Prognostic Value of the De Ritis Ratio for Overall Survival in Patients with Metastatic Castration-Resistant Prostate Cancer Undergoing [177Lu]Lu-PSMA-617 Radioligand Therapy
Abstract
:Simple Summary
Abstract
1. Introduction
2. Materials and Methods
2.1. Patients
2.2. [177Lu]Lu-PSMA RLT
2.3. Baseline Parameters
- Alkaline phosphatase: 40–130 U/L;
- White blood cell count: 3.9–10.5/nL;
- Red blood cell count: 4.3–5.8/pl (<65 years of age), 4.0–5.6/pl (>65 years);
- Hemoglobin: 13.5–17.0 g/dL (<65 years), 12.5–17.2 g/dL (>65 years);
- Platelet count: 150–370/nL;
- Neutrophil count: 1.5–7.7/nL;
- Lymphocyte count: 1.1–4.5/nL;
- Aspartate transaminase (AST): <50 U/L;
- Alanine transaminase (ALT): ≤41 U/L.
2.4. Follow-Up and Survival Status
2.5. Statistical Analysis
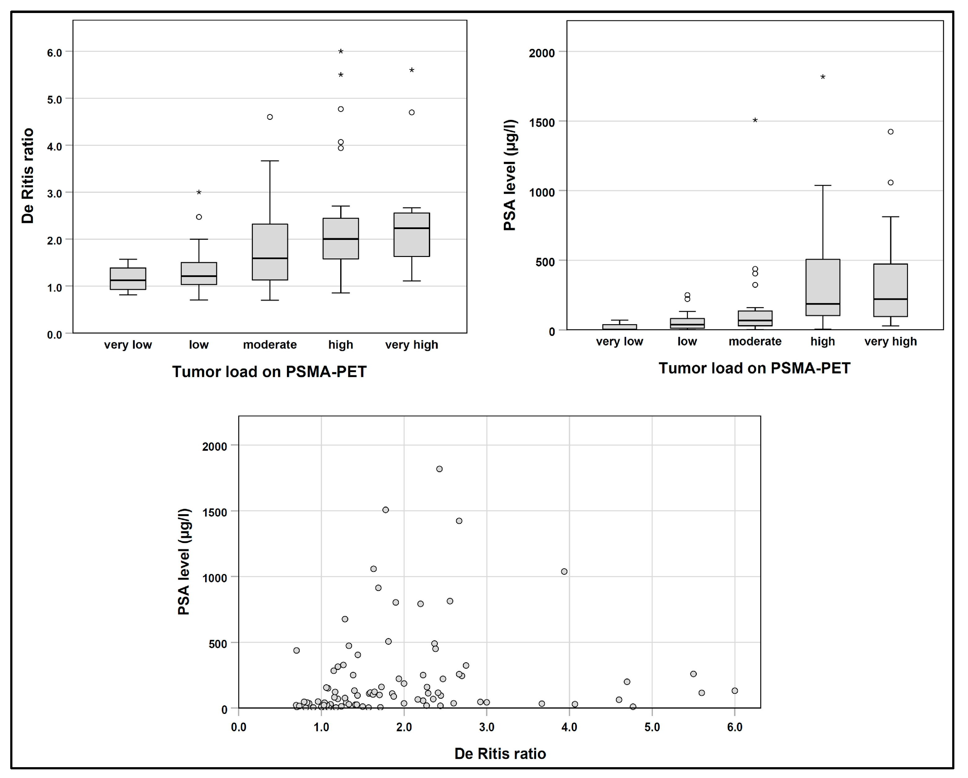
3. Results
3.1. Patients
3.2. Overall Survival
3.3. Simplified Risk Score to Predict Overall Survival
4. Discussion
5. Conclusions
Author Contributions
Funding
Institutional Review Board Statement
Informed Consent Statement
Data Availability Statement
Conflicts of Interest
References
- EAU Guidelines: Prostate Cancer. 2023. Available online: https://uroweb.org/guidelines/prostate-cancer (accessed on 17 August 2023).
- Sartor, O.; de Bono, J.; Chi, K.N.; Fizazi, K.; Herrmann, K.; Rahbar, K.; Tagawa, S.T.; Nordquist, L.T.; Vaishampayan, N.; El-Haddad, G.; et al. Lutetium-177-PSMA-617 for Metastatic Castration-Resistant Prostate Cancer. N. Engl. J. Med. 2021, 385, 1091–1103. [Google Scholar] [CrossRef] [PubMed]
- Zarehparvar Moghadam, S.; Askari, E.; Divband, G.; Shakeri, S.; Aryana, K. Efficacy, Safety and Prognostic Factors Affecting Overall Survival among Metastatic Prostate Cancer Patients Undergoing Treatment with 177Lu-PSMA-617: A Single Center Study. Rev. Esp. Med. Nucl. Imagen Mol. 2022, 41, 239–246. [Google Scholar] [CrossRef] [PubMed]
- Wrenger, R.; Jüptner, M.; Marx, M.; Zhao, Y.; Zuhayra, M.; Caliebe, A.; Osmonov, D.; Lützen, U. Pre- and Intratherapeutic Predictors of Overall Survival in Patients with Advanced Metastasized Castration-Resistant Prostate Cancer Receiving Lu-177-PSMA-617 Radioligand Therapy. BMC Urol. 2022, 22, 96. [Google Scholar] [CrossRef]
- Telli, T.; Tuncel, M.; Karabulut, E.; Aksoy, S.; Erman, M.; Akdogan, B.; Caglar, M. Prognostic Factors of Overall and Prostate-Specific Antigen-Progression-Free Survival in Metastatic Castration-Resistant Prostate Cancer Patients Treated with 177 Lu-PSMA-617. A Single-Center Prospective Observational Study. Prostate 2023, 83, 792–800. [Google Scholar] [CrossRef]
- Meyrick, D.; Gallyamov, M.; Sabarimurugan, S.; Falzone, N.; Lenzo, N. Real-World Data Analysis of Efficacy and Survival After Lutetium-177 Labelled PSMA Ligand Therapy in Metastatic Castration-Resistant Prostate Cancer. Target Oncol. 2021, 16, 369–380. [Google Scholar] [CrossRef]
- Gafita, A.; Calais, J.; Grogan, T.R.; Hadaschik, B.; Wang, H.; Weber, M.; Sandhu, S.; Kratochwil, C.; Esfandiari, R.; Tauber, R.; et al. Nomograms to Predict Outcomes after 177Lu-PSMA Therapy in Men with Metastatic Castration-Resistant Prostate Cancer: An International, Multicentre, Retrospective Study. Lancet Oncol. 2021, 22, 1115–1125. [Google Scholar] [CrossRef]
- Ahmadzadehfar, H.; Rahbar, K.; Baum, R.P.; Seifert, R.; Kessel, K.; Bögemann, M.; Kulkarni, H.R.; Zhang, J.; Gerke, C.; Fimmers, R.; et al. Prior Therapies as Prognostic Factors of Overall Survival in Metastatic Castration-Resistant Prostate Cancer Patients Treated with [177Lu]Lu-PSMA-617. A WARMTH Multicenter Study (the 617 Trial). Eur. J. Nucl. Med. Mol. Imaging 2021, 48, 113–122. [Google Scholar] [CrossRef]
- Wang, H.; Fang, K.; Zhang, J.; Jiang, Y.; Wang, G.; Zhang, H.; Chen, T.; Shi, X.; Li, Y.; Duan, F.; et al. The Significance of De Ritis (Aspartate Transaminase/Alanine Transaminase) Ratio in Predicting Pathological Outcomes and Prognosis in Localized Prostate Cancer Patients. Int. Urol. Nephrol. 2017, 49, 1391–1398. [Google Scholar] [CrossRef]
- Miyake, H.; Matsushita, Y.; Watanabe, H.; Tamura, K.; Suzuki, T.; Motoyama, D.; Ito, T.; Sugiyama, T.; Otsuka, A. Significance of De Ritis (Aspartate Transaminase/Alanine Transaminase) Ratio as a Significant Prognostic But Not Predictive Biomarker in Japanese Patients with Metastatic Castration-Resistant Prostate Cancer Treated with Cabazitaxel. Anticancer Res. 2018, 38, 4179–4185. [Google Scholar] [CrossRef]
- Lee, H.; Lee, S.E.; Byun, S.-S.; Kim, H.H.; Kwak, C.; Hong, S.K. De Ritis Ratio (Aspartate Transaminase/Alanine Transaminase Ratio) as a Significant Prognostic Factor after Surgical Treatment in Patients with Clear-Cell Localized Renal Cell Carcinoma: A Propensity Score-Matched Study. BJU Int. 2017, 119, 261–267. [Google Scholar] [CrossRef]
- Bezan, A.; Mrsic, E.; Krieger, D.; Stojakovic, T.; Pummer, K.; Zigeuner, R.; Hutterer, G.C.; Pichler, M. The Preoperative AST/ALT (De Ritis) Ratio Represents a Poor Prognostic Factor in a Cohort of Patients with Nonmetastatic Renal Cell Carcinoma. J. Urol. 2015, 194, 30–35. [Google Scholar] [CrossRef] [PubMed]
- Ha, Y.-S.; Kim, S.W.; Chun, S.Y.; Chung, J.-W.; Choi, S.H.; Lee, J.N.; Kim, B.S.; Kim, H.T.; Yoo, E.S.; Kwon, T.G.; et al. Association between De Ritis Ratio (Aspartate Aminotransferase/Alanine Aminotransferase) and Oncological Outcomes in Bladder Cancer Patients after Radical Cystectomy. BMC Urol. 2019, 19, 10. [Google Scholar] [CrossRef] [PubMed]
- Hu, X.; Yang, W.-X.; Wang, Y.; Shao, Y.-X.; Xiong, S.-C.; Li, X. The Prognostic Value of De Ritis (AST/ALT) Ratio in Patients after Surgery for Urothelial Carcinoma: A Systematic Review and Meta-Analysis. Cancer Cell Int. 2020, 20, 39. [Google Scholar] [CrossRef] [PubMed]
- Ruhwedel, T.; Rogasch, J.M.M.; Huang, K.; Jann, H.; Schatka, I.; Furth, C.; Amthauer, H.; Wetz, C. The Prognostic Value of the De Ritis Ratio for Progression-Free Survival in Patients with NET Undergoing [177Lu]Lu-DOTATOC-PRRT: A Retrospective Analysis. Cancers 2021, 13, 635. [Google Scholar] [CrossRef]
- Gafita, A.; Wang, H.; Robertson, A.; Armstrong, W.R.; Zaum, R.; Weber, M.; Yagubbayli, F.; Kratochwil, C.; Grogan, T.R.; Nguyen, K.; et al. Tumor Sink Effect in 68Ga-PSMA-11 PET: Myth or Reality? J. Nucl. Med. 2022, 63, 226–232. [Google Scholar] [CrossRef]
- Budczies, J.; Klauschen, F.; Sinn, B.V.; Győrffy, B.; Schmitt, W.D.; Darb-Esfahani, S.; Denkert, C. Cutoff Finder: A Comprehensive and Straightforward Web Application Enabling Rapid Biomarker Cutoff Optimization. PLoS ONE 2012, 7, e51862. [Google Scholar] [CrossRef]
- Wu, J.; Chen, L.; Wang, Y.; Tan, W.; Huang, Z. Prognostic Value of Aspartate Transaminase to Alanine Transaminase (De Ritis) Ratio in Solid Tumors: A Pooled Analysis of 9400 Patients. OncoTargets Ther. 2019, 12, 5201–5213. [Google Scholar] [CrossRef]
- Botros, M.; Sikaris, K.A. The de Ritis Ratio: The Test of Time. Clin. Biochem. Rev. 2013, 34, 117–130. [Google Scholar]
- Vayalil, P.K. Mitochondrial Oncobioenergetics of Prostate Tumorigenesis. Oncol. Lett. 2019, 18, 4367–4376. [Google Scholar] [CrossRef]
- Thornburg, J.M.; Nelson, K.K.; Clem, B.F.; Lane, A.N.; Arumugam, S.; Simmons, A.; Eaton, J.W.; Telang, S.; Chesney, J. Targeting Aspartate Aminotransferase in Breast Cancer. Breast Cancer Res. 2008, 10, R84. [Google Scholar] [CrossRef]
- Costello, L.C.; Franklin, R.B. The Intermediary Metabolism of the Prostate: A Key to Understanding the Pathogenesis and Progression of Prostate Malignancy. Oncology 2000, 59, 269–282. [Google Scholar] [CrossRef] [PubMed]
- Shao, Y.; Ye, G.; Ren, S.; Piao, H.-L.; Zhao, X.; Lu, X.; Wang, F.; Ma, W.; Li, J.; Yin, P.; et al. Metabolomics and Transcriptomics Profiles Reveal the Dysregulation of the Tricarboxylic Acid Cycle and Related Mechanisms in Prostate Cancer. Int. J. Cancer 2018, 143, 396–407. [Google Scholar] [CrossRef] [PubMed]
- Thang, S.P.; Violet, J.; Sandhu, S.; Iravani, A.; Akhurst, T.; Kong, G.; Ravi Kumar, A.; Murphy, D.G.; Williams, S.G.; Hicks, R.J.; et al. Poor Outcomes for Patients with Metastatic Castration-Resistant Prostate Cancer with Low Prostate-Specific Membrane Antigen (PSMA) Expression Deemed Ineligible for 177Lu-Labelled PSMA Radioligand Therapy. Eur. Urol. Oncol. 2019, 2, 670–676. [Google Scholar] [CrossRef] [PubMed]
- Kratochwil, C.; Fendler, W.P.; Eiber, M.; Hofman, M.S.; Emmett, L.; Calais, J.; Osborne, J.R.; Iravani, A.; Koo, P.; Lindenberg, L.; et al. Joint EANM/SNMMI Procedure Guideline for the Use of 177Lu-Labeled PSMA-Targeted Radioligand-Therapy (177Lu-PSMA-RLT). Eur. J. Nucl. Med. Mol. Imaging 2023, 50, 2830–2845. [Google Scholar] [CrossRef] [PubMed]
- Seifert, R.; Telli, T.; Hadaschik, B.; Fendler, W.P.; Kuo, P.H.; Herrmann, K. Is 18F-FDG PET Needed to Assess 177Lu-PSMA Therapy Eligibility? A VISION-like, Single-Center Analysis. J. Nucl. Med. 2023, 64, 731–737. [Google Scholar] [CrossRef]





| Variables | Total | High De Ritis | Low De Ritis | p-Value |
|---|---|---|---|---|
| Patient count | 91 (100%) | 53 (58%) | 38 (42%) | |
| Age (years) | 70 (65–76) | 72 (65–77) | 69 (64–74) | 0.3 |
| Number of RLT cycles | 0.25 | |||
| 1 | 9 (10% | 6 (11%) | 3 (8%) | |
| 2 | 31 (34%) | 22 (42%) | 9 (24%) | |
| 3 | 32 (35%) | 16 (30%) | 16 (42%) | |
| 4 | 17 (19%) | 8 (15%) | 9 (24%) | |
| 5 | 1 (1%) | 1 (2%) | 0 | |
| 6 | 1 (1%) | 0 | 1 (3%) | |
| Average activity per cycle (GBq) | 6.0 (5.7–6.0) | 6.0 (5.5–6.0) | 6.0 (5.8–6.0) | 0.29 |
| Cumulative activity (GBq) | 17.3 (11.9–18.2) | 12.2 (11.1–18.1) | 17.9 (12.1–23.3) | 0.06 |
| Previous treatments | ||||
| Prostatectomy | 51 (56%) | 30 (57%) | 21 (55%) | 1.0 |
| Androgen deprivation | 91 (100%) | 53 (100%) | 38 (100%) | n.a. |
| Radiotherapy (any) | 64 (70%) | 39 (74%) | 25 (66%) | 0.49 |
| Abiraterone | 69 (76%) | 43 (81%) | 26 (68%) | 0.22 |
| Enzalutamide | 60 (66%) | 36 (68%) | 24 (63%) | 0.66 |
| Abiraterone or Enzalutamide | 82 (90%) | 49 (92%) | 33 (87%) | 0.19 |
| Radium-223-dichloride | 19 (21%) | 14 (26%) | 5 (13%) | 0.31 |
| Previous chemotherapy lines | 0.014 | |||
| None | 33 (36%) | 13 (25%) | 20 (53%) | |
| One line | 32 (35%) | 24 (45%) | 8 (21%) | |
| Two lines | 26 (29%) | 16 (30%) | 10 (26%) | |
| Pattern of metastases | ||||
| Lymph nodes | 79 (87%) | 44 (83%) | 35 (92%) | 0.35 |
| Bone | 87 (96%) | 52 (98%) | 35 (92%) | 0.3 |
| Liver | 17 (19%) | 14 (26%) | 3 (8%) | 0.03 |
| Lung | 10 (11%) | 7 (13%) | 3 (8%) | 0.51 |
| Brain | 4 (4%) | 3 (6%) | 1 (3%) | 0.64 |
| Tumor load on PSMA-PET | <0.001 | |||
| Very low | 4 (4%) | 1 (2%) | 3 (8%) | |
| Low | 22 (24%) | 6 (11%) | 16 (42%) | |
| Moderate | 23 (25%) | 13 (25%) | 10 (26%) | |
| High | 25 (28%) | 19 (36%) | 6 (16%) | |
| Very high | 17 (19%) | 14 (26%) | 3 (8%) | |
| Laboratory parameters | ||||
| PSA before the first RLT cycle (µg/L) | 95 (28–250) | 117 (59–364) | 37.6 (12.2–137) | <0.001 |
| Alkaline phosphatase (U/L) 1 | 118 (77–189) | 131 (89–234) | 92 (72–141) | 0.06 |
| eGFR (CKD-EPI) | 88 (74–90) | 89 (76–90) | 87 (71–90) | 0.63 |
| White blood cell count (/nL) | 6.2 (4.9–7.3) | 6.2 (4.7–7.2) | 6.3 (5.3–7.8) | 0.4 |
| Red blood cell count (/pl) | 4.1 (3.6–4.4) | 3.9 (3.5–4.2) | 4.4 (4.0–4.5) | <0.001 |
| Hemoglobin (g/dL) | 12.1 (10.5–13.1) | 11.4 (9.7–12.5) | 12.7 (11.4–13.4) | <0.001 |
| Platelet count (/nL) | 246 (191–287) | 246 (197–305) | 248 (187–270) | 0.58 |
| Neutrophil–lymphocyte ratio 2 | 4.4 (3.1–7.2) | 5.2 (3.8–7.6) | 3.3 (2.6–5.6) | 0.01 |
| Platelet–neutrophil ratio 2 | 56.9 (43.1–80.8) | 58.0 (44.9–84.0) | 55.3 (42.1–77.5) | 0.43 |
| De Ritis ratio | 1.63 (1.16–2.38) | 2.28 (1.75–2.68) | 1.1 (0.95–1.27) | <0.001 |
| Aspartate transaminase (U/L) | 28 (23–41) | 38 (26–50) | 24 (20–29) | <0.001 |
| Alanine transaminase (U/L) | 18 (14–25) | 15 (13–19) | 23 (18–29) | <0.001 |
| Death during follow-up | 72 (79%) | 47 (89%) | 25 (66%) | 0.01 |
| Variables | HR | 95% CI | p-Value |
|---|---|---|---|
| Age (years) | 0.99 | 0.96–1.02 | 0.61 |
| Previous treatments | |||
| Prostatectomy | 0.73 | 0.46–1.16 | 0.18 |
| Androgen deprivation | n.a. 1 | ||
| Radiotherapy (any) | 0.95 | 0.57–1.56 | 0.83 |
| Abiraterone | 1.26 | 0.74–2.16 | 0.4 |
| Enzalutamide | 0.96 | 0.59–1.56 | 0.88 |
| Radium-223-dichloride | 1.27 | 0.74–2.17 | 0.39 |
| Previous chemotherapy lines | 0.006 | ||
| None | reference | ||
| One line | 2.53 | 1.43–4.47 | 0.001 |
| Two lines | 1.77 | 0.93–3.37 | 0.085 |
| Pattern of metastases | |||
| Lymph nodes | 0.62 | 0.33–1.15 | 0.13 |
| Bone | 1.26 | 0.4–4.02 | 0.7 |
| Liver | 1.98 | 1.09–3.59 | 0.024 |
| Lung | 0.89 | 0.41–1.94 | 0.77 |
| Brain | 6.63 | 2.26–19.44 | <0.001 |
| Tumor load on PSMA-PET 2 | 1.37 | 1.13–1.67 | <0.001 |
| Laboratory parameters | |||
| PSA before first RLT cycle (µg/L) | 1.001 | 1.0–1.001 | 0.001 |
| Alkaline phosphatase (U/L) 3 | 1.001 | 1.0–1.001 | 0.076 |
| eGFR (CKD-EPI) | 1.0 | 0.98–1.01 | 0.69 |
| White blood cell count (/nL) | 0.94 | 0.82–1.08 | 0.36 |
| Red blood cell count (/pl) | 0.46 | 0.3–0.71 | <0.001 |
| Hemoglobin (g/dL) | 0.81 | 0.7–0.93 | 0.003 |
| Platelet count (/nL) | 1.0 | 1.0–1.0 | 0.89 |
| Neutrophil–lymphocyte ratio 4 | 1.03 | 1.01–1.05 | 0.011 |
| Platelet–neutrophil ratio 4 | 1.001 | 0.99–1.01 | 0.81 |
| De Ritis ratio | 1.4 | 1.17–1.68 | <0.001 |
| Variables | HR | 95% CI | p-Value |
|---|---|---|---|
| Previous chemotherapy lines | 0.036 | ||
| None | reference | ||
| One line | 2.12 | 1.18–3.83 | 0.012 |
| Two lines | 1.25 | 0.6–2.6 | 0.55 |
| Brain metastases: yes | 9.2 | 3.03–27.9 | <0.001 |
| PSA (µg/L; continuous) | 1.001 | 1.000–1.002 | 0.004 |
| De Ritis ratio (continuous) | 1.27 | 1.03–1.56 | 0.023 |
| Number of Risk Factors | Overall Survival (Months) | |
|---|---|---|
| Median | 95% CI | |
| 0 | 28.1 | 19.4–36.9 |
| 1 | 19.8 | 16.3–23.4 |
| 2 | 12.5 | 5.8–19.1 |
| 3 | 8.2 | 6.5–10.0 |
| 4 | 4.9 | 0.3–9.4 |
Disclaimer/Publisher’s Note: The statements, opinions and data contained in all publications are solely those of the individual author(s) and contributor(s) and not of MDPI and/or the editor(s). MDPI and/or the editor(s) disclaim responsibility for any injury to people or property resulting from any ideas, methods, instructions or products referred to in the content. |
© 2023 by the authors. Licensee MDPI, Basel, Switzerland. This article is an open access article distributed under the terms and conditions of the Creative Commons Attribution (CC BY) license (https://creativecommons.org/licenses/by/4.0/).
Share and Cite
Gaal, S.; Huang, K.; Rogasch, J.M.M.; Jochens, H.V.; De Santis, M.; Erber, B.; Amthauer, H. Prognostic Value of the De Ritis Ratio for Overall Survival in Patients with Metastatic Castration-Resistant Prostate Cancer Undergoing [177Lu]Lu-PSMA-617 Radioligand Therapy. Cancers 2023, 15, 4907. https://doi.org/10.3390/cancers15204907
Gaal S, Huang K, Rogasch JMM, Jochens HV, De Santis M, Erber B, Amthauer H. Prognostic Value of the De Ritis Ratio for Overall Survival in Patients with Metastatic Castration-Resistant Prostate Cancer Undergoing [177Lu]Lu-PSMA-617 Radioligand Therapy. Cancers. 2023; 15(20):4907. https://doi.org/10.3390/cancers15204907
Chicago/Turabian StyleGaal, Sebastian, Kai Huang, Julian M. M. Rogasch, Hans V. Jochens, Maria De Santis, Barbara Erber, and Holger Amthauer. 2023. "Prognostic Value of the De Ritis Ratio for Overall Survival in Patients with Metastatic Castration-Resistant Prostate Cancer Undergoing [177Lu]Lu-PSMA-617 Radioligand Therapy" Cancers 15, no. 20: 4907. https://doi.org/10.3390/cancers15204907
APA StyleGaal, S., Huang, K., Rogasch, J. M. M., Jochens, H. V., De Santis, M., Erber, B., & Amthauer, H. (2023). Prognostic Value of the De Ritis Ratio for Overall Survival in Patients with Metastatic Castration-Resistant Prostate Cancer Undergoing [177Lu]Lu-PSMA-617 Radioligand Therapy. Cancers, 15(20), 4907. https://doi.org/10.3390/cancers15204907

