Oncologic Outcome and Immune Responses of Radiotherapy with Anti-PD-1 Treatment for Brain Metastases Regarding Timing and Benefiting Subgroups
Abstract
:Simple Summary
Abstract
1. Introduction
2. Materials and Methods
2.1. Patients and Treatment
2.2. Outcome Evaluation
2.3. Toxicity Evaluation
2.4. Statistical Analysis
3. Results
3.1. Patient, Lesion, and Treatment Characteristics
3.2. Outcome Evaluation and Treatment Response
3.2.1. Impact on Survival of the Entire RT-ICI Cohort
3.2.2. Timing of RT-ICI Application with Regard to Different Subgroups
3.3. Toxicity Evaluation
4. Discussion
4.1. Impact on Survival, Response Rate, and Oncologic Outcome
4.2. Combination of RT-ICI and Timing
4.3. Subgroup Analyses Regarding Concurrent Application of RT-ICI
4.4. Distinctive Reactions of the Immune System to Concurrent RT-ICI
4.5. Toxicity Analysis
4.6. Limitations
5. Conclusions
Author Contributions
Funding
Institutional Review Board Statement
Informed Consent Statement
Data Availability Statement
Conflicts of Interest
Appendix A
| Patient and Lesion Characteristics | All Patients (n = 93) | Non-Concurrent RT-ICI (n = 30) | Concurrent RT-ICI (n = 63) | p-Value |
|---|---|---|---|---|
| BMI (kg/m2) | 0.469 | |||
| UW (<18.5) | 4 (4.8%) | 0 (0%) | 4 (7.3%) | |
| NW (18.5–24.9) | 27 (32.1%) | 10 (34.5%) | 17 (30.9%) | |
| OW (25.0–29.9) | 28 (33.3%) | 11 (37.9%) | 17 (30.9%) | |
| OB (≥30) | 25 (29.8%) | 8 (27.6%) | 17 (30.9%) | |
| PD-L1 status | 0.640 | |||
| ≥1% (positive) | 20 (51.3%) | 4 (44.4%) | 16 (53.3%) | |
| <1% (negative) | 19 (48.7%) | 5 (55.6%) | 14 (46.7%) | |
| High tumor burden | 55 (62.5%) | 15 (51.7%) | 40 (67.8%) | 0.143 |
| Treatment characteristics | ||||
| Prior RT | 41 (45.6%) | 13 (43.3%) | 28 (46.7%) | 0.765 |
| ICI type | 0.426 | |||
| pembrolizumab | 63 (67.7%) | 22 (73.3%) | 41 (65.1%) | |
| nivolumab | 30 (32.3%) | 8 (26.7%) | 22 (34.9%) | |
| ICI duration (weeks), mean ± STD | 22.2 ± 22.8 | 15.9 ± 19.2 | 27.0 ± 24.3 | 0.067 |
| Prior systemic treatment | 61 (68.5%) | 23 (79.3%) | 38 (63.3%) | 0.128 |
| Characteristics for Univariate Cox Regression Analysis | OS HR (95% CI) | p-Value | PFS HR (95% CI) | p-Value |
|---|---|---|---|---|
| BMI (kg/m2) (reference: OW); overall log rank | 0.127 | <0.001 | ||
| UW vs. OW | 3.354 (0.982–11.460) | 0.054 | 12.471 (3.415–45.542) | <0.001 |
| NW vs. OW | 1.072 (0.561–2.046) | 0.834 | 1.358 (0.753–2.446) | 0.309 |
| OB vs. OW | 1.590 (0.854–2.961) | 0.144 | 1.590 (0.877–2.885) | 0.127 |
| PD-L1 status (reference: positive) | ||||
| negative vs. positive | 0.678 (0.293–1.57) | 0.364 | 1.421 (0.683–2.958) | 0.348 |
| High tumor burden (reference: no) | ||||
| yes vs. no | 1.223 (0.733–2.042) | 0.440 | 0.957 (0.6–1.527) | 0.854 |
| ICI type (reference: pembrolizumab) | ||||
| nivolumab vs. pembrolizumab | 0.994 (0.575–1.719) | 0.982 | 1.282 (0.782–2.1) | 0.325 |
| Prior systemic treatment (reference: no) | ||||
| yes vs. no | 0.983 (0.581–1.663) | 0.950 | 1.194 (0.724–1.968) | 0.488 |
| Patient and Lesion Characteristics | All Patients (n = 92) | Other Cancer Types (n = 27) | Malignant Melanoma (n = 65) | p-Value |
|---|---|---|---|---|
| Gender (female) | 38 (41.3%) | 7 (25.9%) | 31 (47.7%) | 0.054 |
| Age (years), mean ± STD | 62.1 ± 13.2 | 58.5 ± 9.1 | 63.6 ± 14.4 | 0.049 |
| ECOG-PS | 0.049 | |||
| 0 | 28 (31.5%) | 8 (30.8%) | 20 (31.7%) | |
| 1 | 41 (46.1%) | 8 (30.8%) | 33 (52.4%) | |
| >1 | 20 (22.5%) | 10 (38.5%) | 10 (15.9%) | |
| NLR | 0.180 | |||
| <3 (low) | 35 (44.9%) | 6 (31.6%) | 29 (49.2%) | |
| ≥3 (high) | 43 (55.1%) | 13 (68.4%) | 30 (50.8%) | |
| LDH | 0.651 | |||
| ≤ULN (245 U/L) | 38 (55.9%) | 6 (50.0%) | 32 (57.1%) | |
| >ULN (245 U/L) | 30 (44.1%) | 6 (50.0%) | 24 (42.9%) | |
| Extracranial disease | 41 (47.1%) | 14 (53.8%) | 27 (44.3%) | 0.412 |
| Number of BMs | 0.272 | |||
| ≤2 | 55 (61.1%) | 13 (52%) | 42 (64.6%) | |
| >2 | 35 (38.9%) | 12 (48%) | 23 (35.4%) | |
| Total PTV (cm3) | 0.036 | |||
| ≤3 | 37 (43.0%) | 6 (25%) | 31 (50%) | |
| >3 | 49 (57.0%) | 18 (75%) | 31 (50%) | |
| Neurological symptoms | 38 (43.2%) | 14 (56.0%) | 24 (38.1%) | 0.126 |
| Treatment characteristics | ||||
| RT concept | 0.057 | |||
| SRS | 64 (69.6%) | 14 (51.9%) | 50 (76.9%) | |
| WBRT | 21 (22.8%) | 10 (37.0%) | 11 (16.9%) | |
| other | 7 (7.6%) | 3 (11.1%) | 4 (6.2%) | |
| BED (Gy) | 0.004 | |||
| <60 | 31 (34.8%) | 15 (57.7%) | 16 (25.4%) | |
| ≥60 | 58 (65.2%) | 11 (42.3%) | 47 (74.6%) | |
| RT courses | 0.808 | |||
| 1 | 32 (35.2%) | 10 (37.0%) | 22 (34.4%) | |
| >1 | 59 (64.8%) | 17 (63.0%) | 42 (65.6%) | |
| RT timing | 0.811 | |||
| concurrently | 62 (67.4%) | 17 (63.0%) | 45 (69.2%) | |
| before ICI | 19 (20.7%) | 6 (22.2%) | 13 (20.0%) | |
| after ICI | 11 (12.0%) | 4 (14.8%) | 7 (10.8%) | |
| Dexamethasone | 0.097 | |||
| no | 10 (11.6%) | 4 (16.0%) | 6 (9.8%) | |
| prophylactical ≤4 mg | 59 (68.6%) | 13 (52.0%) | 46 (75.4%) | |
| therapeutical >4 mg | 17 (19.8%) | 8 (32.0%) | 9 (14.8%) | |
| ICI duration (weeks), mean ± STD | 22.2 ± 22.8 | 19.7 ± 23.3 | 22.9 ± 22.8 | 0.352 |
| Prior systemic treatment | 61 (68.5%) | 25 (96.2%) | 36 (57.1%) | <0.001 |
| Prior anti-CTLA4 | 22 (24.4%) | 0 (0%) | 22 (34.9%) | <0.001 |
| Characteristics for Selected OS Rates | 6-Month OS Rate | 12-Month OS Rate | 24-Month OS Rate | 36-Month OS Rate | p-Value (Log Rank) |
|---|---|---|---|---|---|
| All patients (n = 93) | 70.8% | 50.7% | 40.0% | 32.1% | |
| ECOG-PS | 0.031 | ||||
| 0 | 88.7% | 69.4% | 61.3% | 52.4% | |
| 1 | 68.3% | 48.8% | 36.6% | 26.6% | |
| >1 | 50.0% | 27.8% | 16.7% | 0% | |
| Cancer type | 0.003 | ||||
| MM | 77.8% | 57.1% | 44.3% | 37.6% | |
| other | 51.8% | 33.0% | 28.3% | 17.7% | |
| NLR | 0.009 | ||||
| <3 (low) | 85.3% | 61.8% | 55.9% | 46.6% | |
| ≥3 (high) | 58.5% | 39.0% | 26.8% | 20.1% | |
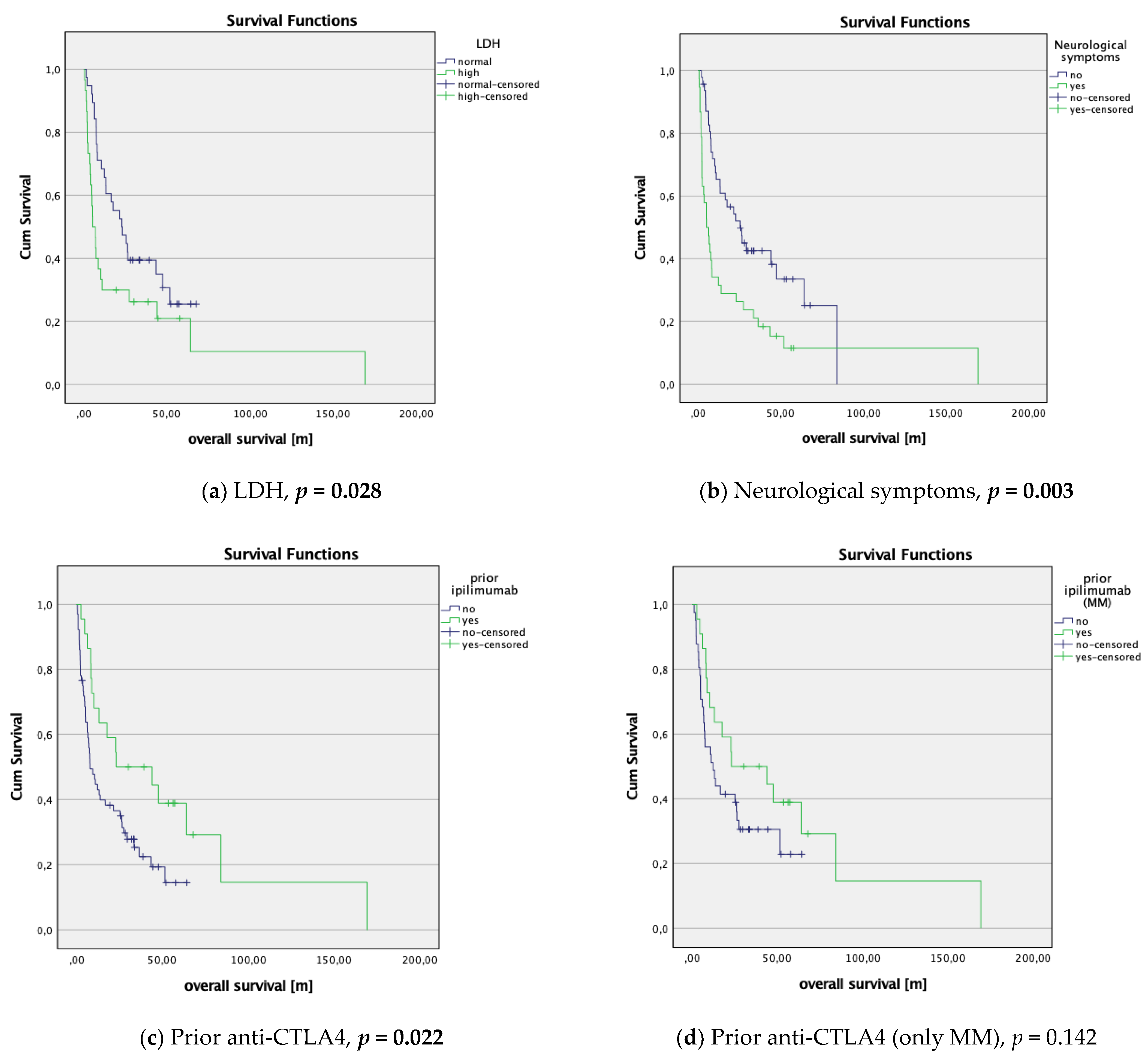
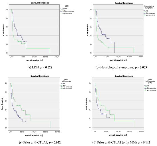
| LDH | 0.028 | ||||
| ≤ULN (245 U/L) | 89.5% | 68.4% | 47.4% | 39.5% | |
| >ULN (245 U/L) | 50.0% | 30.0% | 30.0% | 26.3% | |
| PTV | 0.002 | ||||
| ≤3 cm3 | 89.2% | 62.2% | 53.8% | 44.8% | |
| >3 cm3 | 53.9% | 38.1% | 26.9% | 22.4% | |
| Neurological symptoms | 0.003 | ||||
| yes | 50.0% | 34.2% | 26.3% | 21.1% | |
| no | 87.0% | 65.3% | 52.1% | 42.5% | |
| RT concept | 0.016 | ||||
| SRS | 80.2% | 55.1% | 43.3% | 34.2% | |
| WBRT | 36.8% | 26.3% | 21.1% | 21.1% | |
| BED | 0.011 | ||||
| <60 | 41.4% | 31.0% | 24.1% | 24.1% | |
| ≥60 | 85.8% | 60.8% | 48.2% | 35.7% | |
| RT-ICI application | 0.173 | ||||
| concurrently | 77.4% | 58.1% | 44.0% | 34.2% | |
| non-concurrently | 57.1% | 35.7% | 32.1% | 28.1% | |
| RT timing | <0.001 | ||||
| concurrently | 77.4% | 58.1% | 44.0% | 34.2% | |
| before ICI | 76.5% | 47.1% | 47.1% | 41.2% | |
| after ICI | 27.3% | 18.2% | 9.1% | 9.1% | |
| Dexamethasone application | 0.075 | ||||
| >4 mg | 41.2% | 29.4% | 29.4% | 23.5% | |
| ≤4 mg | 77.1% | 55.5% | 43.1% | 34.8% | |
| Prior anti-CTLA4 treatment | 0.022 | ||||
| yes | 90.9% | 68.2% | 50.0% | 50.0% | |
| no | 63.8% | 44.7% | 36.6% | 25.3% | |
| Abscopal effects | 0.752 | ||||
| yes | 100% | 80.0% | 40.0% | 40.0% | |
| no | 64.0% | 46.0% | 34.0% | 26.0% | |
| Pseudoprogression | 0.332 | ||||
| yes | 100% | 76.9% | 53.8% | 46.2% | |
| no | 78.0% | 53.8% | 42.6% | 32.0% | |
| Immune-related adverse events | 0.147 | ||||
| yes | 79.1% | 62.8% | 46.2% | 35.6% | |
| no | 62.5% | 37.5% | 31.3% | 28.1% |
| Adverse Events (AEs) | All Patients (n = 93) | Non-Concurrent RT-ICI (n = 30) | Concurrent RT-ICI (n = 63) | p-Value |
|---|---|---|---|---|
| All AEs | 60 (74.1%) | 19 (70.4%) | 41 (75.9%) | 0.591 |
| CTCAE Grade 1 | 10 (16.7%) | 3 (15.8%) | 7 (17.1%) | 0.746 |
| CTCAE Grade 2 | 33 (55%) | 9 (47.4%) | 24 (58.5%) | |
| CTCAE Grade 3 | 12 (20%) | 5 (26.3%) | 7 (17.1%) | |
| CTCAE Grade 4 | 1 (1.7%) | 0 (0%) | 1 (2.4%) | |
| Immune-related AEs | 44 (56.4%) | 12 (46.2%) | 32 (61.5%) | 0.196 |
| CTCAE Grade 1 | 11 (25%) | 3 (25%) | 8 (25%) | 0.071 |
| CTCAE Grade 2 | 24 (54.5%) | 4 (33.3%) | 20 (62.5%) | |
| CTCAE Grade 3 | 6 (13.6) | 3 (25%) | 3 (9.4%) | |
| CTCAE Grade 4 | 1 (2.3%) | 0 (0%) | 1 (3.1%) | |
| Acute CNS toxicity | 27 (35.1%) | 6 (22.2%) | 21 (42%) | 0.083 |
| CTCAE Grade 1 | 4 (14.8%) | 1 (16.7%) | 3 (14.3%) | 0.884 |
| CTCAE Grade 2 | 17 (63%) | 3 (50%) | 14 (66.7%) | |
| CTCAE Grade 3 | 3 (11.1%) | 1 (16.7%) | 2 (9.5%) | |
| Fatigue | 25 (32.1%) | 8 (29.6%) | 17 (33.3%) | 0.739 |
| CTCAE Grade 1 | 10 (40%) | 1 (12.5%) | 9 (52.9%) | 0.104 |
| CTCAE Grade 2 | 9 (36%) | 3 (37.5%) | 6 (3.3%) | |
| CTCAE Grade 3 | 5 (20%) | 3 (37.5%) | 2 (11.8%) | |
| Other AEs | 10 (13%) | 4 (14.8%) | 6 (12%) | 0.726 |
| CTCAE Grade 1 | 4 (40%) | 1 (25%) | 3 (50%) | 0.251 |
| CTCAE Grade 2 | 2 (20%) | 0 (0%) | 2 (33.3%) | |
| CTCAE Grade 3 | 3 (30%) | 2 (50%) | 1 (16.7%) | |
| Radionecrosis | 8 (9%) | 1 (3.4%) | 7 (11.7%) | 0.204 |




References
- Soffietti, R.; Abacioglu, U.; Baumert, B.; Neuro, S.C. Diagnosis and treatment of brain metastases from solid tumors: Guidelines from the European Association of Neuro-Oncology (EANO). Neuro-Oncology 2017, 19, 162–174. [Google Scholar] [CrossRef] [Green Version]
- Davies, M.A.; Liu, P.; McIntyre, S.; Kim, K.B.; Papadopoulos, N.; Hwu, W.-J.; Hwu, P.; Bedikian, A. Prognostic factors for survival in melanoma patients with brain metastases. Cancer 2011, 117, 1687–1696. [Google Scholar] [CrossRef] [PubMed]
- Rusthoven, C.G.; Camidge, D.R.; Robin, T.P.; Brown, P.D. Radiosurgery for Small-Cell Brain Metastases: Challenging the Last Bastion of Preferential Whole-Brain Radiotherapy Delivery. J. Clin. Oncol. 2020, 38, 3587–3591. [Google Scholar] [CrossRef] [PubMed]
- Deshpande, R.P.; Sharma, S.; Watabe, K. The Confounders of Cancer Immunotherapy: Roles of Lifestyle, Metabolic Disorders and Sociological Factors. Cancers 2020, 12, 2983. [Google Scholar] [CrossRef]
- Hodi, F.S.; O’Day, S.J.; McDermott, D.F.; Weber, R.W.; Sosman, J.A.; Haanen, J.B.; Gonzalez, R.; Robert, C.; Schadendorf, D.; Hassel, J.C.; et al. Improved survival with ipilimumab in patients with metastatic melanoma. N. Engl. J. Med. 2010, 363, 711–723. [Google Scholar] [CrossRef] [PubMed]
- Yang, Y. Cancer immunotherapy: Harnessing the immune system to battle cancer. J. Clin. Investig. 2015, 125, 3335–3337. [Google Scholar] [CrossRef] [Green Version]
- Long, G.V.; Atkinson, V.; Lo, S.; Sandhu, S.; Guminski, A.D.; Brown, M.P.; Wilmott, J.S.; Edwards, J.; Gonzalez, M.; Scolyer, R.A.; et al. Combination nivolumab and ipilimumab or nivolumab alone in melanoma brain metastases: A multicentre randomised phase 2 study. Lancet Oncol. 2018, 19, 672–681. [Google Scholar] [CrossRef]
- Tawbi, H.A.; Forsyth, P.A.; Hodi, F.S.; Lao, C.D.; Moschos, S.J.; Hamid, O.; Atkins, M.B.; Lewis, K.; Thomas, R.P.; Glaspy, J.A.; et al. Safety and efficacy of the combination of nivolumab plus ipilimumab in patients with melanoma and asymptomatic or symptomatic brain metastases (CheckMate 204). Neuro-Oncology 2021, 23, 1961–1973. [Google Scholar] [CrossRef]
- Tawbi, H.A.; Forsyth, P.A.; Hodi, F.S.; Algazi, A.P.; Hamid, O.; Lao, C.D.; Moschos, S.J.; Atkins, M.B.; Lewis, K.; Postow, M.A.; et al. Long-term outcomes of patients with active melanoma brain metastases treated with combination nivolumab plus ipilimumab (CheckMate 204): Final results of an open-label, multicentre, phase 2 study. Lancet Oncol. 2021, 22, 1692–1704. [Google Scholar] [CrossRef]
- Su, Z.; Zhou, L.; Xue, J.; Lu, Y. Integration of stereotactic radiosurgery or whole brain radiation therapy with immunotherapy for treatment of brain metastases. Chin. J. Cancer Res. 2020, 32, 448–466. [Google Scholar] [CrossRef]
- Rückert, M.; Deloch, L.; Fietkau, R.; Frey, B.; Hecht, M.; Gaipl, U.S. Immune modulatory effects of radiotherapy as basis for well-reasoned radioimmunotherapies. Strahlenther. Onkol. 2018, 194, 509–519. [Google Scholar] [CrossRef] [PubMed]
- Frey, B.; Rückert, M.; Deloch, L.; Rühle, P.F.; Derer, A.; Fietkau, R.; Gaipl, U.S. Immunomodulation by ionizing radiation-impact for design of radio-immunotherapies and for treatment of inflammatory diseases. Immunol. Rev. 2017, 280, 231–248. [Google Scholar] [CrossRef] [PubMed]
- Antonia, S.J.; Villegas, A.; Daniel, D.; Vicente, D.; Murakami, S.; Hui, R.; Yokoi, T.; Chiappori, A.; Lee, K.H.; de Wit, M.; et al. PACIFIC Investigators Durvalumab after Chemoradiotherapy in Stage III Non-Small-Cell Lung Cancer. N. Engl. J. Med. 2017, 377, 1919–1929. [Google Scholar] [CrossRef] [PubMed] [Green Version]
- Antonia, S.J.; Villegas, A.; Daniel, D.; Vicente, D.; Murakami, S.; Hui, R.; Kurata, T.; Chiappori, A.; Lee, K.H.; de Wit, M.; et al. PACIFIC Investigators Overall Survival with Durvalumab after Chemoradiotherapy in Stage III NSCLC. N. Engl. J. Med. 2018, 379, 2342–2350. [Google Scholar] [CrossRef] [PubMed]
- Kelly, R.J.; Ajani, J.A.; Kuzdzal, J.; Zander, T.; Van Cutsem, E.; Piessen, G.; Mendez, G.; Feliciano, J.; Motoyama, S.; Lièvre, A.; et al. Adjuvant Nivolumab in Resected Esophageal or Gastroesophageal Junction Cancer. N. Engl. J. Med. 2021, 384, 1191–1203. [Google Scholar] [CrossRef]
- Amaral, T.; Kiecker, F.; Schaefer, S.; Stege, H.; Kaehler, K.; Terheyden, P.; Gesierich, A.; Gutzmer, R.; Haferkamp, S.; Uttikal, J.; et al. Combined immunotherapy with nivolumab and ipilimumab with and without local therapy in patients with melanoma brain metastasis: A DeCOG* study in 380 patients. J. Immunother. Cancer 2020, 8, e000333. [Google Scholar] [CrossRef] [Green Version]
- Van Opijnen, M.P.; Dirven, L.; Coremans, I.E.M.; Taphoorn, M.J.B.; Kapiteijn, E.H.W. The impact of current treatment modalities on the outcomes of patients with melanoma brain metastases: A systematic review. Int. J. Cancer 2020, 146, 1479–1489. [Google Scholar] [CrossRef]
- Andrews, J.R. The Radiobiology of Human Cancer Radiotherapy; University Park Press: Baltimore, MD, USA, 1978. [Google Scholar]
- Mole, R.H. Whole body irradiation; Radiobiology or medicine? Br. J. Radiol. 1953, 26, 234–241. [Google Scholar] [CrossRef]
- Demaria, S.; Ng, B.; Devitt, M.L.; Babb, J.S.; Kawashima, N.; Liebes, L.; Formenti, S.C. Ionizing radiation inhibition of distant untreated tumors (abscopal effect) is immune mediated. Int. J. Radiat. Oncol. Biol. Phys. 2004, 58, 862–870. [Google Scholar] [CrossRef]
- Patel, T.R.; McHugh, B.J.; Bi, W.L.; Minja, F.J.; Knisely, J.P.S.; Chiang, V.L. A Comprehensive Review of MR Imaging Changes following Radiosurgery to 500 Brain Metastases. Am. J. Neuroradiol. 2011, 32, 1885–1892. [Google Scholar] [CrossRef] [Green Version]
- Ruzevick, J.; Kleinberg, L.; Rigamonti, D. Imaging changes following stereotactic radiosurgery for metastatic intracranial tumors: Differentiating pseudoprogression from tumor progression and its effect on clinical practice. Neurosurg. Rev. 2013, 37, 193–201. [Google Scholar] [CrossRef] [PubMed] [Green Version]
- Vajaitu, C.; Draghici, C.C.; Solomon, I.; Lisievici, C.V.; Popa, A.V.; Lupu, M.; Caruntu, C.; Constantin, M.M.; Voiculescu, V.M. The Central Role of Inflammation Associated with Checkpoint Inhibitor Treatments. J. Immunol. Res. 2018, 2018, 4625472. [Google Scholar] [CrossRef] [PubMed] [Green Version]
- Deng, T.; Lyon, C.J.; Bergin, S.; Caligiuri, M.A.; Hsueh, W.A. Obesity, Inflammation, and Cancer. Annu. Rev. Pathol. Mech. Dis. 2016, 11, 421–449. [Google Scholar] [CrossRef] [PubMed] [Green Version]
- Fowler, J.F. Brief summary of radiobiological principles in fractionated radiotherapy. Semin. Radiat. Oncol. 1992, 2, 16–21. [Google Scholar] [CrossRef]
- Hodi, F.S.; Chiarion-Sileni, V.; Gonzalez, R.; Grob, J.J.; Rutkowski, P.; Cowey, C.L.; Lao, C.D.; Schadendorf, D.; Wagstaff, J.; Dummer, R.; et al. Nivolumab plus ipilimumab or nivolumab alone versus ipilimumab alone in advanced melanoma (CheckMate 067): 4-year outcomes of a multicentre, randomised, phase 3 trial. Lancet Oncol. 2018, 19, 1480–1492. [Google Scholar] [CrossRef]
- Nabors, L.B.; Portnow, J.; Ahluwalia, M.; Baehring, J.; Brem, H.; Brem, S.; Butowski, N.; Campian, J.L.; Clark, S.W.; Fabiano, A.J.; et al. Central Nervous System Cancers, Version 3.2020, NCCN Clinical Practice Guidelines in Oncology. J. Natl. Compr. Cancer Netw. 2020, 18, 1537–1570. [Google Scholar] [CrossRef]
- Pflugfelder, A.; Kochs, C.; Blum, A.; Capellaro, M.; Czeschik, C.; Dettenborn, T.; Dill, D.; Dippel, E.; Eigentler, T.; Feyer, P.; et al. Malignant melanoma S3-guideline “diagnosis, therapy and follow-up of melanoma”. J. Dtsch. Dermatol. Ges. 2013, 11 (Suppl. 6), 1–116. [Google Scholar] [CrossRef]
- Tonse, R.; Tom, M.C.; Mehta, M.P.; Ahluwalia, M.S.; Kotecha, R. Integration of Systemic Therapy and Stereotactic Radiosurgery for Brain Metastases. Cancers 2021, 13, 3682. [Google Scholar] [CrossRef]
- Kotecha, R.; Mehta, M.P. The Complexity of Managing Large Brain Metastasis. Int. J. Radiat. Oncol. Biol. Phys. 2019, 104, 483–484. [Google Scholar] [CrossRef]
- Yamamoto, M.; Serizawa, T.; Shuto, T.; Akabane, A.; Higuchi, Y.; Kawagishi, J.; Yamanaka, K.; Sato, Y.; Jokura, H.; Yomo, S.; et al. Stereotactic radiosurgery for patients with multiple brain metastases (JLGK0901): A multi-institutional prospective observational study. Lancet Oncol. 2014, 15, 387–395. [Google Scholar] [CrossRef]
- Hughes, R.T.; Masters, A.H.; McTyre, E.R.; Farris, M.K.; Chung, C.; Page, B.R.; Kleinberg, L.R.; Hepel, J.; Contessa, J.N.; Chiang, V.; et al. Initial SRS for Patients With 5 to 15 Brain Metastases: Results of a Multi-Institutional Experience. Int. J. Radiat. Oncol. Biol. Phys. 2019, 104, 1091–1098. [Google Scholar] [CrossRef] [PubMed]
- Bernstein, M.B.; Krishnan, S.; Hodge, J.W.; Chang, J.Y. Immunotherapy and stereotactic ablative radiotherapy (ISABR): A curative approach? Nat. Rev. Clin. Oncol. 2016, 13, 516–524. [Google Scholar] [CrossRef] [PubMed]
- Theelen, W.S.M.E.; Peulen, H.M.U.; Lalezari, F.; van der Noort, V.; de Vries, J.F.; Aerts, J.G.J.V.; Dumoulin, D.W.; Bahce, I.; Niemeijer, A.-L.N.; de Langen, A.J.; et al. Effect of Pembrolizumab After Stereotactic Body Radiotherapy vs Pembrolizumab Alone on Tumor Response in Patients With Advanced Non–Small Cell Lung Cancer: Results of the PEMBRO-RT Phase 2 Randomized Clinical Trial. JAMA Oncol. 2019, 5, 1276–1282. [Google Scholar] [CrossRef]
- Luke, J.J.; Lemons, J.M.; Karrison, T.G.; Pitroda, S.P.; Melotek, J.M.; Zha, Y.; Al-Hallaq, H.A.; Arina, A.; Khodarev, N.N.; Janisch, L.; et al. Safety and Clinical Activity of Pembrolizumab and Multisite Stereotactic Body Radiotherapy in Patients With Advanced Solid Tumors. J. Clin. Oncol. 2018, 36, 1611–1618. [Google Scholar] [CrossRef] [PubMed]
- Kaul, D.; Berghoff, A.S.; Grosu, A.L.; Lucas, C.W.; Guckenberger, M. Focal Radiotherapy of Brain Metastases in Combination With Immunotherapy and Targeted Drug Therapy. Dtsch. Arztebl. Int. 2021, 118, 759–766. [Google Scholar] [CrossRef] [PubMed]
- Moyers, J.T.; Chong, E.G.; Peng, J.; Tsai, H.H.C.; Sufficool, D.; Shavlik, D.; Nagaraj, G. Real world outcomes of combination and timing of immunotherapy with radiotherapy for melanoma with brain metastases. Cancer Med. 2021, 10, 1201–1211. [Google Scholar] [CrossRef]
- ElJalby, M.; Pannullo, S.C.; Schwartz, T.H.; Parashar, B.; Wernicke, A.G. Optimal Timing and Sequence of Immunotherapy When Combined with Stereotactic Radiosurgery in the Treatment of Brain Metastases. World Neurosurg. 2019, 127, 397–404. [Google Scholar] [CrossRef] [PubMed]
- Lehrer, E.J.; Peterson, J.; Brown, P.D.; Sheehan, J.P.; Quiñones-Hinojosa, A.; Zaorsky, N.G.; Trifiletti, D.M. Treatment of brain metastases with stereotactic radiosurgery and immune checkpoint inhibitors: An international meta-analysis of individual patient data. Radiother. Oncol. 2019, 130, 104–112. [Google Scholar] [CrossRef]
- Trommer, M.; Kinsky, J.; Adams, A.; Hellmich, M.; Schlaak, M.; von Bergwelt-Baildon, M.; Celik, E.; Rosenbrock, J.; Morgenthaler, J.; Herter, J.M.; et al. Addition of Radiotherapy to Immunotherapy: Effects on Outcome of Different Subgroups Using a Propensity Score Matching. Cancers 2020, 12, 2429. [Google Scholar] [CrossRef]
- Howard, R.; Kanetsky, P.A.; Egan, K.M. Exploring the prognostic value of the neutrophil-to-lymphocyte ratio in cancer. Sci. Rep. 2019, 9, 19673. [Google Scholar] [CrossRef] [Green Version]
- Guthrie, G.J.K.; Charles, K.A.; Roxburgh, C.S.D.; Horgan, P.G.; McMillan, D.C.; Clarke, S.J. The systemic inflammation-based neutrophil-lymphocyte ratio: Experience in patients with cancer. Crit. Rev. Oncol. Hematol. 2013, 88, 218–230. [Google Scholar] [CrossRef]
- Templeton, A.J.; McNamara, M.G.; Šeruga, B.; Vera-Badillo, F.E.; Aneja, P.; Ocaña, A.; Leibowitz-Amit, R.; Sonpavde, G.; Knox, J.J.; Tran, B.; et al. Prognostic role of neutrophil-to-lymphocyte ratio in solid tumors: A systematic review and meta-analysis. J. Natl. Cancer Inst. 2014, 106, dju124. [Google Scholar] [CrossRef] [PubMed] [Green Version]
- Vano, Y.-A.; Oudard, S.; By, M.-A.; Têtu, P.; Thibault, C.; Aboudagga, H.; Scotté, F.; Elaidi, R. Optimal cut-off for neutrophil-to-lymphocyte ratio: Fact or Fantasy? A prospective cohort study in metastatic cancer patients. PLoS ONE 2018, 13, e0195042. [Google Scholar] [CrossRef] [PubMed] [Green Version]
- Setakornnukul, J.; Chanvimalueng, W.; Patumanond, J.; Thephamongkhol, K. Cutoff point of neutrophil-to-lymphocyte ratio for predicting survival in nasopharyngeal carcinoma. Medicine 2021, 100, e27095. [Google Scholar] [CrossRef] [PubMed]
- Sevenich, L. Turning “Cold” Into “Hot” Tumors—Opportunities and Challenges for Radio-Immunotherapy Against Primary and Metastatic Brain Cancers. Front Oncol. 2019, 9, 163. [Google Scholar] [CrossRef] [PubMed]
- Arbour, K.C.; Mezquita, L.; Long, N.; Rizvi, H.; Auclin, E.; Ni, A.; Martínez-Bernal, G.; Ferrara, R.; Lai, W.V.; Hendriks, L.E.L.; et al. Impact of Baseline Steroids on Efficacy of Programmed Cell Death-1 and Programmed Death-Ligand 1 Blockade in Patients With Non-Small-Cell Lung Cancer. J. Clin. Oncol. 2018, 36, 2872–2878. [Google Scholar] [CrossRef]
- Fucà, G.; Galli, G.; Poggi, M.; Lo Russo, G.; Proto, C.; Imbimbo, M.; Ferrara, R.; Zilembo, N.; Ganzinelli, M.; Sica, A.; et al. Modulation of peripheral blood immune cells by early use of steroids and its association with clinical outcomes in patients with metastatic non-small cell lung cancer treated with immune checkpoint inhibitors. ESMO Open 2019, 4, e000457. [Google Scholar] [CrossRef] [PubMed] [Green Version]
- Chandra, R.A.; Wilhite, T.J.; Balboni, T.A.; Alexander, B.M.; Spektor, A.; Ott, P.A.; Ng, A.K.; Hodi, F.S.; Schoenfeld, J.D. A systematic evaluation of abscopal responses following radiotherapy in patients with metastatic melanoma treated with ipilimumab. Oncoimmunology 2015, 4, e1046028. [Google Scholar] [CrossRef] [Green Version]
- Grimaldi, A.M.; Simeone, E.; Giannarelli, D.; Muto, P.; Falivene, S.; Borzillo, V.; Giugliano, F.M.; Sandomenico, F.; Petrillo, A.; Curvietto, M.; et al. Abscopal effects of radiotherapy on advanced melanoma patients who progressed after ipilimumab immunotherapy. Oncoimmunology 2014, 3, e28780. [Google Scholar] [CrossRef]
- Trommer, M.; Yeo, S.Y.; Persigehl, T.; Bunck, A.; Grüll, H.; Schlaak, M.; Theurich, S.; von Bergwelt, M.; Morgenthaler, J.; Herter, J.M.; et al. Abscopal Effects in Radio-Immunotherapy-Response Analysis of Metastatic Cancer Patients With Progressive Disease Under Anti-PD-1 Immune Checkpoint Inhibition. Front. Pharmacol. 2019, 10, 511. [Google Scholar] [CrossRef] [Green Version]
- Trommer-Nestler, M.; Marnitz, S.; Kocher, M.; Rueß, D.; Schlaak, M.; Theurich, S.; von Bergwelt-Baildon, M.; Morgenthaler, J.; Jablonska, K.; Celik, E.; et al. Robotic Stereotactic Radiosurgery in Melanoma Patients with Brain Metastases under Simultaneous Anti-PD-1 Treatment. Int. J. Mol. Sci. 2018, 19, 2653. [Google Scholar] [CrossRef] [PubMed] [Green Version]
- Nordmann, N.; Hubbard, M.; Nordmann, T.; Sperduto, P.W.; Clark, H.B.; Hunt, M.A. Effect of Gamma Knife Radiosurgery and Programmed Cell Death 1 Receptor Antagonists on Metastatic Melanoma. Cureus 2017, 9, e1943. [Google Scholar] [CrossRef] [Green Version]
- Cohen, J.V.; Alomari, A.K.; Vortmeyer, A.O.; Jilaveanu, L.B.; Goldberg, S.B.; Mahajan, A.; Chiang, V.L.; Kluger, H.M. Melanoma Brain Metastasis Pseudoprogression after Pembrolizumab Treatment. Cancer Immunol. Res. 2016, 4, 179–182. [Google Scholar] [CrossRef] [PubMed] [Green Version]
- Hodi, F.S.; Hwu, W.-J.; Kefford, R.; Weber, J.S.; Daud, A.; Hamid, O.; Patnaik, A.; Ribas, A.; Robert, C.; Gangadhar, T.C.; et al. Evaluation of Immune-Related Response Criteria and RECIST v1.1 in Patients With Advanced Melanoma Treated With Pembrolizumab. J. Clin. Oncol. 2016, 34, 1510–1517. [Google Scholar] [CrossRef] [PubMed]
- Theelen, W.S.M.E.; Chen, D.; Verma, V.; Hobbs, B.P.; Peulen, H.M.U.; Aerts, J.G.J.V.; Bahce, I.; Niemeijer, A.-L.N.; Chang, J.Y.; de Groot, P.M.; et al. Pembrolizumab with or without radiotherapy for metastatic non-small-cell lung cancer: A pooled analysis of two randomised trials. Lancet Respir. Med. 2021, 9, 467–475. [Google Scholar] [CrossRef]
- Won, S.E.; Park, H.J.; Byun, S.; Pyo, J.; Kim, J.H.; Choi, C.-M.; Lee, J.C.; Lee, D.H.; Kim, S.-W.; Yoon, S.; et al. Impact of pseudoprogression and treatment beyond progression on outcome in patients with non-small cell lung cancer treated with immune checkpoint inhibitors. Oncoimmunology 2020, 9, 1776058. [Google Scholar] [CrossRef]
- Fujimoto, D.; Yoshioka, H.; Kataoka, Y.; Morimoto, T.; Hata, T.; Kim, Y.H.; Tomii, K.; Ishida, T.; Hirabayashi, M.; Hara, S.; et al. Pseudoprogression in Previously Treated Patients with Non-Small Cell Lung Cancer Who Received Nivolumab Monotherapy. J. Thorac. Oncol. 2019, 14, 468–474. [Google Scholar] [CrossRef] [PubMed] [Green Version]
- Barnes, T.A.; Amir, E. HYPE or HOPE: The prognostic value of infiltrating immune cells in cancer. Br. J. Cancer 2017, 117, 451–460. [Google Scholar] [CrossRef] [Green Version]
- Serna-Higuita, L.M.; Amaral, T.; Forschner, A.; Leiter, U.; Flatz, L.; Seeber, O.; Thomas, I.; Garbe, C.; Eigentler, T.K.; Martus, P. Association between Immune-Related Adverse Events and Survival in 319 Stage IV Melanoma Patients Treated with PD-1-Based Immunotherapy: An Approach Based on Clinical Chemistry. Cancers 2021, 13, 6141. [Google Scholar] [CrossRef]
- Sha, C.M.; Lehrer, E.J.; Hwang, C.; Trifiletti, D.M.; Mackley, H.B.; Drabick, J.J.; Zaorsky, N.G. Toxicity in combination immune checkpoint inhibitor and radiation therapy: A systematic review and meta-analysis. Radiother. Oncol. 2020, 151, 141–148. [Google Scholar] [CrossRef]
- Kim, J.M.; Miller, J.A.; Kotecha, R.; Xiao, R.; Juloori, A.; Ward, M.C.; Ahluwalia, M.S.; Mohammadi, A.M.; Peereboom, D.M.; Murphy, E.S.; et al. The risk of radiation necrosis following stereotactic radiosurgery with concurrent systemic therapies. J. Neurooncol. 2017, 133, 357–368. [Google Scholar] [CrossRef] [PubMed]
- Voronova, V.; Lebedeva, S.; Sekacheva, M.; Helmlinger, G.; Peskov, K. Quantification of Scheduling Impact on Safety and Efficacy Outcomes of Brain Metastasis Radio- and Immuno-Therapies: A Systematic Review and Meta-Analysis. Front. Oncol. 2020, 10, 1609. [Google Scholar] [CrossRef] [PubMed]
- Martin, A.M.; Cagney, D.N.; Catalano, P.J.; Alexander, B.M.; Redig, A.J.; Schoenfeld, J.D.; Aizer, A.A. Immunotherapy and Symptomatic Radiation Necrosis in Patients With Brain Metastases Treated With Stereotactic Radiation. JAMA Oncol. 2018, 4, 1123–1124. [Google Scholar] [CrossRef] [PubMed]
- Gatterbauer, B.; Hirschmann, D.; Eberherr, N.; Untersteiner, H.; Cho, A.; Shaltout, A.; Göbl, P.; Fitschek, F.; Dorfer, C.; Wolfsberger, S.; et al. Toxicity and efficacy of Gamma Knife radiosurgery for brain metastases in melanoma patients treated with immunotherapy or targeted therapy-A retrospective cohort study. Cancer Med. 2020, 9, 4026–4036. [Google Scholar] [CrossRef] [PubMed] [Green Version]









| Patient and Lesion Characteristics | All Patients (n = 93) |
|---|---|
| Gender (female) | |
| female | 38 (40.9%) |
| male | 55 (59.1%) |
| Age (years), mean ± STD | 62.1 ± 13.2 |
| ECOG-PS | |
| 0 | 28 (31.5%) |
| 1 | 41 (46.1%) |
| >1 | 20 (22.5%) |
| Cancer type | |
| MM | 65 (70.7%) |
| NSCLC | 21 (22.8%) |
| other | 6 (6.5%) |
| NLR | |
| <3 (low) | 35 (44.9%) |
| ≥3 (high) | 43 (55.1%) |
| LDH | |
| ≤ULN (245 U/L) | 38 (55.9%) |
| >ULN (245 U/L) | 30 (44.1%) |
| Extracranial disease | 41 (47.1%) |
| Number of BMs, mean ± STD | 3.4 ± 3.4 |
| Total PTV (cm3), mean ± STD | 277.5 ± 452.9 |
| Neurological symptoms | 38 (43.2%) |
| Treatment characteristics | |
| RT concept | |
| SRS | 65 (69.9%) |
| WBRT | 21 (22.6%) |
| other | 7 (7.5%) |
| BED (Gy), mean ± STD | 55.7 ± 10.1 |
| RT courses | |
| 1 | 32 (35.2%) |
| >1 | 59 (64.8%) |
| RT timing | |
| concurrently | 63 (67.7%) |
| before ICI | 19 (20.4%) |
| after ICI | 11 (11.8%) |
| Dexamethasone | |
| no | 10 (11.6%) |
| prophylactic dose ≤4 mg | 59 (68.6%) |
| therapeutic dose >4 mg | 17 (19.8%) |
| ICI duration (weeks), mean ± STD | 22.2 ± 22.8 |
| Prior systemic treatment | 61 (68.5%) |
| Prior anti-CTLA4 treatment | 22 (24.2%) |
| Patient and Lesion Characteristics | Non-Concurrent RT-ICI (n = 30) | Concurrent RT-ICI (n = 63) | p-Value |
|---|---|---|---|
| Gender (female) | 12 (40%) | 26 (41.3%) | 0.907 |
| Age (years), mean ± STD | 61 ± 12.7 | 62,7 ± 13.5 | 0.495 |
| ECOG-PS | 0.457 | ||
| 0 | 7 (24.1%) | 21 (35%) | |
| 1 | 16 (55.2%) | 25 (41.7%) | |
| >1 | 6 (20.7%) | 14 (23.3%) | |
| Cancer type | 0.823 | ||
| MM | 20 (66.7%) | 45 (72.6%) | |
| NSCLC | 8 (26.7%) | 13 (21%) | |
| other | 2 (6.7%) | 4 (6.5%) | |
| NLR | 0.421 | ||
| <3 (low) | 10 (38.5%) | 25 (48.1%) | |
| ≥3 (high) | 16 (61.5%) | 27 (51.9%) | |
| LDH | 0.006 | ||
| ≤ULN (245 U/L) | 8 (33.3%) | 30 (68.2%) | |
| >ULN (245 U/L) | 16 (66.7%) | 14 (31.8%) | |
| Extracranial disease | 11 (37.9%) | 30 (51.7%) | 0.224 |
| Number of BMs | 0.145 | ||
| ≤2 | 21 (72.4%) | 35 (56.5%) | |
| >2 | 8 (27.6%) | 27 (43.5%) | |
| Total PTV (cm3), mean ± STD | 192.1 ± 388.5 | 318.7 ± 478.6 | 0.046 |
| Total PTV (cm3) | 0.170 | ||
| ≤3 | 15 (53.6%) | 22 (37.9%) | |
| >3 | 13 (46.4%) | 36 (62.1%) | |
| Neurological symptoms | 10 (35.7%) | 28 (46.7%) | 0.334 |
| Treatment characteristics | |||
| RT concept | 0.306 | ||
| SRS | 24 (80%) | 41 (65.1%) | |
| WBRT | 5 (16.7%) | 16 (25.4%) | |
| other | 1 (3.3%) | 6 (9.5%) | |
| BED (Gy), mean ± STD | 58 ± 11.1 | 54.6 ± 9.5 | 0.143 |
| BED (Gy) | 0.319 | ||
| <60 | 8 (27.6%) | 23 (38.3%) | |
| ≥60 | 21 (72.4%) | 37 (61.7%) | |
| RT courses | 0.107 | ||
| 1 | 14 (46.7%) | 18 (29.5%) | |
| >1 | 16 (53.3%) | 43 (70.5%) | |
| RT timing | <0.001 | ||
| concurrently | 0 (0%) | 63 (100%) | |
| before ICI | 19 (63.3%) | 0 (0%) | |
| after ICI | 11 (36.7%) | 0 (0%) | |
| Dexamethasone | 0.055 | ||
| no | 1 (3.6%) | 9 (15.5%) | |
| prophylactic dose ≤4 mg | 24 (85.7%) | 35 (60.3%) | |
| therapeutic dose >4 mg | 3 (10.7%) | 14 (24.1%) | |
| ICI duration (weeks), mean ± STD | 15.9 ± 19.2 | 27.0 ± 24.3 | 0.067 |
| Prior systemic treatment | 23 (79.3%) | 38 (63.3%) | 0.128 |
| Prior anti-CTLA4 treatment | 11 (36.7%) | 11 (18%) | 0.051 |
| Follow-Up/Outcome | All Patients (n = 93) |
|---|---|
| Follow-up (months), mean ± STD | 23.8 ± 24.3 |
| OS (months), median (95% CI) | 12.19 (4.36–20.02) |
| OS status | |
| alive | 23 (25.8%) |
| dead | 66 (74.2%) |
| PFS (months), median (95% CI) | 4.70 (2.53–6.86) |
| LC | |
| 3 months | 52 (69.3%) |
| 6 months | 50 (89.3%) |
| Overall response rate | |
| CR | 7 (7.6%) |
| PR | 15 (16.3%) |
| SD | 15 (16.3%) |
| PD | 55 (59.8%) |
| Clinical benefit (CR + PR + SD) | 37 (40.2%) |
| Progression rate | |
| cerebral progression | 13 (14.3%) |
| systemic progression | 13 (14.3%) |
| overall progression | 39 (42.9%) |
| no progression | 26 (28.6%) |
| cerebral response rate | 39 (42.9%) |
| abscopal effects | 5 (9.1%) |
| pseudoprogression | 13 (17.8%) |
| Characteristics for Univariate Cox Regression Analysis | OS HR (95% CI) | p-Value | PFS HR (95% CI) | p-Value |
|---|---|---|---|---|
| Gender (reference: male) | ||||
| female vs. male | 1.256 (0.765–2.062) | 0.368 | 1.267 (0.798–2.011) | 0.316 |
| Age (years) (reference: ≤65) | ||||
| >65 vs. ≤65 years | 1.149 (0.701–1.883) | 0.581 | 0.83 (0.523–1.317) | 0.429 |
| ECOG-PS (reference: ECOG 0); overall log rank | 0.031 | 0.255 | ||
| 1 vs. 0 | 1.823 (0.991–3.354) | 0.053 | 1.523 (0.896–2.590) | 0.120 |
| ≥2 vs. 0 | 2.532 (1.228–5.222) | 0.012 | 1.515 (0.784–2.929) | 0.217 |
| Cancer type (reference: other) | ||||
| MM vs. other | 0.457 (0.267–0.782) | 0.004 | 0.628 (0.382–1.033) | 0.067 |
| NLR (reference: low (<3)) | ||||
| ≥3 (high) vs. <3 (low) | 2.037 (1.184–3.506) | 0.010 | 1.318 (0.81–2.143) | 0.266 |
| LDH (reference: normal, ≤ULN) | ||||
| >ULN (245 U/L) vs. ≤ULN (245 U/L) | 1.853 (1.059–3.241) | 0.031 | 1.066 (0.630–1.803) | 0.812 |
| Extracranial disease (reference: no) | ||||
| yes vs. no | 1.132 (0.684–1.875) | 0.629 | 0.767 (0.484–1.214) | 0.257 |
| Number of BM (reference: ≤2 BM) | ||||
| >2 vs. ≤2 | 1.154 (0.691–1.926) | 0.585 | 1.616 (1.004–2.599) | 0.048 |
| PTV (cm3) (reference: ≤3) | ||||
| >3 vs. ≤3 | 2.213 (1.305–3.754) | 0.003 | 1.819 (1.124–2.943) | 0.015 |
| Neurological symptoms (reference: no) | ||||
| yes vs. no | 2.114 (1.285–3.478) | 0.003 | 1.424 (0.897–2.262) | 0.134 |
| RT concept (reference: SRS) | ||||
| WBRT vs. SRS | 1.985 (1.112–3.543) | 0.019 | 1.828 (1.053–3.174) | 0.032 |
| BED (Gy) (reference: <60) | ||||
| ≥60 vs. <60 | 0.519 (0.309–0.871) | 0.013 | 0.599 (0.370–0.969) | 0.037 |
| RT courses (reference: 1) | ||||
| >1 vs. 1 | 0.725 (0.433–1.213) | 0.221 | 0.620 (0.386–0.995) | 0.048 |
| RT timing, 12 months (reference: non-concurrent) | ||||
| concurrent vs. non-concurrent | 0.527 (2.86–0.973) | 0.041 | 0.883 (0.526–1.485) | 0.640 |
| RT timing (reference: concurrent); overall log rank | <0.001 | 0.067 | ||
| RT after ICI vs. concurrent | 3.971 (1.839–7.814) | <0.001 | 2.104 (1.079–4.099) | 0.029 |
| RT before ICI vs. concurrent | 0.955 (0.504–1.809) | 0.887 | 0.964 (0.546–1.703) | 0.900 |
| Dexamethasone application >4 mg (reference: no) | ||||
| yes vs. no | 1.698 (0.941–3.063) | 0.079 | 1.477 (0.833–2.617) | 0.182 |
| Prior systemic treatment (reference: no) | ||||
| yes vs. no | 0.983 (0.581–1.663) | 0.950 | 1.194 (0.724–1.968) | 0.488 |
| Prior anti-CTLA4 treatment (reference: no) | ||||
| yes vs. no | 0.498 (0.271–0.914) | 0.024 | 0.586 (0.338–1.014) | 0.056 |
| Abscopal effects (reference: no) | ||||
| yes vs. no | 0.847 (0.301–2.379) | 0.752 | 2.036 (0.786–5.271) | 0.143 |
| Pseudoprogression (reference: no) | ||||
| yes vs. no | 0.687 (0.32–1.474) | 0.335 | 0.646 (0.316–1.319) | 0.230 |
| Immune-related adverse events (reference: no) | ||||
| yes vs. no | 0.677 (0.399–1.15) | 0.149 | 0.637 (0.388–1.046) | 0.075 |
| Radionecrosis (reference: no) | ||||
| yes vs. no | 1.152 (0.523–2.54) | 0.725 | 0.795 (0.364–1.734) | 0.564 |
| Characteristics for Multivariate Cox Regression Analysis | OS HR (95% CI) | p-Value |
|---|---|---|
| ECOG-PS (reference: ECOG 0) | ||
| 1 vs. 0 | 1.694 (0.873–3.289) | 0.119 |
| ≥2 vs. 0 | 2.756 (1.253–6.061) | 0.012 |
| Cancer type (reference: other) | ||
| MM vs. other | 0.516 (0.288–0.926) | 0.026 |
| RT timing (reference: non-concurrent) | ||
| concurrent vs. non-concurrent | 0.539 (0.299–0.971) | 0.040 |
| RT concept (reference: SRS) | ||
| WBRT vs. SRS | 0.763 (0.280–2.077) | 0.596 |
| other vs. SRS | 0.117 (0.014–1.006) | 0.051 |
| BED (Gy) (reference: <60) | ||
| ≥60 vs. <60 | 0.494 (0.195–1.252) | 0.137 |
| PTV (cm3) (reference: ≤3) | ||
| >3 vs. ≤3 | 1.947 (1.007–3.763) | 0.048 |
| Follow-Up/Outcome | Non-Concurrent RT-ICI (n = 30) | Concurrent RT-ICI (n = 63) | p-Value |
|---|---|---|---|
| Follow-up (months), mean ± STD | 25.7 ± 34.5 | 22.9 ± 17.6 | 0.591 |
| OS (months), median (95% CI) | 6.83 (2.15–11.52) | 17.61 (6.02–29.20) | 0.173 |
| RT before ICI | 10.15 (0.00–33.48) | - | |
| RT after ICI | 2.20 (0.00–5.25) | - | |
| OS status | 0.071 | ||
| alive | 4 (13.8%) | 19 (31.7%) | |
| dead | 25 (86.2%) | 41 (68.3%) | |
| PFS (months), median (95% CI) | 4.70 (1.18–7.01) | 5.49 (1.80–9.18) | 0.383 |
| RT before ICI | 5.29 (3.79–6.79) | - | |
| RT after ICI | 2.14 (1.43–2.84) | - | |
| LC | |||
| 3 months | 18 (81.8%) | 34 (64.2%) | 0.131 |
| 6 months | 9 (69.2%) | 41 (95.3%) | 0.008 |
| Lesion response at 3 months | 0.552 | ||
| smaller/stable | 17 (65.4%) | 30 (51.7%) | |
| larger/new bm | 3 (11.5%) | 11 (19%) | |
| mixed response | 1 (3.8%) | 8 (13.8%) | |
| Lesion response at 6 months | 0.107 | ||
| smaller/stable | 8 (61.5%) | 37 (75.5%) | |
| larger/new bm | 2 (15.4%) | 0 (0%) | |
| mixed response | 1 (7.7%) | 2 (4.1%) | |
| Overall response rate | 0.151 | ||
| CR | 1 (3.3%) | 6 (9.7%) | |
| PR | 7 (23.3%) | 8 (12.9%) | |
| SD | 2 (6.7%) | 13 (21%) | |
| PD | 20 (66.7%) | 35 (56.5%) | |
| Clinical benefit (CR + PR + SD) | 10 (33.3%) | 27 (43.5%) | |
| Progression rate | 0.015 | ||
| cerebral progression | 3 (10%) | 10 (16.4%) | |
| systemic progression | 7 (23.3%) | 6 (9.8%) | |
| overall progression | 17 (56.7%) | 22 (36.1%) | |
| no progression | 3 (10%) | 23 (37.7%) | |
| cerebral response rate | 10 (33.3%) | 29 (47.5%) | 0.198 |
| abscopal effects | 0 (0%) | 5 (16.1%) | 0.039 |
| pseudoprogression | 1 (5%) | 12 (22.6%) | 0.079 |
Publisher’s Note: MDPI stays neutral with regard to jurisdictional claims in published maps and institutional affiliations. |
© 2022 by the authors. Licensee MDPI, Basel, Switzerland. This article is an open access article distributed under the terms and conditions of the Creative Commons Attribution (CC BY) license (https://creativecommons.org/licenses/by/4.0/).
Share and Cite
Trommer, M.; Adams, A.; Celik, E.; Fan, J.; Funken, D.; Herter, J.M.; Linde, P.; Morgenthaler, J.; Wegen, S.; Mauch, C.; et al. Oncologic Outcome and Immune Responses of Radiotherapy with Anti-PD-1 Treatment for Brain Metastases Regarding Timing and Benefiting Subgroups. Cancers 2022, 14, 1240. https://doi.org/10.3390/cancers14051240
Trommer M, Adams A, Celik E, Fan J, Funken D, Herter JM, Linde P, Morgenthaler J, Wegen S, Mauch C, et al. Oncologic Outcome and Immune Responses of Radiotherapy with Anti-PD-1 Treatment for Brain Metastases Regarding Timing and Benefiting Subgroups. Cancers. 2022; 14(5):1240. https://doi.org/10.3390/cancers14051240
Chicago/Turabian StyleTrommer, Maike, Anne Adams, Eren Celik, Jiaqi Fan, Dominik Funken, Jan M. Herter, Philipp Linde, Janis Morgenthaler, Simone Wegen, Cornelia Mauch, and et al. 2022. "Oncologic Outcome and Immune Responses of Radiotherapy with Anti-PD-1 Treatment for Brain Metastases Regarding Timing and Benefiting Subgroups" Cancers 14, no. 5: 1240. https://doi.org/10.3390/cancers14051240
APA StyleTrommer, M., Adams, A., Celik, E., Fan, J., Funken, D., Herter, J. M., Linde, P., Morgenthaler, J., Wegen, S., Mauch, C., Franklin, C., Galldiks, N., Werner, J.-M., Kocher, M., Rueß, D., Ruge, M., Meißner, A.-K., Baues, C., & Marnitz, S. (2022). Oncologic Outcome and Immune Responses of Radiotherapy with Anti-PD-1 Treatment for Brain Metastases Regarding Timing and Benefiting Subgroups. Cancers, 14(5), 1240. https://doi.org/10.3390/cancers14051240

