Direct Oral Anticoagulants Are Associated with Superior Survival Outcomes than Warfarin in Patients with Head and Neck Cancers
Abstract
:Simple Summary
Abstract
1. Introduction
2. Materials and Methods
2.1. Patient Recruitment
2.2. Statistical Analysis
3. Results
3.1. Demographic and Clinical Characteristics of the Study Cohort
3.2. Survival Analyses
3.3. Cox Regression Analyses of Independent Prognostic Factors for Survival
3.4. Protective Effects and Side Effects of DOACs and Warfarin
4. Discussion
5. Conclusions
Supplementary Materials
Author Contributions
Funding
Institutional Review Board Statement
Informed Consent Statement
Data Availability Statement
Acknowledgments
Conflicts of Interest
References
- Heit, J.A.; O’Fallon, W.M.; Petterson, T.M.; Lohse, C.M.; Silverstein, M.D.; Mohr, D.N.; Melton, L.J., 3rd. Relative impact of risk factors for deep vein thrombosis and pulmonary embolism: A population-based study. Arch. Intern. Med. 2002, 162, 1245–1248. [Google Scholar] [CrossRef] [PubMed] [Green Version]
- Blom, J.W.; Doggen, C.J.; Osanto, S.; Rosendaal, F.R. Malignancies, prothrombotic mutations, and the risk of venous thrombosis. JAMA 2005, 293, 715–722. [Google Scholar] [CrossRef] [PubMed]
- Abdol Razak, N.B.; Jones, G.; Bhandari, M.; Berndt, M.C.; Metharom, P. Cancer-Associated Thrombosis: An Overview of Mechanisms, Risk Factors, and Treatment. Cancers 2018, 10, 380. [Google Scholar] [CrossRef] [PubMed] [Green Version]
- Tagalakis, V.; Blostein, M.; Robinson-Cohen, C.; Kahn, S.R. The effect of anticoagulants on cancer risk and survival: Systematic review. Cancer Treat. Rev. 2007, 33, 358–368. [Google Scholar] [CrossRef] [PubMed]
- Smorenburg, S.M.; Van Noorden, C.J. The complex effects of heparins on cancer progression and metastasis in experimental studies. Pharmacol. Rev. 2001, 53, 93–105. [Google Scholar] [PubMed]
- Ay, C.; Pabinger, I.; Cohen, A.T. Cancer-associated venous thromboembolism: Burden, mechanisms, and management. Thromb. Haemost. 2017, 117, 219–230. [Google Scholar] [CrossRef] [PubMed] [Green Version]
- Kuderer, N.M.; Ortel, T.L.; Francis, C.W. Impact of venous thromboembolism and anticoagulation on cancer and cancer survival. J. Clin. Oncol. 2009, 27, 4902–4911. [Google Scholar] [CrossRef] [Green Version]
- January, C.T.; Wann, L.S.; Calkins, H.; Chen, L.Y.; Cigarroa, J.E.; Cleveland, J.C., Jr.; Ellinor, P.T.; Ezekowitz, M.D.; Field, M.E.; Furie, K.L.; et al. 2019 AHA/ACC/HRS focused update of the 2014 AHA/ACC/HRS guideline for the management of patients with atrial fibrillation: A Report of the American College of Cardiology/American Heart Association Task Force on Clinical Practice Guidelines and the Heart Rhythm Society. Heart Rhythm 2019, 16, e66–e93. [Google Scholar] [CrossRef] [Green Version]
- Granger, C.B.; Alexander, J.H.; McMurray, J.J.; Lopes, R.D.; Hylek, E.M.; Hanna, M.; Al-Khalidi, H.R.; Ansell, J.; Atar, D.; Avezum, A.; et al. Apixaban versus warfarin in patients with atrial fibrillation. N. Engl. J. Med. 2011, 365, 981–992. [Google Scholar] [CrossRef] [Green Version]
- Connolly, S.J.; Ezekowitz, M.D.; Yusuf, S.; Eikelboom, J.; Oldgren, J.; Parekh, A.; Pogue, J.; Reilly, P.A.; Themeles, E.; Varrone, J.; et al. Dabigatran versus warfarin in patients with atrial fibrillation. N. Engl. J. Med. 2009, 361, 1139–1151. [Google Scholar] [CrossRef] [Green Version]
- Kahale, L.A.; Hakoum, M.B.; Tsolakian, I.G.; Matar, C.F.; Terrenato, I.; Sperati, F.; Barba, M.; Yosuico, V.E.; Schunemann, H.; Akl, E.A. Anticoagulation for the long-term treatment of venous thromboembolism in people with cancer. Cochrane Database Syst. Rev. 2018, 6, CD006650. [Google Scholar] [CrossRef] [PubMed]
- Mosarla, R.C.; Vaduganathan, M.; Qamar, A.; Moslehi, J.; Piazza, G.; Giugliano, R.P. Anticoagulation Strategies in Patients With Cancer: JACC Review Topic of the Week. J. Am. Coll. Cardiol. 2019, 73, 1336–1349. [Google Scholar] [CrossRef] [PubMed]
- Grandoni, F.; Alberio, L. Direct Oral Anticoagulant Drugs: On the Treatment of Cancer-Related Venous Thromboembolism and their Potential Anti-Neoplastic Effect. Cancers 2019, 11, 46. [Google Scholar] [CrossRef] [PubMed] [Green Version]
- Rose, A.J.; Sharman, J.P.; Ozonoff, A.; Henault, L.E.; Hylek, E.M. Effectiveness of warfarin among patients with cancer. J. Gen. Intern. Med. 2007, 22, 997–1002. [Google Scholar] [CrossRef] [PubMed] [Green Version]
- Wojtukiewicz, M.Z.; Skalij, P.; Tokajuk, P.; Politynska, B.; Wojtukiewicz, A.M.; Tucker, S.C.; Honn, K.V. Direct Oral Anticoagulants in Cancer Patients. Time for a Change in Paradigm. Cancers 2020, 12, 1144. [Google Scholar] [CrossRef] [PubMed]
- Steffel, J.; Verhamme, P.; Potpara, T.S.; Albaladejo, P.; Antz, M.; Desteghe, L.; Haeusler, K.G.; Oldgren, J.; Reinecke, H.; Roldan-Schilling, V.; et al. The 2018 European Heart Rhythm Association Practical Guide on the use of non-vitamin K antagonist oral anticoagulants in patients with atrial fibrillation. Eur. Heart J. 2018, 39, 1330–1393. [Google Scholar] [CrossRef] [PubMed] [Green Version]
- Ortel, T.L.; Neumann, I.; Ageno, W.; Beyth, R.; Clark, N.P.; Cuker, A.; Hutten, B.A.; Jaff, M.R.; Manja, V.; Schulman, S.; et al. American Society of Hematology 2020 guidelines for management of venous thromboembolism: Treatment of deep vein thrombosis and pulmonary embolism. Blood Adv. 2020, 4, 4693–4738. [Google Scholar] [CrossRef]
- Samaranayake, C.B.; Anderson, J.; McCabe, C.; Zahir, S.F.; Upham, J.; Keir, G. Direct oral anticoagulants for cancer associated venous thromboembolisms: A systematic review and network meta-analysis. Intern. Med. J. 2020. [Google Scholar] [CrossRef]
- Carrier, M.; Abou-Nassar, K.; Mallick, R.; Tagalakis, V.; Shivakumar, S.; Schattner, A.; Kuruvilla, P.; Hill, D.; Spadafora, S.; Marquis, K.; et al. Apixaban to Prevent Venous Thromboembolism in Patients with Cancer. N. Engl. J. Med. 2019, 380, 711–719. [Google Scholar] [CrossRef] [PubMed]
- Raskob, G.E.; van Es, N.; Verhamme, P.; Carrier, M.; Di Nisio, M.; Garcia, D.; Grosso, M.A.; Kakkar, A.K.; Kovacs, M.J.; Mercuri, M.F.; et al. Edoxaban for the Treatment of Cancer-Associated Venous Thromboembolism. N. Engl. J. Med. 2018, 378, 615–624. [Google Scholar] [CrossRef]
- Bray, F.; Ferlay, J.; Soerjomataram, I.; Siegel, R.L.; Torre, L.A.; Jemal, A. Global cancer statistics 2018: GLOBOCAN estimates of incidence and mortality worldwide for 36 cancers in 185 countries. CA Cancer J Clin. 2018, 68, 394–424. [Google Scholar] [CrossRef] [PubMed] [Green Version]
- Pulte, D.; Brenner, H. Changes in survival in head and neck cancers in the late 20th and early 21st century: A period analysis. Oncologist 2010, 15, 994–1001. [Google Scholar] [CrossRef] [PubMed] [Green Version]
- Lee, Y.A.; Li, S.; Chen, Y.; Li, Q.; Chen, C.J.; Hsu, W.L.; Lou, P.J.; Zhu, C.; Pan, J.; Shen, H.; et al. Tobacco smoking, alcohol drinking, betel quid chewing, and the risk of head and neck cancer in an East Asian population. Head Neck 2019, 41, 92–102. [Google Scholar] [CrossRef] [PubMed] [Green Version]
- Meccariello, G.; Maniaci, A.; Bianchi, G.; Cammaroto, G.; Iannella, G.; Catalano, A.; Sgarzani, R.; De Vito, A.; Capaccio, P.; Pelucchi, S.; et al. Neck dissection and trans oral robotic surgery for oropharyngeal squamous cell carcinoma. Auris Nasus Larynx 2021. [Google Scholar] [CrossRef]
- Leoncini, E.; Vukovic, V.; Cadoni, G.; Pastorino, R.; Arzani, D.; Bosetti, C.; Canova, C.; Garavello, W.; La Vecchia, C.; Maule, M.; et al. Clinical features and prognostic factors in patients with head and neck cancer: Results from a multicentric study. Cancer Epidemiol. 2015, 39, 367–374. [Google Scholar] [CrossRef]
- Pirlog, A.M.; Pirlog, C.D.; Maghiar, M.A. DOACs vs. Vitamin K Antagonists: A Comparison of Phase III Clinical Trials and a Prescriber Support Tool. Open Access Maced. J. Med. Sci. 2019, 7, 1226–1232. [Google Scholar] [CrossRef] [Green Version]
- Timp, J.F.; Braekkan, S.K.; Versteeg, H.H.; Cannegieter, S.C. Epidemiology of cancer-associated venous thrombosis. Blood 2013, 122, 1712–1723. [Google Scholar] [CrossRef] [Green Version]
- Piccioli, A.; Falanga, A.; Prandoni, P. Anticoagulants and cancer survival. Semin. Thromb. Hemost. 2006, 32, 810–813. [Google Scholar] [CrossRef]
- Hendrie, P.C.; Garcia, D.A. Are new oral anticoagulants ready for use in patients with cancer? J. Natl. Compr. Cancer Netw. 2013, 11, 1446–1449. [Google Scholar] [CrossRef]
- Lee, A.Y.; Peterson, E.A. Treatment of cancer-associated thrombosis. Blood 2013, 122, 2310–2317. [Google Scholar] [CrossRef]
- Shah, S.; Norby, F.L.; Datta, Y.H.; Lutsey, P.L.; MacLehose, R.F.; Chen, L.Y.; Alonso, A. Comparative effectiveness of direct oral anticoagulants and warfarin in patients with cancer and atrial fibrillation. Blood Adv. 2018, 2, 200–209. [Google Scholar] [CrossRef] [PubMed] [Green Version]
- Key, N.S.; Khorana, A.A.; Kuderer, N.M.; Bohlke, K.; Lee, A.Y.Y.; Arcelus, J.I.; Wong, S.L.; Balaban, E.P.; Flowers, C.R.; Francis, C.W.; et al. Venous Thromboembolism Prophylaxis and Treatment in Patients With Cancer: ASCO Clinical Practice Guideline Update. J. Clin. Oncol. 2020, 38, 496–520. [Google Scholar] [CrossRef] [PubMed]
- Stein, P.D.; Beemath, A.; Meyers, F.A.; Skaf, E.; Sanchez, J.; Olson, R.E. Incidence of venous thromboembolism in patients hospitalized with cancer. Am. J. Med. 2006, 119, 60–68. [Google Scholar] [CrossRef]
- Kakei, Y.; Akashi, M.; Hasegawa, T.; Minamikawa, T.; Usami, S.; Komori, T. Incidence of Venous Thromboembolism After Oral Oncologic Surgery With Simultaneous Reconstruction. J. Oral Maxillofac. Surg. 2016, 74, 212–217. [Google Scholar] [CrossRef] [PubMed]
- Haen, P.; Mege, D.; Crescence, L.; Dignat-George, F.; Dubois, C.; Panicot-Dubois, L. Thrombosis Risk Associated with Head and Neck Cancer: A Review. Int. J. Mol. Sci. 2019, 20, 2838. [Google Scholar] [CrossRef] [Green Version]
- Najidh, S.; Versteeg, H.H.; Buijs, J.T. A systematic review on the effects of direct oral anticoagulants on cancer growth and metastasis in animal models. Thromb. Res. 2020, 187, 18–27. [Google Scholar] [CrossRef] [PubMed] [Green Version]
- Kirane, A.; Ludwig, K.F.; Sorrelle, N.; Haaland, G.; Sandal, T.; Ranaweera, R.; Toombs, J.E.; Wang, M.; Dineen, S.P.; Micklem, D.; et al. Warfarin Blocks Gas6-Mediated Axl Activation Required for Pancreatic Cancer Epithelial Plasticity and Metastasis. Cancer Res. 2015, 75, 3699–3705. [Google Scholar] [CrossRef] [Green Version]
- Featherby, S.; Xiao, Y.P.; Ettelaie, C.; Nikitenko, L.L.; Greenman, J.; Maraveyas, A. Low molecular weight heparin and direct oral anticoagulants influence tumour formation, growth, invasion and vascularisation by separate mechanisms. Sci. Rep. 2019, 9, 6272. [Google Scholar] [CrossRef]
- Sawant, A.C.; Kumar, A.; McCray, W.; Tetewsky, S.; Parone, L.; Sridhara, S.; Prakash, M.P.H.; Tse, G.; Liu, T.; Kanwar, N.; et al. Superior safety of direct oral anticoagulants compared to Warfarin in patients with atrial fibrillation and underlying cancer: A national veterans affairs database study. J. Geriatr. Cardiol. 2019, 16, 706–709. [Google Scholar] [CrossRef]



| Variables | N (%) | Oral Anticoagulants | p-Value | ||||
|---|---|---|---|---|---|---|---|
| None | DOACs | Warfarin | |||||
| Sex | Femal | 48 (4.68%) | 36 (4.39%) | 6 (6.52%) | 6 (5.31%) | 0.6207 | |
| Male | 977 (95.32%) | 784 (95.61%) | 86 (93.48%) | 107 (94.69%) | |||
| Age at diagnosis (Mean ± SD) | Years | 59.4 ± 11.4 | 59.3 ± 11.5 | 62.1 ± 10.7 | 57.9 ± 11.2 | 0.0174 * | |
| AJCC stage | I | 232(22.63%) | 187 (22.8%) | 25 (27.17%) | 20 (17.7%) | 0.2634 † | 0.1507 |
| II | 148 (14.44%) | 114 (13.9%) | 20 (21.74%) | 14 (12.39%) | 0.1031 † | ||
| III | 153 (14.93%) | 122 (14.88%) | 10 (10.87%) | 21 (18.58%) | 0.3036 † | ||
| IV (excluding IVc) | 492 (48%) | 397 (48.41%) | 37 (40.22%) | 58 (51.33%) | 0.2478 † | ||
| AJCC stage | I and II | 380 (37.07%) | 301 (36.71%) | 45 (48.91%) | 34 (30.09%) | 0.0189 * | |
| III and IV | 645 (62.93%) | 519 (63.29%) | 47 (51.09%) | 79 (69.91%) | |||
| Cancer subsite | Oral cavity | 745 (72.68%) | 604 (73.66%) | 62 (67.39%) | 79 (69.91%) | 0.4013 | |
| Oropharynx | 110 (10.73%) | 87 (10.61%) | 13 (14.13%) | 10 (8.85%) | |||
| Hypopharynx | 100 (9.76%) | 74 (9.02%) | 9 (9.78%) | 17 (15.04%) | |||
| Larynx | 70 (6.83%) | 55 (6.71%) | 8 (8.7%) | 7 (6.19%) | |||
| Cancer Recurrence | No | 828 (80.78%) | 662 (80.73%) | 79 (85.87%) | 87 (76.99%) | 0.2751 | |
| Yes | 197 (19.22%) | 158 (19.27%) | 13 (14.13%) | 26 (23.01%) | |||
| Death | No | 536 (52.29%) | 417 (50.85%) | 74 (80.43%) | 45 (39.82%) | <0.0001 * | |
| Yes | 489 (47.71%) | 403 (49.15%) | 18 (19.57%) | 68 (60.18%) | |||
| Cause of death | Alive | 536 (52.29%) | 417 (50.85%) | 74 (80.43%) | 45 (39.82%) | <0.0001 * | |
| Death due to HNSCC | 302 (29.46%) | 256 (31.22%) | 11 (11.96%) | 35 (30.97%) | |||
| Other cause of death | 187 (18.24%) | 147 (17.93%) | 7 (7.61%) | 33 (29.2%) | |||
| Treatments | Surgery | 420 (40.98%) | 346 (42.2%) | 38 (41.3%) | 36 (31.86%) | 0.2144 | |
| RT, CT, CCRT | 347 (33.85%) | 274 (33.41%) | 33 (35.87%) | 40 (35.4%) | |||
| Surgery + RT or CCRT | 258 (25.17%) | 200 (24.39%) | 21 (22.83%) | 37 (32.74%) | |||
| Smoking (n = 902) | No | 260 (28.82%) | 198 (27.69%) | 21 (23.6%) | 41 (41.84%) | 0.0077 * | |
| Yes | 642 (71.18%) | 517 (72.31%) | 68 (76.4%) | 57 (58.16%) | |||
| Betel nuts consumption (n = 916) | No | 435 (47.49%) | 341 (47.1%) | 35 (38.04%) | 59 (59%) | 0.0132 * | |
| Yes | 481 (52.51%) | 383 (52.9%) | 57 (61.96%) | 41 (41%) | |||
| Alcoholic beverages (n = 916) | No | 405 (44.21%) | 316 (43.65%) | 35 (38.04%) | 54 (54%) | 0.0673 | |
| Yes | 511 (55.79%) | 408 (56.35%) | 57 (61.96%) | 46 (46%) | |||
| DM | No | 795 (77.56%) | 654 (79.76%) | 64 (69.57%) | 77 (68.14%) | 0.0033 * | |
| Yes | 230 (22.44%) | 166 (20.24%) | 28 (30.43%) | 36 (31.86%) | |||
| Hypertension | No | 700 (68.29%) | 610 (74.39%) | 39 (42.39%) | 51 (45.13%) | <0.0001 * | |
| Yes | 325 (31.71%) | 210 (25.61%) | 53 (57.61%) | 62 (54.87%) | |||
| Atrial fibrillation (flutter) | No | 913 (89.07%) | 793 (96.71%) | 35 (38.04%) | 85 (75.22%) | <0.0001 * | |
| Yes | 112 (10.93%) | 27 (3.29%) | 57 (61.96%) | 28 (24.78%) | |||
| Hyperlipidemia | No | 846 (82.54%) | 705 (85.98%) | 64 (69.57%) | 77 (68.14%) | <0.0001 * | |
| Yes | 179 (17.46%) | 115 (14.02%) | 28 (30.43%) | 36 (31.86%) | |||
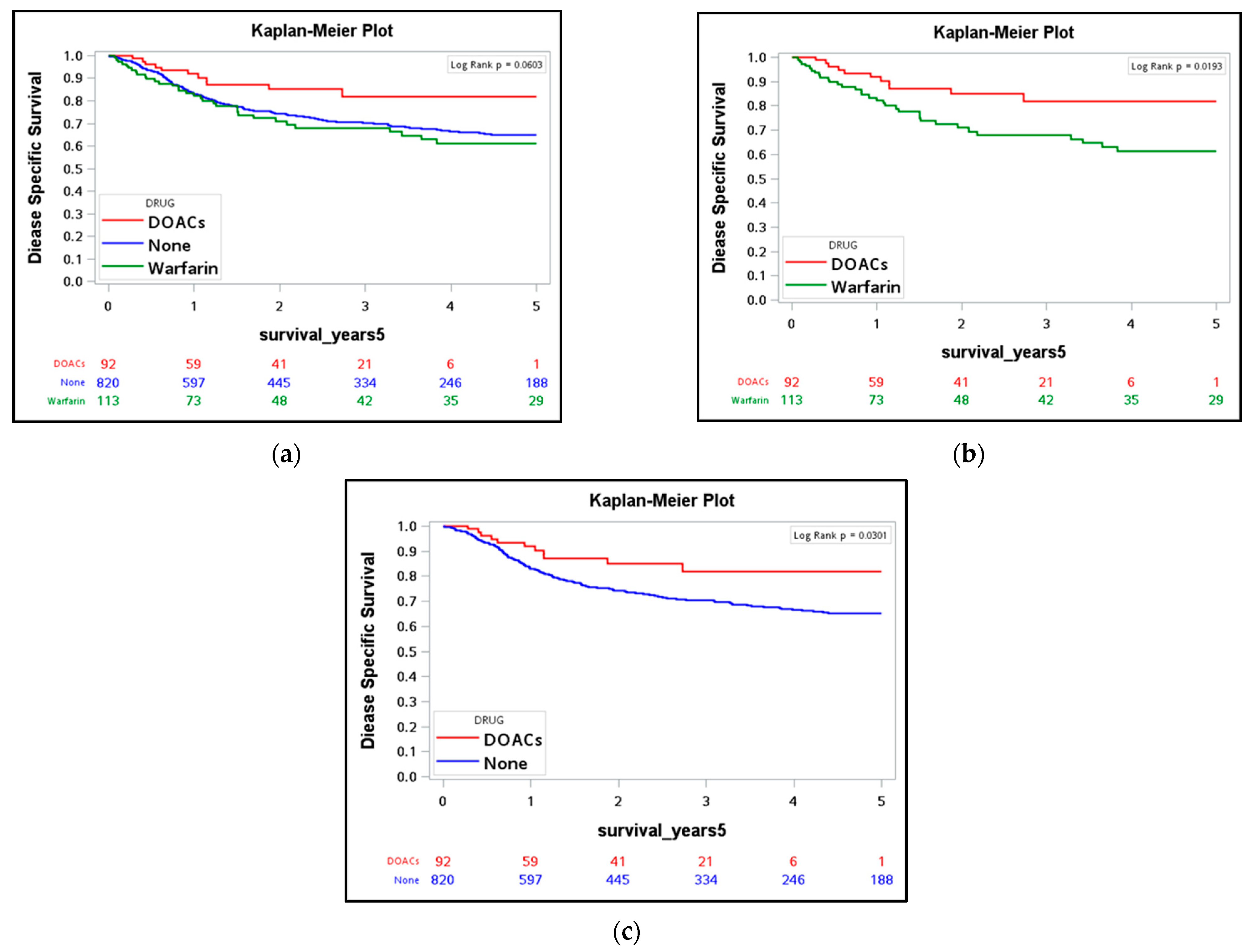
| Variables | Cohort N = 1025 | Survival Rate (%) Years | p-Value | ||||
|---|---|---|---|---|---|---|---|
| 1 | 2 | 3 | 4 | 5 | |||
| None | 820 (80.00%) | 83.0 | 74.2 | 70.3 | 66.5 | 65.0 | p = 0.0603 |
| DOAC use | 92 (8.98%) | 91.9 | 85.2 | 82.0 | 82.0 | 82.0 | |
| Warfarin use | 113 (11.02%) | 82.3 | 71.0 | 67.9 | 61.3 | 61.3 | |
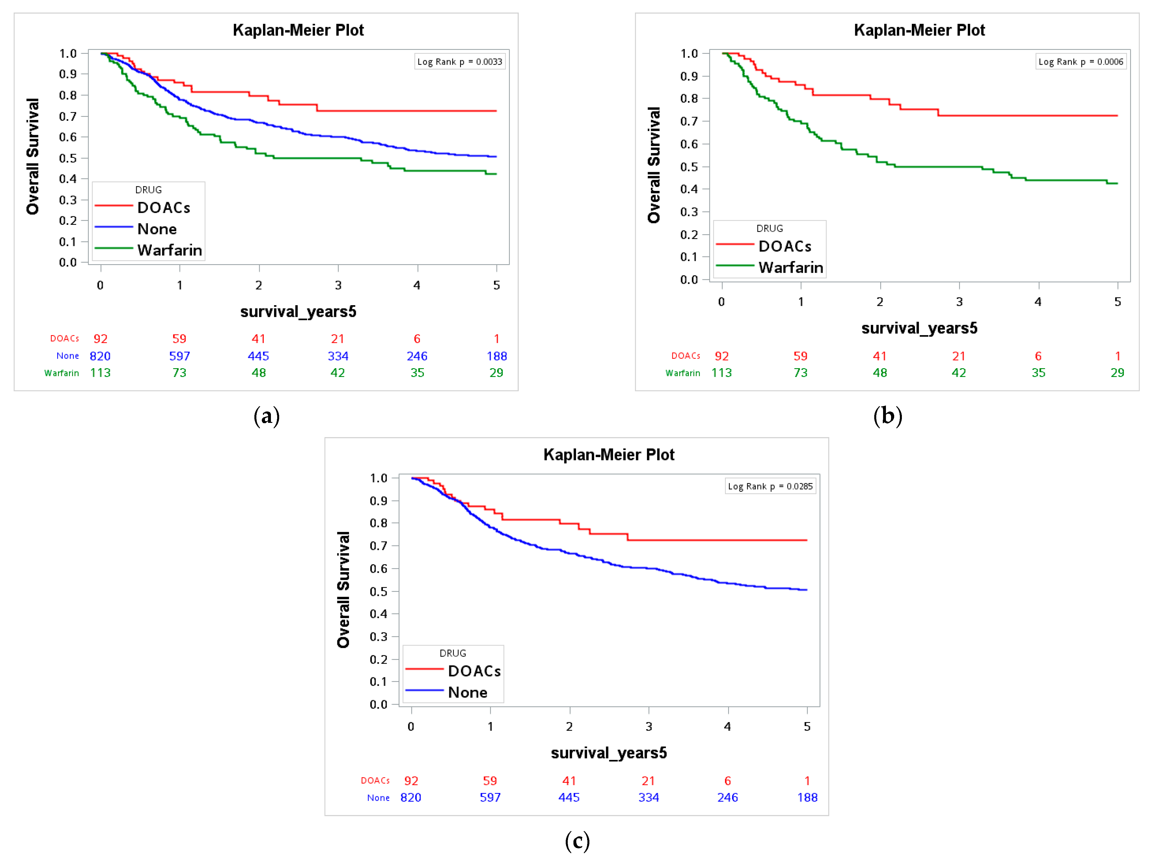
| Variables | Cohort N = 1025 | Survival Rate (%) Years | p-Value | ||||
|---|---|---|---|---|---|---|---|
| 1 | 2 | 3 | 4 | 5 | |||
| None | 820 (80.00%) | 77.9 | 66.7 | 60.0 | 53.4 | 50.6 | p = 0.0033 * |
| DOACs use | 92 (8.98%) | 85.9 | 79.6 | 72.6 | 72.6 | 72.6 | |
| Warfarin use | 113 (11.02%) | 68.9 | 52.1 | 49.8 | 43.8 | 42.4 | |
| Variables | Comparison | N/Mean ± SD | Hazard Ratio (95% CI) | |||
|---|---|---|---|---|---|---|
| Univariate | p | Multivariate | p | |||
| Sex | Female | 48 (4.68%) | 1 | 1 | ||
| Male | 977 (95.32%) | 1.08 (0.60–1.92) | 0.8024 | 0.95 (0.52–1.73) | 0.8584 | |
| Age | Years | 59 (52–67) | 0.99 (0.98–1.01) | 0.2948 | 1 (0.99–1.01) | 0.7964 |
| Cancer subsite | Oral cavity | 745 (72.68%) | 1 | <0.0001 * | 1 | 0.0092 * |
| Oropharynx | 110 (10.73%) | 2.10 (1.52–2.91) | <0.0001 * | 0.75 (0.52–1.1) | 0.1457 | |
| Hypopharynx | 100 (9.76%) | 1.70 (1.19–2.42) | 0.0034 * | 0.56 (0.38–0.84) | 0.0049 * | |
| Larynx | 70 (6.83%) | 0.80 (0.46–1.37) | 0.4138 | 0.47 (0.26–0.86) | 0.0134 * | |
| AJCC stage | I | 232 (22.63%) | 1 | <0.0001 * | 1 | 0.0105 * |
| II | 148 (14.44%) | 1.76 (1.02–3.03) | 0.0420 * | 1.35 (0.77–2.35) | 0.2921 | |
| III | 153 (14.93%) | 1.91 (1.13–3.22) | 0.0162 * | 1.09 (0.63–1.9) | 0.7620 | |
| IV (IVA and IVB) | 492 (48%) | 4.56 (3.02–6.87) | <0.0001 * | 1.88 (1.15–3.07) | 0.0113 * | |
| Treatment | Surgery | 420 (40.98%) | 1 | <0.0001 * | 1 | <0.0001 * |
| Surgery + RT and CCRT | 347 (33.85%) | 2.99 (2.11–4.22) | <0.0001 * | 2.26 (1.51–3.38) | <0.0001 * | |
| RT, CT, and CCRT | 258 (25.17%) | 6.48 (4.63–9.06) | <0.0001 * | 6.42 (4.09–10.09) | <0.0001 * | |
| Oral anticoagulants | None | 820 (80.00%) | 1 | 0.0666 | 1 | 0.1168 |
| DOACs | 92 (8.98%) | 0.52 (0.28–0.95) | 0.0331 * | 0.53 (0.29–0.98) | 0.042 * | |
| Warfarin | 113 (11.02%) | 1.16 (0.80–1.66) | 0.4389 | 1.05 (0.72–1.51) | 0.807 | |
| Variables | Comparison | N/Mean ± SD | Hazard Ratio (95% CI) | |||
|---|---|---|---|---|---|---|
| Univariate | p | Multivariate | p | |||
| Sex | Female | 48 (4.68%) | 1 | 1 | ||
| Male | 977 (95.32%) | 1.10 (0.69–1.77) | 0.6881 | 1.21 (0.74–1.97) | 0.4424 | |
| Age | Years | 59 (52–67) | 1.01 (1.00–1.02) | 0.0452 * | 1.02 (1.01–1.03) | 0.0019 * |
| Cancer subsite | Oral cavity | 745 (72.68%) | 1 | <0.0001 * | 1 | 0.0039 * |
| Oropharynx | 110 (10.73%) | 1.88 (1.43–2.47) | <0.0001 * | 0.82 (0.59–1.13) | 0.2298 | |
| Hypopharynx | 100 (9.76%) | 1.62 (1.21–2.16) | 0.0013 * | 0.65 (0.47–0.91) | 0.0109 * | |
| Larynx | 70 (6.83%) | 0.88 (0.58–1..33) | 0.5428 | 0.48 (0.30–0.76) | 0.0018 * | |
| AJCC stage | I | 232 (22.63%) | 1 | <0.0001 * | 1 | 0.0307 * |
| II | 148 (14.44%) | 1.43 (0.96–2.12) | 0.0794 | 1.13 (0.75–1.69) | 0.5641 | |
| III | 153 (14.93%) | 1.72 (1.19–2.49) | 0.0042 * | 1.13 (0.76–1.67) | 0.5535 | |
| IV (IVA and IVB) | 492 (48%) | 3.01 (2.25–4.02) | <0.0001 * | 1.56 (1.09–2.22) | 0.0144 * | |
| Treatment | Surgery | 420 (40.98%) | 1 | <0.0001 * | 1 | <0.0001 * |
| Surgery + RT and CCRT | 347 (33.85%) | 2.23 (1.73–2.88) | <0.0001 * | 1.91 (1.41–2.58) | <0.0001 | |
| RT, CT, and CCRT | 258 (25.17%) | 4.38 (3.41–5.63) | <0.0001 * | 4.36 (3.08–6.17) | <0.0001 | |
| Oral anticoagulants | None | 820 (80.00%) | 1 | 0.0038 * | 1 | 0.0101 * |
| DOACs | 92 (8.98%) | 0.59 (0.37–0.94) | 0.0281 * | 0.58 (0.36–0.93) | 0.0251 * | |
| Warfarin | 113 (11.02%) | 1.39 (1.05–1.83) | 0.0204 * | 1.30 (0.99–1.72) | 0.0642 | |
| Event | Oral Anticoagulant | p-Value | ||
|---|---|---|---|---|
| DOACs | Warfarin | |||
| UGI bleeding (OPD) | No | 57 (61.96%) | 79 (69.91%) | 0.2306 |
| Yes | 35 (38.04%) | 34 (30.09%) | ||
| UGI bleeding (Admission) | No | 87 (94.57%) | 109 (96.46%) | 0.5189 |
| Yes | 5 (5.43%) | 4 (3.54%) | ||
| MI | No | 90 (97.83%) | 110 (97.35%) | 1.0000 |
| Yes | 2 (2.17%) | 3 (2.65%) | ||
| ICH | No | 89 (96.74%) | 111 (98.23%) | 0.6588 |
| Yes | 3 (3.26%) | 2 (1.77%) | ||
| CVA | No | 75 (81.52%) | 95 (84.07%) | 0.6295 |
| Yes | 17 (18.48%) | 18 (15.93%) | ||
| DVT | No | 84 (91.3%) | 93 (82.3%) | 0.0619 |
| Yes | 8 (8.7%) | 20 (17.7%) | ||
| PE | No | 88 (95.65%) | 107 (94.69%) | 1.0000 |
| Yes | 4 (4.35%) | 6 (5.31%) | ||
Publisher’s Note: MDPI stays neutral with regard to jurisdictional claims in published maps and institutional affiliations. |
© 2022 by the authors. Licensee MDPI, Basel, Switzerland. This article is an open access article distributed under the terms and conditions of the Creative Commons Attribution (CC BY) license (https://creativecommons.org/licenses/by/4.0/).
Share and Cite
Lee, C.-L.; Chen, W.-S.; Wee, Y.; Wang, C.-S.; Chen, W.-C.; Chiu, T.-J.; Wang, Y.-M.; Wu, C.-N.; Yang, Y.-H.; Luo, S.-D.; et al. Direct Oral Anticoagulants Are Associated with Superior Survival Outcomes than Warfarin in Patients with Head and Neck Cancers. Cancers 2022, 14, 703. https://doi.org/10.3390/cancers14030703
Lee C-L, Chen W-S, Wee Y, Wang C-S, Chen W-C, Chiu T-J, Wang Y-M, Wu C-N, Yang Y-H, Luo S-D, et al. Direct Oral Anticoagulants Are Associated with Superior Survival Outcomes than Warfarin in Patients with Head and Neck Cancers. Cancers. 2022; 14(3):703. https://doi.org/10.3390/cancers14030703
Chicago/Turabian StyleLee, Chien-Lin, Wei-Shan Chen, Yinshen Wee, Ching-Shuen Wang, Wei-Chih Chen, Tai-Jan Chiu, Yu-Ming Wang, Ching-Nung Wu, Yao-Hsu Yang, Sheng-Dean Luo, and et al. 2022. "Direct Oral Anticoagulants Are Associated with Superior Survival Outcomes than Warfarin in Patients with Head and Neck Cancers" Cancers 14, no. 3: 703. https://doi.org/10.3390/cancers14030703
APA StyleLee, C.-L., Chen, W.-S., Wee, Y., Wang, C.-S., Chen, W.-C., Chiu, T.-J., Wang, Y.-M., Wu, C.-N., Yang, Y.-H., Luo, S.-D., & Wu, S.-C. (2022). Direct Oral Anticoagulants Are Associated with Superior Survival Outcomes than Warfarin in Patients with Head and Neck Cancers. Cancers, 14(3), 703. https://doi.org/10.3390/cancers14030703

