Feasibility and Safety of Single-Probe Cryoablation with Liquid Nitrogen: An Initial Experience in 24 Various Tumor Lesions
Abstract
Simple Summary
Abstract
1. Introduction
2. Patients and Methods
2.1. Study Design and Patients
2.2. Cryoablation Technique
2.3. Anatomopathologic Data
2.4. Oncologic Follow-Up
2.5. Statistical Analysis
3. Results
3.1. Patients
3.2. Cryotherapy Data
3.3. Complications
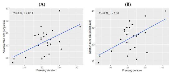
3.4. Dosimetry
3.5. Oncologic Outcome
4. Discussion
5. Conclusions
Author Contributions
Funding
Institutional Review Board Statement
Informed Consent Statement
Data Availability Statement
Conflicts of Interest
References
- Lucatelli, P.; Iezzi, R.; De Rubeis, G.; Goldberg, S.N.; Bilbao, J.I.; Sami, A.; Akhan, O.; Giuliante, F.; Pompili, M.; Tagliaferri, L.; et al. Immuno-Oncology and Interventional Oncology: A Winning Combination. The Latest Scientific Evidence. Eur. Rev. Med. Pharmacol. Sci. 2019, 23, 5343–5350. [Google Scholar] [CrossRef] [PubMed]
- Chu, K.F.; Dupuy, D.E. Thermal Ablation of Tumours: Biological Mechanisms and Advances in Therapy. Nat. Rev. Cancer 2014, 14, 199–208. [Google Scholar] [CrossRef] [PubMed]
- Wang, H.; Littrup, P.J.; Duan, Y.; Zhang, Y.; Feng, H.; Nie, Z. Thoracic Masses Treated with Percutaneous Cryotherapy: Initial Experience with More than 200 Procedures. Radiology 2005, 235, 289–298. [Google Scholar] [CrossRef] [PubMed]
- Littrup, P.J.; Aoun, H.D.; Adam, B.; Krycia, M.; Prus, M.; Shields, A. Percutaneous Cryoablation of Hepatic Tumors: Long-Term Experience of a Large U.S. Series. Abdom. Radiol. 2016, 41, 767–780. [Google Scholar] [CrossRef] [PubMed]
- Patel, N.; King, A.J.; Breen, D.J. Percutaneous Image-Guided Cryoablation of Small Renal Masses. Abdom. Radiol. 2016, 41, 754–766. [Google Scholar] [CrossRef]
- Gahide, G.; Pavic, M.; Sirois, C.; Sirois, M.; Poon, J.; Grondin-Beaudoin, B.; Chevrier, M.; Noel-Lamy, M. Outpatient Approach for the Treatment of Lung Tumors with Cryoablation under Moderate Sedation. J. Vasc. Interv. Radiol. 2021, 32, 1701–1703. [Google Scholar] [CrossRef]
- De Cobelli, F.; Marra, P.; Ratti, F.; Ambrosi, A.; Colombo, M.; Damascelli, A.; Sallemi, C.; Gusmini, S.; Salvioni, M.; Diana, P.; et al. Microwave Ablation of Liver Malignancies: Comparison of Effects and Early Outcomes of Percutaneous and Intraoperative Approaches with Different Liver Conditions: New Advances in Interventional Oncology: State of the Art. Med. Oncol. 2017, 34, 49. [Google Scholar] [CrossRef]
- Song, K.D. Percutaneous Cryoablation for Hepatocellular Carcinoma. Clin. Mol. Hepatol. 2016, 22, 509–515. [Google Scholar] [CrossRef]
- Nomori, H.; Yamazaki, I.; Kondo, T.; Kanno, M. The Cryoablation of Lung Tissue Using Liquid Nitrogen in Gel and in the Ex Vivo Pig Lung. Surg. Today 2017, 47, 259–264. [Google Scholar] [CrossRef]
- Hahn, M.; Pavlista, D.; Danes, J.; Klein, R.; Golatta, M.; Harcos, A.; Wallwiener, D.; Gruber, I. Ultrasound Guided Cryoablation of Fibroadenomas. Ultraschall. Med. 2013, 34, 64–68. [Google Scholar] [CrossRef]
- Nomori, H.; Yamazaki, I.; Shiraishi, A.; Adachi, T.; Kanno, M. Cryoablation for T1N0M0 Non-Small Cell Lung Cancer Using Liquid Nitrogen. Eur. J. Radiol. 2020, 133, 109334. [Google Scholar] [CrossRef]
- Santiago, E.; Pauly, V.; Brun, G.; Guenoun, D.; Champsaur, P.; Le Corroller, T. Percutaneous Cryoablation for the Treatment of Osteoid Osteoma in the Adult Population. Eur. Radiol. 2018, 28, 2336–2344. [Google Scholar] [CrossRef] [PubMed]
- Ratanaprasatporn, L.; Sainani, N.; Duda, J.B.; Aghayev, A.; Tatli, S.; Silverman, S.G.; Shyn, P.B. Imaging Findings during and after Percutaneous Cryoablation of Hepatic Tumors. Abdom. Radiol. 2019, 44, 2602–2626. [Google Scholar] [CrossRef] [PubMed]
- Ahmed, M.; Solbiati, L.; Brace, C.L.; Breen, D.J.; Callstrom, M.R.; Charboneau, J.W.; Chen, M.-H.; Choi, B.I.; de Baère, T.; Dodd, G.D.; et al. Image-Guided Tumor Ablation: Standardization of Terminology and Reporting Criteria—A 10-Year Update. Radiology 2014, 273, 241–260. [Google Scholar] [CrossRef] [PubMed]
- Frandon, J.; Akessoul, P.; Kammoun, T.; Dabli, D.; de Forges, H.; Beregi, J.-P.; Greffier, J. Microwave Ablation of Liver, Kidney and Lung Lesions: One-Month Response and Manufacturer’s Charts’ Reliability in Clinical Practice. Sensors 2022, 22, 3973. [Google Scholar] [CrossRef] [PubMed]
- Park, S.Y.; Won, J.Y.; Oh, Y.T.; Jung, D.C.; Kim, G.M.; Kim, M.D. Assessment of Cold Sink Effect in Postulated Renal Cryoablation by Analyzing Radiographic Ice Ball on Computed Tomography. Br. J. Radiol. 2019, 92, 20170951. [Google Scholar] [CrossRef]
- Gage, A.A.; Baust, J.M.; Baust, J.G. Experimental Cryosurgery Investigations In Vivo. Cryobiology 2009, 59, 229–243. [Google Scholar] [CrossRef]
- Stephenson, R.A.; King, D.K.; Rohr, L.R. Renal Cryoablation in a Canine Model. Urology 1996, 47, 772–776. [Google Scholar] [CrossRef]
- Woolley, M.L.; Schulsinger, D.A.; Durand, D.B.; Zeltser, I.S.; Waltzer, W.C. Effect of Freezing Parameters (Freeze Cycle and Thaw Process) on Tissue Destruction Following Renal Cryoablation. J. Endourol. 2002, 16, 519–522. [Google Scholar] [CrossRef]
- Snyder, K.K.; Van Buskirk, R.G.; Baust, J.G.; Baust, J.M. Breast Cancer Cryoablation: Assessment of the Impact of Fundamental Procedural Variables in an In Vitro Human Breast Cancer Model. Breast Cancer Basic Clin. Res. 2020, 14, 1178223420972363. [Google Scholar] [CrossRef]
- Goldberg, S.N.; Hahn, P.F.; Tanabe, K.K.; Mueller, P.R.; Schima, W.; Athanasoulis, C.A.; Compton, C.C.; Solbiati, L.; Gazelle, G.S. Percutaneous Radiofrequency Tissue Ablation: Does Perfusion-Mediated Tissue Cooling Limit Coagulation Necrosis? J. Vasc. Interv. Radiol. 1998, 9, 101–111. [Google Scholar] [CrossRef]
- Nonboe, L.L.; Nielsen, T.K.; Høyer, S.; Graumann, O.; Frøkiær, J.; Borre, M. Arterial Clamping Increases Central Renal Cryoablation Efficacy: An Animal Study. Technol. Cancer Res. Treat. 2017, 16, 414–420. [Google Scholar] [CrossRef] [PubMed]
- Rosenberg, M.D.; Kim, C.Y.; Tsivian, M.; Suberlak, M.N.; Sopko, D.R.; Polascik, T.J.; Nelson, R.C. Percutaneous Cryoablation of Renal Lesions with Radiographic Ice Ball Involvement of the Renal Sinus: Analysis of Hemorrhagic and Collecting System Complications. Am. J. Roentgenol. 2011, 196, 935–939. [Google Scholar] [CrossRef] [PubMed]
- Garnon, J.; Van Strijen, M.J.; Nielsen, T.K.; King, A.J.; Montauban Van Swijndregt, A.D.; Cazzato, R.L.; Auloge, P.; Rousseau, C.; Dalili, D.; Keeley, F.X.; et al. Safety of Percutaneous Renal Cryoablation: An International Multicentre Experience from the EuRECA Retrospective Percutaneous Database. Eur. Radiol. 2019, 29, 6293–6299. [Google Scholar] [CrossRef] [PubMed]
- De Cobelli, F.; Papa, M.; Panzeri, M.; Colombo, M.; Steidler, S.; Ambrosi, A.; Cao, R.; Gusmini, S.; Marra, P.; Capitanio, U.; et al. Percutaneous Microwave Ablation Versus Cryoablation in the Treatment of T1a Renal Tumors. Cardiovasc. Interv. Radiol. 2020, 43, 76–83. [Google Scholar] [CrossRef] [PubMed]
- Onik, G.; Rubinsky, B.; Zemel, R.; Weaver, L.; Diamond, D.; Cobb, C.; Porterfield, B. Ultrasound-Guided Hepatic Cryosurgery in the Treatment of Metastatic Colon Carcinoma. Preliminary Results. Cancer 1991, 67, 901–907. [Google Scholar] [CrossRef]
- Golatta, M.; Harcos, A.; Pavlista, D.; Danes, J.; Klein, R.; Simovich, P.; Gruber, I.; Hahn, M. Ultrasound-Guided Cryoablation of Breast Fibroadenoma: A Pilot Trial. Arch. Gynecol. Obstet. 2015, 291, 1355–1360. [Google Scholar] [CrossRef]
- Sandberg, J.K.; Shoaf, K.R.; Lungren, M.P.; Young, V.A.; Josephs, S.; Thakor, A.S. Dynamic Hydrodissection for Skin Protection during Cryoablation of Superficial Lesions. J. Vasc. Interv. Radiol. 2020, 31, 1942–1945. [Google Scholar] [CrossRef]
- Yamagami, T.; Yoshimatsu, R.; Kajiwara, K.; Yamanishi, T.; Minamiguchi, H.; Karashima, T.; Inoue, K. Protection from Injury of Organs Adjacent to a Renal Tumor during Percutaneous Cryoablation. Int. J. Urol. 2019, 26, 785–790. [Google Scholar] [CrossRef]
- Autrusseau, P.-A.; Boatta, E.; Cazzato, R.L.; Auloge, P.; Mayer, T.; Weiss, J.; Koch, G.; Caudrelier, J.; De Marini, P.; Gangi, A.; et al. Percutaneous Image-Guided Cryoablation with Temporary Balloon Occlusion of the Renal Artery for the Treatment of Central Renal Tumors. Diagn. Interv. Imaging 2022, 103, 510–515. [Google Scholar] [CrossRef]
- Hof, J.; Wertenbroek, M.W.J.L.A.E.; Peeters, P.M.J.G.; Widder, J.; Sieders, E.; de Jong, K.P. Outcomes after Resection and/or Radiofrequency Ablation for Recurrence after Treatment of Colorectal Liver Metastases. Br. J. Surg. 2016, 103, 1055–1062. [Google Scholar] [CrossRef] [PubMed]





| Patient Characteristics | N = 22 |
|---|---|
| Gender, n (%) | |
| Male | 16 (73%) |
| Female | 6 (27%) |
| Median age (years) (range) | 66 (36–89) |
| Lesion Data | N = 24 |
| Location, n (%) | |
| Bone (central) | 10 (42%) |
| Kidney | 7 (29%) |
| Soft tissue Lung | 4 (17%) 2 (8%) |
| Liver | 1 (4%) |
| Cryoablation intent, n (%) | |
| Palliative analgesic | 8 (33%) |
| Curative | 16 (67%) |
| Ice Ball | Ablation Zone | Difference between the Ice balls and Ablation Zones | |||||||||||||
|---|---|---|---|---|---|---|---|---|---|---|---|---|---|---|---|
| Lesion Location | Tumor Size (Major × Minor Axis, mm) | Cryoprobe Type | Cryoprobe Size | Length (mm) | Width (mm) | Sphericity Index | Major Axis (mm) | Minor Axis (mm) | Sphericity Index | Major Axis (mm) | Minor Axis (mm) | Freezing Duration (min) | Anapathological Results | Associated/ Follow-Up Treatment | Follow-Up at 1 Year |
| Bone | 33 × 33 | Elliptic | 10G | 37 | 15 | 0.1 | 31 | 11 | 0.1 | −6 | −4 | 25 | Metastasis from thyroid cancer | Second cryotherapy | Stable disease |
| Bone | 14 × 14 | Elliptic | 13G | 23 | 18 | 0.6 | 20 | 16 | 0.6 | −3 | −2 | 10.6 | Metastasis from neuroendocrine carcinoma | Radio therapy | Partial response |
| Bone | 15 × 11 | Elliptic | 13G | 23 | 17 | 0.5 | 19 | 13 | 0.4 | −4 | −4 | 4 | Metastasis from breast cancer | Right leg amputation | Stable disease |
| Bone | 10 × 9 | Elliptic | 13G | Not measurable * | 38 | 23 | 0.3 | Not measurable | 16 | Metastasis from uterine sarcoma | None | Complete local response Distant progression | |||
| Bone | 24 × 21 | Elliptic | 10G | Not measurable * | 36 | 21 | 0.3 | Not measurable | 19.5 | Metastasis from pulmonary adenocarcinoma | None | Complete response | |||
| Bone | 16 × 15 | Elliptic | 10G | Not measurable * | 45 | 30 | 0.4 | Not measurable | 19.5 | Metastasis from bronchial adenocarcinoma | None | Complete response | |||
| Bone | 38 × 29 | Elliptic | 10G | Not measurable * | 39 | 29 | 0.5 | Not measurable | 18 | Metastasis from colon adenocarcinoma | None | Lost to follow-up | |||
| Bone | 20 × 20 | Spherical | 10G | Not measurable * | 42 | 26 | 0.3 | Not measurable | 26 | Metastasis from clear cell renal carcinoma | None | Complete local response Distant progression | |||
| Bone | 20 × 15 | Elliptic | 10G | Not measurable * | 30 | 28 | 0.8 | Not measurable | 18 | Metastasis from breast cancer | None | Complete response | |||
| Bone | 28 × 24 | Elliptic | 10G | 46 | 37 | 0.6 | 39 | 32 | 0.6 | −7 | −5 | 22.5 | Metastasis from thyroid cancer | None | Complete local response Distant progression |
| Kidney | 21 × 16 | Elliptic | 13G | 36 | 29 | 0.6 | 35 | 26 | 0.5 | −1 | −3 | 19.5 | Clear cell renal carcinoma | None | Complete response |
| Kidney | 19 × 17 | Spherical | 10G | 29 | 27 | 0.8 | 23 | 18 | 0.6 | −6 | −9 | 24 | Clear cell renal carcinoma | None | Complete response |
| Kidney | 36 × 36 | Elliptic | 10G | 52 | 41 | 0.6 | 45 | 40 | 0.8 | −7 | −1 | 42 | Clear cell renal carcinoma | None | Complete response |
| Kidney 1 | 21 × 18 | Elliptic | 10G | 45 | 35 | 0.6 | 35 | 25 | 0.5 | −10 | −10 | 25 | Clear cell renal carcinoma | None | Complete response |
| Kidney 1 | 16 × 16 | Spherical | 10G | 30 | 28 | 0.8 | 21 | 17 | 0.6 | −9 | −9 | 21.3 | |||
| Kidney | 27 × 23 | Elliptic | 10G | 46 | 36 | 0.6 | 33 | 27 | 0.6 | −13 | −9 | 30 | Clear cell renal carcinoma | None | Complete response |
| Kidney | 25 × 17 | Elliptic | 10G | 40 | 35 | 0.7 | 32 | 25 | 0.6 | −8 | −10 | 23 | Clear cell renal carcinoma | None | Complete response |
| Soft tissue | 5 × 5 | Elliptic | 13G | 20 | 11 | 0.3 | 16 | 9 | 0.3 | −4 | −2 | 3.3 | Neurinoma | None | Alive without pain (VAS 0/10) |
| Soft tissue | 20 × 10 | Elliptic | 13G | 42 | 33 | 0.6 | 19 | 13 | 0.4 | −23 | −20 | 20 | Metastasis from melanoma | Second cryotherapy | Complete local response Distant progression |
| Soft tissue | 29 × 29 | Elliptic | 10G | 60 | 44 | 0.5 | 58 | 37 | 0.4 | −2 | −7 | 30 | Liposarcoma | None | Complete local response Distant progression |
| Soft tissue | 31 × 22 | Elliptic | 10G | 41 | 30 | 0.5 | 30 | 25 | 0.7 | −11 | −5 | 23.2 | Chondrosarcoma | None | Complete response |
| Lung 2 | 11 × 11 | Elliptic | 13G | 45 | 34 | 0.5 | 37 | 34 | 0.8 | −8 | 0 | 21 | Metastasis from cortico-surrenaloma | None | Complete local response Distant progression |
| Lung 2 | 15 × 11 | Elliptic | 10G | 55 | 31 | 0.3 | 40 | 30 | 0.5 | −15 | −1 | 21 | |||
| Liver | 21 × 19 | Spherical | 13G | 30 | 28 | 0.8 | 27 | 15 | 0.3 | −3 | −13 | 31 | Hepatocellular carcinoma | None | Complete response |
Publisher’s Note: MDPI stays neutral with regard to jurisdictional claims in published maps and institutional affiliations. |
© 2022 by the authors. Licensee MDPI, Basel, Switzerland. This article is an open access article distributed under the terms and conditions of the Creative Commons Attribution (CC BY) license (https://creativecommons.org/licenses/by/4.0/).
Share and Cite
Kammoun, T.; Prévot, E.; Serrand, C.; Perolat, R.; de Forges, H.; Houédé, N.; Beregi, J.-P.; Frandon, J. Feasibility and Safety of Single-Probe Cryoablation with Liquid Nitrogen: An Initial Experience in 24 Various Tumor Lesions. Cancers 2022, 14, 5432. https://doi.org/10.3390/cancers14215432
Kammoun T, Prévot E, Serrand C, Perolat R, de Forges H, Houédé N, Beregi J-P, Frandon J. Feasibility and Safety of Single-Probe Cryoablation with Liquid Nitrogen: An Initial Experience in 24 Various Tumor Lesions. Cancers. 2022; 14(21):5432. https://doi.org/10.3390/cancers14215432
Chicago/Turabian StyleKammoun, Tarek, Elodie Prévot, Chris Serrand, Romain Perolat, Hélène de Forges, Nadine Houédé, Jean-Paul Beregi, and Julien Frandon. 2022. "Feasibility and Safety of Single-Probe Cryoablation with Liquid Nitrogen: An Initial Experience in 24 Various Tumor Lesions" Cancers 14, no. 21: 5432. https://doi.org/10.3390/cancers14215432
APA StyleKammoun, T., Prévot, E., Serrand, C., Perolat, R., de Forges, H., Houédé, N., Beregi, J.-P., & Frandon, J. (2022). Feasibility and Safety of Single-Probe Cryoablation with Liquid Nitrogen: An Initial Experience in 24 Various Tumor Lesions. Cancers, 14(21), 5432. https://doi.org/10.3390/cancers14215432

