) | 0.06 |
| Tumor spread * | |||
| Left lobe | 81.2 (13/16) | 90.0 (18/20) | 0.6 |
| Right lobe | 95.1 (39/41) | 93.2 (82/88) | 1.0 |
| Both lobes | 31.2 (5/16) | 75.0 (12/16) | 0.03 |
| The number of tumors | |||
| Solitary | 93.0 (40/43) | 95.0 (76/80) | 0.7 |
| Multiple | 58.1 (18/31) | 81.8 (36/44) | 0.04 |
| Left or right lobe | 86.7 (13/15) | 85.7 (24/28) | 1.0 |
| Both lobes | 31.2 (5/16) | 75.0 (12/16) | 0.03 |
Disclaimer/Publisher’s Note: The statements, opinions and data contained in all publications are solely those of the individual author(s) and contributor(s) and not of MDPI and/or the editor(s). MDPI and/or the editor(s) disclaim responsibility for any injury to people or property resulting from any ideas, methods, instructions or products referred to in the content. |
© 2023 by the authors. Licensee MDPI, Basel, Switzerland. This article is an open access article distributed under the terms and conditions of the Creative Commons Attribution (CC BY) license (https://creativecommons.org/licenses/by/4.0/).
Share and Cite
Hatanaka, T.; Yata, Y.; Saito, N.; Nakano, S.; Nakano, Y.; Hazama, Y.; Yoshida, S.; Hachisu, Y.; Tanaka, Y.; Yoshinaga, T.; et al. Relationship between Being Overweight and Clinical Outcomes of Ablation Therapy for Hepatocellular Carcinoma under Ultrasound Guidance: A Retrospective Analysis. Cancers 2023, 15, 1289. https://doi.org/10.3390/cancers15041289
Hatanaka T, Yata Y, Saito N, Nakano S, Nakano Y, Hazama Y, Yoshida S, Hachisu Y, Tanaka Y, Yoshinaga T, et al. Relationship between Being Overweight and Clinical Outcomes of Ablation Therapy for Hepatocellular Carcinoma under Ultrasound Guidance: A Retrospective Analysis. Cancers. 2023; 15(4):1289. https://doi.org/10.3390/cancers15041289
Chicago/Turabian StyleHatanaka, Takeshi, Yutaka Yata, Naoto Saito, Sachi Nakano, Yuya Nakano, Yoichi Hazama, Sachiko Yoshida, Yoko Hachisu, Yoshiki Tanaka, Teruo Yoshinaga, and et al. 2023. "Relationship between Being Overweight and Clinical Outcomes of Ablation Therapy for Hepatocellular Carcinoma under Ultrasound Guidance: A Retrospective Analysis" Cancers 15, no. 4: 1289. https://doi.org/10.3390/cancers15041289
APA StyleHatanaka, T., Yata, Y., Saito, N., Nakano, S., Nakano, Y., Hazama, Y., Yoshida, S., Hachisu, Y., Tanaka, Y., Yoshinaga, T., Naganuma, A., & Kakizaki, S. (2023). Relationship between Being Overweight and Clinical Outcomes of Ablation Therapy for Hepatocellular Carcinoma under Ultrasound Guidance: A Retrospective Analysis. Cancers, 15(4), 1289. https://doi.org/10.3390/cancers15041289

