Prognostic Value of Neutrophil Percentage-to-Albumin Ratio in Patients with Oral Cavity Cancer
Abstract
Simple Summary
Abstract
1. Introduction
2. Materials and Methods
2.1. Design and Study Population
2.2. Data Collection
2.3. Treatment Plan
2.4. Follow-Up and Survival Endpoints
2.5. Statistical Analysis
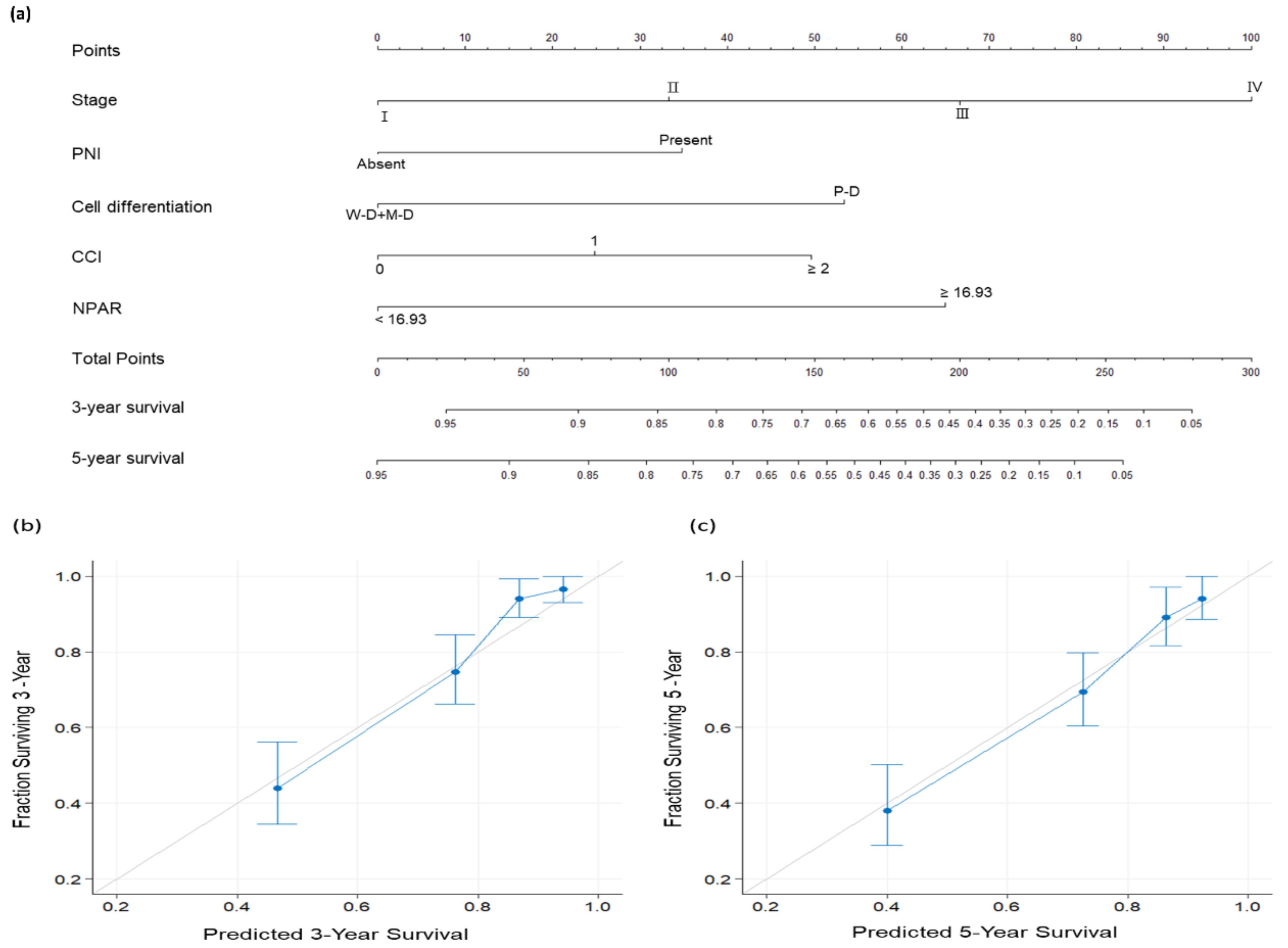
2.6. Nomogram for OS Prediction
3. Results
3.1. Baseline Characteristics
3.2. Association between Clinicopathological Characteristics and NPAR
3.3. Significance of NPAR for OS
3.4. Significance of NPAR for DFS
3.5. Establishment of NPAR-Based Nomogram
4. Discussion
5. Conclusions
Author Contributions
Funding
Institutional Review Board Statement
Informed Consent Statement
Data Availability Statement
Acknowledgments
Conflicts of Interest
References
- Shah, J.P.; Gil, Z. Current Concepts in Management of Oral Cancer–Surgery. Oral Oncol. 2009, 45, 394–401. [Google Scholar] [CrossRef]
- Sung, H.; Ferlay, J.; Siegel, R.L.; Laversanne, M.; Soerjomataram, I.; Jemal, A.; Bray, F. Global Cancer Statistics 2020: Globocan Estimates of Incidence and Mortality Worldwide for 36 Cancers in 185 Countries. CA Cancer J. Clin. 2021, 71, 209–249. [Google Scholar] [CrossRef] [PubMed]
- Ghantous, Y.; Abu Elnaaj, I. Global Incidence and Risk Factors of Oral Cancer. Harefuah 2017, 156, 645–649. [Google Scholar] [PubMed]
- Pfister, D.G.; Ang, K.K.; Brizel, D.M.; Burtness, B.A.; Cmelak, A.J.; Colevas, A.D.; Dunphy, F.; Eisele, D.W.; Gilbert, J.; Gillison, M.L.; et al. Head and Neck Cancers. J. Natl. Compr. Cancer Netw. 2011, 9, 596–650. [Google Scholar] [CrossRef]
- Lee, L.Y.; Lin, C.Y.; Cheng, N.M.; Tsai, C.Y.; Hsueh, C.; Fan, K.H.; Wang, H.M.; Hsieh, C.H.; Ng, S.H.; Yeh, C.H.; et al. Poor Tumor Differentiation Is an Independent Adverse Prognostic Variable in Patients with Locally Advanced Oral Cavity Cancer—Comparison with Pathological Risk Factors According to the Nccn Guidelines. Cancer Med. 2021, 10, 6627–6641. [Google Scholar] [CrossRef]
- Quintana, D.; Dedivitis, R.A.; Kowalski, L.P. Prognostic Impact of Perineural Invasion in Oral Cancer: A Systematic Review. Acta Otorhinolaryngol. Ital. 2022, 42, 17–25. [Google Scholar] [CrossRef]
- Bulbul, M.G.; Zenga, J.; Puram, S.V.; Tarabichi, O.; Parikh, A.S.; Varvares, M.A. Understanding Approaches to Measurement and Impact of Depth of Invasion of Oral Cavity Cancers: A Survey of American Head and Neck Society Membership. Oral Oncol. 2019, 99, 104461. [Google Scholar] [CrossRef]
- Pilborough, A.E.; Lambert, D.W.; Khurram, S.A. Extranodal Extension in Oral Cancer: A Role for the Nodal Microenvironment? J. Oral Pathol. Med. 2019, 48, 863–870. [Google Scholar] [CrossRef] [PubMed]
- Jiang, Y.; Xu, D.; Song, H.; Qiu, B.; Tian, D.; Li, Z.; Ji, Y.; Wang, J. Inflammation and Nutrition-Based Biomarkers in the Prognosis of Oesophageal Cancer: A Systematic Review and Meta-Analysis. BMJ Open 2021, 11, e048324. [Google Scholar] [CrossRef]
- Keller, U. Nutritional Laboratory Markers in Malnutrition. J. Clin. Med. 2019, 8, 775. [Google Scholar] [CrossRef] [PubMed]
- Bao, X.; Liu, F.; Lin, J.; Chen, Q.; Chen, L.; Chen, F.; Wang, J.; Qiu, Y.; Shi, B.; Pan, L.; et al. Nutritional Assessment and Prognosis of Oral Cancer Patients: A Large-Scale Prospective Study. BMC Cancer 2020, 20, 146. [Google Scholar] [CrossRef] [PubMed]
- Hu, X.; Xiang, F.; Feng, Y.; Gao, F.; Ge, S.; Wang, C.; Zhang, X.; Wang, N. Neutrophils Promote Tumor Progression in Oral Squamous Cell Carcinoma by Regulating Emt and Jak2/Stat3 Signaling through Chemerin. Front. Oncol. 2022, 12, 812044. [Google Scholar] [CrossRef] [PubMed]
- Tawfik, B.; Mokdad, A.A.; Patel, P.M.; Li, H.C.; Huerta, S. The Neutrophil to Albumin Ratio as a Predictor of Pathological Complete Response in Rectal Cancer Patients Following Neoadjuvant Chemoradiation. Anticancer Drugs 2016, 27, 879–883. [Google Scholar] [CrossRef] [PubMed]
- Li, R.; Sun, Z.; Song, S.; He, X.; Shi, X.; Li, Z.; Song, J. Narfib: A Novel Prognostic Score Based on the Neutrophil-to-Albumin Ratio and Fibrinogen Can Predict the Prognosis of Gastrointestinal Stromal Tumors. Cancer Manag. Res. 2020, 12, 11183–11190. [Google Scholar] [CrossRef]
- Ferro, M.; Baba, D.F.; de Cobelli, O.; Musi, G.; Lucarelli, G.; Terracciano, D.; Porreca, A.; Busetto, G.M.; Del Giudice, F.; Soria, F.; et al. Neutrophil Percentage-to-Albumin Ratio Predicts Mortality in Bladder Cancer Patients Treated with Neoadjuvant Chemotherapy Followed by Radical Cystectomy. Future Sci. OA 2021, 7, FSO709. [Google Scholar] [CrossRef]
- Feng, C.; Yu, H.; Lei, H.; Cao, H.; Chen, M.; Liu, S. A Prognostic Model Using the Neutrophil-Albumin Ratio and Pg-Sga to Predict Overall Survival in Advanced Palliative Lung Cancer. BMC Palliat. Care 2022, 21, 81. [Google Scholar] [CrossRef]
- Tingle, S.J.; Severs, G.R.; Goodfellow, M.; Moir, J.A.; White, S.A. Narca: A Novel Prognostic Scoring System Using Neutrophil-Albumin Ratio and Ca19-9 to Predict Overall Survival in Palliative Pancreatic Cancer. J. Surg. Oncol. 2018, 118, 680–686. [Google Scholar] [CrossRef]
- Brusselaers, N.; Lagergren, J. The Charlson Comorbidity Index in Registry-Based Research. Methods Inf. Med. 2017, 56, 401–406. [Google Scholar]
- Kao, H.K.; Lofstrand, J.; Loh, C.Y.; Lao, W.W.; Yi, J.S.; Chang, Y.L.; Chang, K.P. Nomogram Based on Albumin and Neutrophil-to-Lymphocyte Ratio for Predicting the Prognosis of Patients with Oral Cavity Squamous Cell Carcinoma. Sci. Rep. 2018, 8, 13081. [Google Scholar] [CrossRef]
- Husten, C.G. How Should We Define Light or Intermittent Smoking? Does It Matter? Nicotine Tob. Res. 2009, 11, 111–121. [Google Scholar] [CrossRef]
- Lin, C.Y.; Fan, K.H.; Lee, L.Y.; Hsueh, C.; Yang, L.Y.; Ng, S.H.; Wang, H.M.; Hsieh, C.H.; Lin, C.H.; Tsao, C.K.; et al. Precision Adjuvant Therapy Based on Detailed Pathologic Risk Factors for Resected Oral Cavity Squamous Cell Carcinoma: Long-Term Outcome Comparison of Cgmh and Nccn Guidelines. Int. J. Radiat. Oncol. Biol. Phys. 2020, 106, 916–925. [Google Scholar] [CrossRef] [PubMed]
- Harrell, F.E., Jr.; Lee, K.L.; Mark, D.B. Multivariable Prognostic Models: Issues in Developing Models, Evaluating Assumptions and Adequacy, and Measuring and Reducing Errors. Stat. Med. 1996, 15, 361–387. [Google Scholar] [CrossRef]
- Liao, Y.C.; Ying, H.Q.; Huang, Y.; Luo, Y.R.; Xiong, C.F.; Nie, R.W.; Li, X.J.; Cheng, X.X. Role of Chronic Inflammatory Ratios in Predicting Recurrence of Resected Patients with Stage I–III Mucinous Colorectal Adenocarcinoma. Cancer Manag. Res. 2021, 13, 3455–3464. [Google Scholar] [CrossRef]
- Wang, B.; Li, D.; Cheng, B.; Ying, B.; Gong, Y. The Neutrophil Percentage-to-Albumin Ratio Is Associated with All-Cause Mortality in Critically Ill Patients with Acute Kidney Injury. Biomed. Res. Int. 2020, 2020, 5687672. [Google Scholar] [CrossRef] [PubMed]
- Lopez, M.J.; Robinson, P.; Madden, T.; Highbarger, T. Nutritional Support and Prognosis in Patients with Head and Neck Cancer. J. Surg. Oncol. 1994, 55, 33–36. [Google Scholar] [CrossRef] [PubMed]
- Vasson, M.P.; Talvas, J.; Perche, O.; Dillies, A.F.; Bachmann, P.; Pezet, D.; Achim, A.C.; Pommier, P.; Racadot, S.; Weber, A.; et al. Immunonutrition Improves Functional Capacities in Head and Neck and Esophageal Cancer Patients Undergoing Radiochemotherapy: A Randomized Clinical Trial. Clin. Nutr. 2014, 33, 204–210. [Google Scholar] [CrossRef] [PubMed]
- Diakos, C.I.; Charles, K.A.; McMillan, D.C.; Clarke, S.J. Cancer-Related Inflammation and Treatment Effectiveness. Lancet Oncol. 2014, 15, e493–e503. [Google Scholar] [CrossRef]
- Taniguchi, K.; Karin, M. Nf-Kappab, Inflammation, Immunity and Cancer: Coming of Age. Nat. Rev. Immunol. 2018, 18, 309–324. [Google Scholar] [CrossRef]
- Singel, K.L.; Segal, B.H. Neutrophils in the Tumor Microenvironment: Trying to Heal the Wound That Cannot Heal. Immunol. Rev. 2016, 273, 329–343. [Google Scholar] [CrossRef]
- Trellakis, S.; Farjah, H.; Bruderek, K.; Dumitru, C.A.; Hoffmann, T.K.; Lang, S.; Brandau, S. Peripheral Blood Neutrophil Granulocytes from Patients with Head and Neck Squamous Cell Carcinoma Functionally Differ from Their Counterparts in Healthy Donors. Int. J. Immunopathol. Pharmacol. 2011, 24, 683–693. [Google Scholar] [CrossRef]
- Diao, P.; Wu, Y.; Ge, H.; Li, J.; Zhang, W.; Huang, R.; Wang, Y.; Cheng, J. Preoperative Circulating Platelet, Neutrophil, and Lymphocyte Counts Predict Survival in Oral Cancer. Oral Dis. 2019, 25, 1057–1066. [Google Scholar] [CrossRef] [PubMed]
- Mulasi, U.; Vock, D.M.; Kuchnia, A.J.; Jha, G.; Fujioka, N.; Rudrapatna, V.; Patel, M.R.; Teigen, L.; Earthman, C.P. Malnutrition Identified by the Academy of Nutrition and Dietetics and American Society for Parenteral and Enteral Nutrition Consensus Criteria and Other Bedside Tools Is Highly Prevalent in a Sample of Individuals Undergoing Treatment for Head and Neck Cancer. JPEN J. Parenter. Enter. Nutr. 2018, 42, 139–147. [Google Scholar]
- Gorenc, M.; Kozjek, N.R.; Strojan, P. Malnutrition and Cachexia in Patients with Head and Neck Cancer Treated with (Chemo)Radiotherapy. Rep. Pract. Oncol. Radiother. 2015, 20, 249–258. [Google Scholar] [CrossRef] [PubMed]
- Danan, D.; Shonka, D.C., Jr.; Selman, Y.; Chow, Z.; Smolkin, M.E.; Jameson, M.J. Prognostic Value of Albumin in Patients with Head and Neck Cancer. Laryngoscope 2016, 126, 1567–1571. [Google Scholar] [CrossRef]
- Leung, J.S.; Seto, A.; Li, G.K. Association between Preoperative Nutritional Status and Postoperative Outcome in Head and Neck Cancer Patients. Nutr. Cancer 2017, 69, 464–469. [Google Scholar] [CrossRef]
- Paccagnella, A.; Morassutti, I.; Rosti, G. Nutritional Intervention for Improving Treatment Tolerance in Cancer Patients. Curr. Opin. Oncol. 2011, 23, 322–330. [Google Scholar] [CrossRef]
- Lim, W.S.; Roh, J.L.; Kim, S.B.; Choi, S.H.; Nam, S.Y.; Kim, S.Y. Pretreatment Albumin Level Predicts Survival in Head and Neck Squamous Cell Carcinoma. Laryngoscope 2017, 127, E437–E442. [Google Scholar] [CrossRef]
- Goertzen, C.; Mahdi, H.; Laliberte, C.; Meirson, T.; Eymael, D.; Gil-Henn, H.; Magalhaes, M. Oral Inflammation Promotes Oral Squamous Cell Carcinoma Invasion. Oncotarget 2018, 9, 29047–29063. [Google Scholar] [CrossRef]
- Tang, D.; Tao, D.; Fang, Y.; Deng, C.; Xu, Q.; Zhou, J. Tnf-Alpha Promotes Invasion and Metastasis Via Nf-Kappa B Pathway in Oral Squamous Cell Carcinoma. Med. Sci. Monit. Basic Res. 2017, 23, 141–149. [Google Scholar] [CrossRef]
- Dupont, P.J.; Warrens, A.N. Fas Ligand Exerts Its Pro-Inflammatory Effects Via Neutrophil Recruitment but Not Activation. Immunology 2007, 120, 133–139. [Google Scholar] [CrossRef]
- Moeckelmann, N.; Ebrahimi, A.; Tou, Y.K.; Gupta, R.; Low, T.H.; Ashford, B.; Ch’ng, S.; Palme, C.E.; Clark, J.R. Prognostic Implications of the 8th Edition American Joint Committee on Cancer (Ajcc) Staging System in Oral Cavity Squamous Cell Carcinoma. Oral Oncol. 2018, 85, 82–86. [Google Scholar] [CrossRef] [PubMed]
- Ebrahimi, A.; Gil, Z.; Amit, M.; Yen, T.C.; Liao, C.T.; Chatturvedi, P.; Agarwal, J.; Kowalski, L.; Kreppel, M.; Cernea, C.; et al. Comparison of the American Joint Committee on Cancer N1 Versus N2a Nodal Categories for Predicting Survival and Recurrence in Patients with Oral Cancer: Time to Acknowledge an Arbitrary Distinction and Modify the System. Head Neck 2016, 38, 135–139. [Google Scholar] [CrossRef] [PubMed]
- Balachandran, V.P.; Gonen, M.; Smith, J.J.; DeMatteo, R.P. Nomograms in Oncology: More Than Meets the Eye. Lancet Oncol. 2015, 16, e173–e180. [Google Scholar] [CrossRef]




| Variable | Total | Number of Patients | p Value | |
|---|---|---|---|---|
| NPAR < 16.93 n = 306 | NPAR ≥ 16.93 n = 62 | |||
| Sex | 0.670 a | |||
| Men | 333 (90.5%) | 276 (90.2%) | 57 (91.9%) | |
| Women | 35 (9.5%) | 30 (9.8%) | 5 (8.1%) | |
| Age | 0.189 a | |||
| <65 | 253 (68.8%) | 206 (67.3%) | 47 (75.8%) | |
| ≥65 | 115 (31.2%) | 100 (32.7%) | 15 (24.2%) | |
| AJCC stage | 0.001 a | |||
| I–II | 137 (37.2%) | 126 (41.2%) | 11 (17.7%) | |
| III–IV | 231 (62.8%) | 180 (58.8%) | 51 (82.3%) | |
| T classification | <0.001 a | |||
| T1–T2 | 173 (47.1%) | 159 (52.0%) | 14 (22.6%) | |
| T3–T4 | 195 (52.9) | 147 (48.0%) | 48 (77.4%) | |
| N classification | 0.007 a | |||
| N0 | 244 (66.3%) | 212 (69.3%) | 32 (51.6%) | |
| N1–N3 | 124 (33.7%) | 94 (30.7%) | 30 (48.4%) | |
| Presence of PNI | 0.001 a | |||
| No | 278 (75.5%) | 241 (78.8%) | 37 (59.7%) | |
| Yes | 90 (24.5%) | 65 (21.2%) | 25 (40.3%) | |
| Presence of ENE | <0.001 a | |||
| No | 297 (80.9%) | 257 (84.0%) | 40 (64.5%) | |
| Yes | 70 (19.1%) | 48 (16.0%) | 22 (35.5%) | |
| Presence of LVI | <0.001 a | |||
| No | 345 (93.7%) | 294 (96.1%) | 51 (82.3%) | |
| Yes | 23 (6.3%) | 12 (3.9%) | 11 (17.7%) | |
| Cancer histologic grading | 0.024 a | |||
| W–D/M–D | 327 (88.9%) | 277 (90.5%) | 50 (80.6%) | |
| P–D | 41 (11.1%) | 29 (9.5%) | 12 (19.4%) | |
| Closest margin | 0.466 a | |||
| ≥5 mm | 269 (73.1%) | 226 (73.9%) | 43 (69.4%) | |
| <5 mm | 99 (26.9%) | 80 (26.1%) | 19 (30.6%) | |
| DOI ≥ 10 mm | <0.001 a | |||
| No | 198 (53.8%) | 185 (60.5%) | 13 (21.0%) | |
| Yes | 170 (46.2%) | 121 (39.5%) | 49 (79.0%) | |
| Tumor subsites | 0.016 a | |||
| Tongue | 142 (38.6%) | 116 (37.9%) | 26 (41.9%) | |
| Buccal mucosa | 120 (32.6%) | 93 (30.4%) | 27 (43.5%) | |
| Other | 106 (28.8%) | 97 (31.7%) | 9 (14.5%) | |
| Personal habits | 0.648 a | |||
| No exposure | 44 (11.9%) | 38 (12.4%) | 6 (9.7%) | |
| One exposure | 22 (5.9%) | 17 (5.6%) | 5 (8.1%) | |
| Two or all exposure | 302 (82.2%) | 251 (82.0%) | 51 (82.3%) | |
| Treatment modality | <0.001 a | |||
| Surgery only | 185 (50.3%) | 169 (55.2%) | 16 (25.8%) | |
| Surgery then RT | 48 (13.0%) | 43 (14.1%) | 5 (8.1%) | |
| Surgery then CRT | 135 (36.7%) | 94 (30.7%) | 41 (66.1%) | |
| CCI | 0.849 a | |||
| 0 | 198 (53.8%) | 163 (53.3%) | 35 (56.5%) | |
| 1 | 112 (30.4%) | 95 (31.0%) | 17 (27.4%) | |
| ≥2 | 58 (15.8%) | 48 (15.7%) | 10 (16.1%) | |
| Albumin (g/dL), median (IQR) | 4.48 (4.19–4.69) | 4.50 (4.27–4.70) | 4.13 (3.66–4.42) | <0.001 b |
| WBC (×103/μL), median (IQR) | 7.80 (6.20–9.70) | 7.20 (6.00–8.70) | 11.50 (10.40–12.95) | <0.001 b |
| Neutrophil (×103/μL), median (IQR) | 4.81 (3.59–6.34) | 4.38 (3.44–5.55) | 8.51 (7.70–9.83) | <0.001 b |
| Lymphocyte (×103/μL), median (IQR) | 2.05 (1.62–2.61) | 2.09 (1.66–2.63) | 1.97 (1.49–2.54) | 0.125 b |
| Survival in months, median (IQR) | 11.15 (8.22–14.49) | 49.00 (26.75–75.00) | 23.00 (10.00–48.75) | <0.001 b |
| Variables | 5-Year OS | Univariate Analysis | Multivariate Analysis | ||
|---|---|---|---|---|---|
| HR (95% CI) | p | HR (95% CI) | p | ||
| Sex | |||||
| Women | 73.4% | Reference | Reference | ||
| Men | 70.1% | 1.165 (0.587–2.312) | 0.662 | 0.720 (0.353–1.468) | 0.366 |
| Age (years) | |||||
| <65 | 70.0% | Reference | Reference | ||
| ≥65 | 71.3% | 1.028 (0.679–1.556) | 0.898 | 1.047 (0.669–1.638) | 0.840 |
| AJCC stage | |||||
| I | 91.7% | Reference | Reference | ||
| II | 84.2% | 1.584 (0.595–4.222) | 0.358 | 2.057 (0.760–5.568) | 0.156 |
| III | 82.9% | 1.798 (0.693–4.664) | 0.228 | 1.958 (0.729–5.258) | 0.183 |
| IV | 52.1% | 6.316 (3.039–13.125) | <0.001 | 4.913 (2.091–11.541) | <0.001 |
| Presence of PNI | |||||
| No | 76.7% | Reference | Reference | ||
| Yes | 51.1% | 2.669 (1.794–3.971) | <0.001 | 1.707 (1.099–2.650) | 0.017 |
| Presence of LVI | |||||
| No | 72.8% | Reference | Reference | ||
| Yes | 25.4% | 3.692 (2.050–6.649) | <0.001 | 1.713 (0.907–3.235) | 0.097 |
| Cancer histologic grading | |||||
| W–D/M–D | 74.0% | Reference | Reference | ||
| P–D | 43.0% | 2.992 (1.861–4.810) | <0.001 | 2.332 (1.372–3.964) | 0.002 |
| Treatment modality | |||||
| Surgery only | 82.6% | Reference | Reference | ||
| Surgery then RT | 76.1% | 1.609 (0.806–3.214) | 0.178 | 0.806 (0.379–1.715) | 0.576 |
| Surgery then CRT | 51.6% | 3.838 (2.473–5.957) | <0.001 | 1.089 (0.587–2.019) | 0.787 |
| Tumor location | |||||
| Tongue | 72.3% | Reference | |||
| Buccal mucosa | 69.3% | 1.137 (0.714–1.811) | 0.590 | ||
| Other sites | 69.6% | 1.102 (0.682–1.782) | 0.692 | ||
| Closest margin | |||||
| ≥5 mm | 72.5% | Reference | |||
| <5 mm | 65.1% | 1.377 (0.911–2.081) | 0.129 | ||
| Personal habits | |||||
| No exposure | 71.0% | Reference | |||
| One exposure | 55.9% | 1.746 (0.723–4.214) | 0.215 | ||
| Two or more exposure | 71.5% | 1.101 (0.587–2.068) | 0.764 | ||
| CCI | |||||
| 0 | 74.1% | Reference | Reference | ||
| 1 | 71.1% | 1.227 (0.775–1.941) | 0.383 | 1.262 (0.773–2.060) | 0.352 |
| ≥2 | 58.5% | 1.905 (1.170–3.100) | 0.010 | 2.239 (1.327–3.778) | 0.003 |
| NPAR | |||||
| <16.93 | 77.5% | Reference | Reference | ||
| ≥16.93 | 35.6% | 4.063 (2.693–6.129) | <0.001 | 2.697 (1.761–4.130) | <0.001 |
| Variables | 5-Year DFS | Univariate Analysis | Multivariate Analysis | ||
|---|---|---|---|---|---|
| HR (95% CI) | p | HR (95% CI) | p | ||
| Sex | |||||
| Women | 65.2% | Reference | Reference | ||
| Men | 53.7% | 1.196 (0.690–2.074) | 0.523 | 0.940 (0.533–1.659) | 0.831 |
| Age (years) | |||||
| <65 | 52.8% | Reference | Reference | ||
| ≥65 | 59.5% | 0.810 (0.574–1.144) | 0.233 | 0.869 (0.611–1.236) | 0.434 |
| AJCC stage | |||||
| I | 69.1% | Reference | Reference | ||
| II | 74.0% | 0.700 (0.361–1.357) | 0.291 | 0.778 (0.399–1.515) | 0.460 |
| III | 63.6% | 1.114 (0.618–2.005) | 0.720 | 1.323 (0.716–2.442) | 0.372 |
| IV | 39.4% | 2.396 (1.564–3.670) | <0.001 | 2.581 (1.504–4.428) | 0.001 |
| Presence of PNI | |||||
| No | 58.4% | Reference | Reference | ||
| Yes | 43.8% | 1.548 (1.098–2.182) | 0.013 | 1.095 (0.750–1.600) | 0.638 |
| Presence of LVI | |||||
| No | 56.2% | Reference | Reference | ||
| Yes | 25.4% | 1.976 (1.118–3.495) | 0.019 | 1.372 (0.753–2.499) | 0.302 |
| Cancer histologic grading | |||||
| W–D/M–D | 57.8% | Reference | Reference | ||
| P–D | 33.5% | 2.288 (1.508–3.470) | <0.001 | 2.030 (1.308–3.149) | 0.002 |
| Treatment modality | |||||
| Surgery only | 63.1% | Reference | Reference | ||
| Surgery then RT | 60.7% | 1.144 (0.679–1.927) | 0.614 | 0.646 (0.367–1.137) | 0.130 |
| Surgery then CRT | 41.5% | 2.035 (1.460–2.835) | <0.001 | 1.293 (0.743–1.276) | 0.340 |
| Tumor location | |||||
| Tongue | 60.4% | Reference | |||
| Buccal mucosa | 51.8% | 1.153 (0.789–1.686) | 0.461 | ||
| Other sites | 50.5% | 1.320 (0.904–1.929) | 0.151 | ||
| Closest margin | |||||
| ≥5 mm | 57.4% | Reference | |||
| <5 mm | 48.4% | 1.287 (0.922–1.797) | 0.138 | ||
| Personal habits | |||||
| No exposure | 7.5% | Reference | |||
| One exposure | 46.4% | 1.735 (0.787–3.822) | 0.172 | ||
| Two or more exposure | 53.8% | 1.540 (0.887–2.673) | 0.125 | ||
| CCI | |||||
| 0 | 53.7% | Reference | |||
| 1 | 60.1% | 0.849 (0.586–1.230) | 0.386 | ||
| ≥2 | 50.0% | 1.177 (0.777–1.782) | 0.442 | ||
| NPAR | |||||
| <16.93 | 59.7% | Reference | Reference | ||
| ≥16.93 | 31.1% | 2.215 (1.540–3.186) | <0.001 | 1.671 (1.142–2.444) | 0.008 |
Publisher’s Note: MDPI stays neutral with regard to jurisdictional claims in published maps and institutional affiliations. |
© 2022 by the authors. Licensee MDPI, Basel, Switzerland. This article is an open access article distributed under the terms and conditions of the Creative Commons Attribution (CC BY) license (https://creativecommons.org/licenses/by/4.0/).
Share and Cite
Ko, C.-A.; Fang, K.-H.; Tsai, M.-S.; Lee, Y.-C.; Lai, C.-H.; Hsu, C.-M.; Huang, E.I.; Chang, G.-H.; Tsai, Y.-T. Prognostic Value of Neutrophil Percentage-to-Albumin Ratio in Patients with Oral Cavity Cancer. Cancers 2022, 14, 4892. https://doi.org/10.3390/cancers14194892
Ko C-A, Fang K-H, Tsai M-S, Lee Y-C, Lai C-H, Hsu C-M, Huang EI, Chang G-H, Tsai Y-T. Prognostic Value of Neutrophil Percentage-to-Albumin Ratio in Patients with Oral Cavity Cancer. Cancers. 2022; 14(19):4892. https://doi.org/10.3390/cancers14194892
Chicago/Turabian StyleKo, Chien-An, Ku-Hao Fang, Ming-Shao Tsai, Yi-Chan Lee, Chia-Hsuan Lai, Cheng-Ming Hsu, Ethan I. Huang, Geng-He Chang, and Yao-Te Tsai. 2022. "Prognostic Value of Neutrophil Percentage-to-Albumin Ratio in Patients with Oral Cavity Cancer" Cancers 14, no. 19: 4892. https://doi.org/10.3390/cancers14194892
APA StyleKo, C.-A., Fang, K.-H., Tsai, M.-S., Lee, Y.-C., Lai, C.-H., Hsu, C.-M., Huang, E. I., Chang, G.-H., & Tsai, Y.-T. (2022). Prognostic Value of Neutrophil Percentage-to-Albumin Ratio in Patients with Oral Cavity Cancer. Cancers, 14(19), 4892. https://doi.org/10.3390/cancers14194892

