Immune Contexture of MMR-Proficient Primary Colorectal Cancer and Matched Liver and Lung Metastases
Abstract
Simple Summary
Abstract
1. Introduction
2. Results
2.1. Patient Demographics
2.2. Immune Contexture in Primary Colorectal Cancer and Matched Liver and Lung Metastases
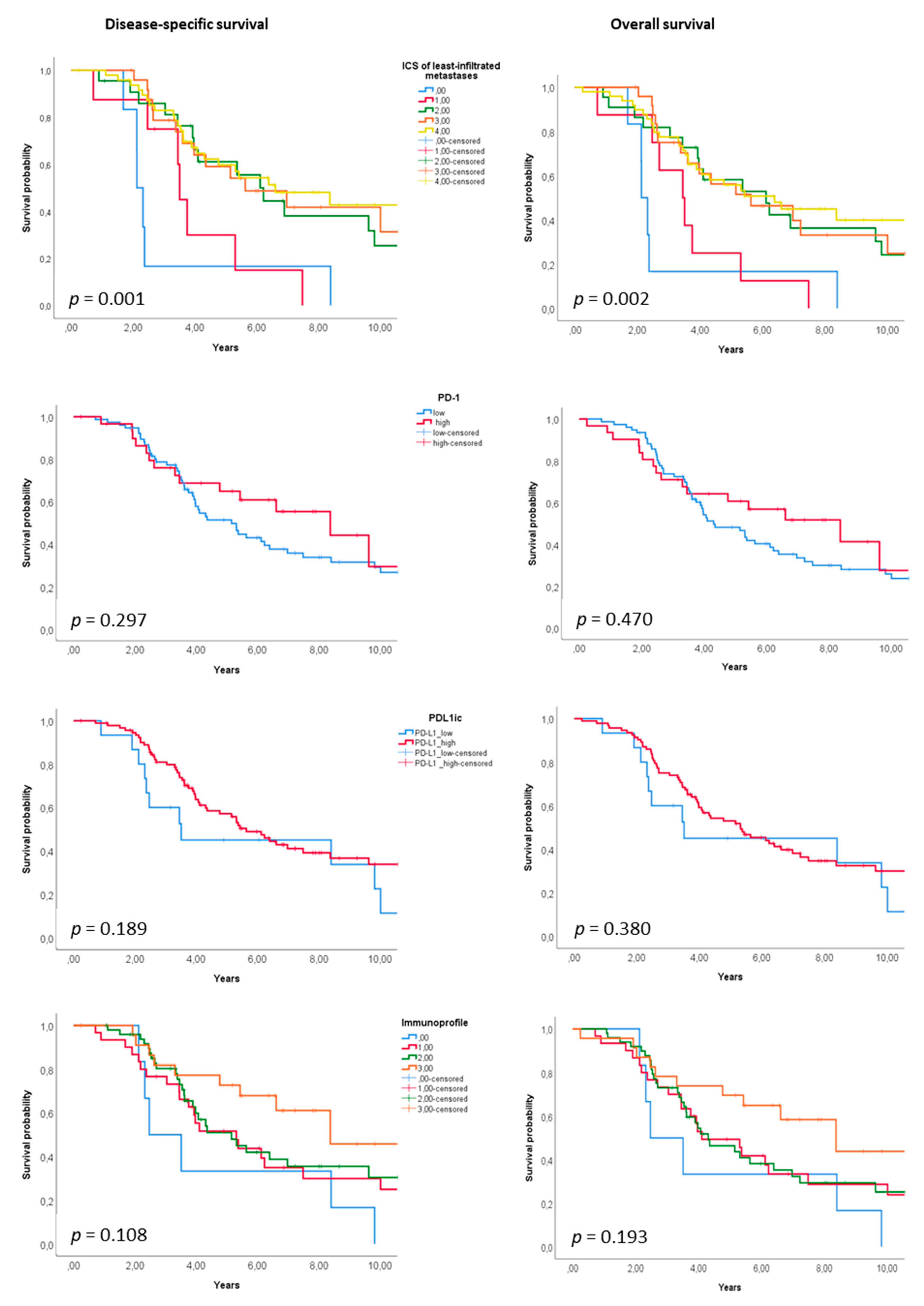
2.3. Prognostic Impact of Immune Contexture in Primary Tumours and Metastases
3. Discussion
4. Materials and Methods
4.1. Tumour Sampling
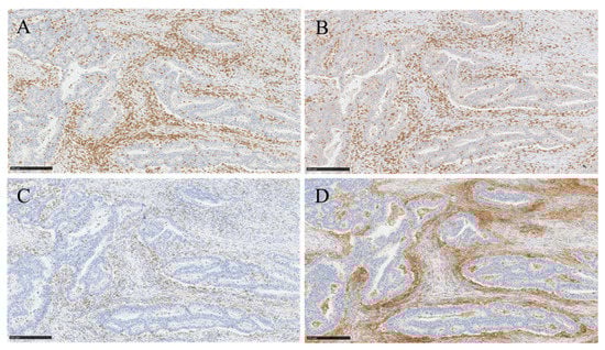
4.2. Immunohistochemical Analyses
4.3. Scoring
4.4. Statistical Analysis
4.5. Ethical Aspects
5. Conclusions
Supplementary Materials
Author Contributions
Funding
Institutional Review Board Statement
Informed Consent Statement
Acknowledgments
Conflicts of Interest
References
- Bray, F.; Ferlay, J.; Soerjomataram, I.; Siegel, R.L.; Torre, L.A.; Jemal, A. Global cancer statistics 2018: GLOBOCAN estimates of incidence and mortality worldwide for 36 cancers in 185 countries. CA Cancer J. Clin. 2018, 68, 394–424. [Google Scholar] [CrossRef]
- Kow, A.W.C. Hepatic metastasis from colorectal cancer. J. Gastrointest. Oncol. 2019, 10, 1274–1298. [Google Scholar] [CrossRef] [PubMed]
- Tsukamoto, S.; Kinugasa, Y.; Yamaguchi, T.; Shiomi, A. Survival after resection of liver and lung colorectal metastases in the era of modern multidisciplinary therapy. Int. J. Colorectal Dis. 2014, 29, 81–87. [Google Scholar] [CrossRef] [PubMed]
- Brouquet, A.; Vauthey, J.N.; Contreras, C.M.; Walsh, G.L.; Vaporciyan, A.A.; Swisher, S.G.; Curley, S.A.; Mehran, R.J.; Abdalla, E.K. Improved survival after resection of liver and lung colorectal metastases compared with liver-only metastases: A study of 112 patients with limited lung metastatic disease. J. Am. Coll. Surg. 2011, 213, 62–69. [Google Scholar] [CrossRef] [PubMed]
- van der Geest, L.G.M.; Lam-Boer, J.; Koopman, M.; Verhoef, C.; Elferink, M.A.G.; de Wilt, J.H.W. Nationwide trends in incidence, treatment and survival of colorectal cancer patients with synchronous metastases. Clin. Exp. Metastasis 2015, 32, 457–465. [Google Scholar] [CrossRef] [PubMed]
- Väyrynen, V.; Wirta, E.V.; Seppälä, T.; Sihvo, E.; Mecklin, J.P.; Vasala, K.; Kellokumpu, I. Incidence and management of patients with colorectal cancer and synchronous and metachronous colorectal metastases: A population-based study. BJS Open 2020, 4, 685–692. [Google Scholar] [CrossRef]
- van Gestel, Y.R.B.M.; de Hingh, I.H.J.T.; van Herk-Sukel, M.P.P.; van Erning, F.N.; Beerepoot, L.V.; Wijsman, J.H.; Slooter, G.D.; Rutten, H.J.T.; Creemers, G.J.M.; Lemmens, V.E.P.P. Patterns of metachronous metastases after curative treatment of colorectal cancer. Cancer Epidemiol. 2014, 38, 448–454. [Google Scholar] [CrossRef]
- Mitry, E.; Guiu, B.; Cosconea, S.; Jooste, V.; Faivre, J.; Bouvier, A.M. Epidemiology, management and prognosis of colorectal cancer with lung metastases: A 30-year population-based study. Gut 2010, 59, 1383–1388. [Google Scholar] [CrossRef] [PubMed]
- Weir, H.K.; Thun, M.J.; Hankey, B.F.; Ries, L.A.G.; Howe, H.L.; Wingo, P.A.; Jemal, A.; Ward, E.; Anderson, R.N.; Edwards, B.K. Annual report to the nation on the status of cancer, 1975–2000, featuring the uses of surveillance data for cancer prevention and control. J. Natl. Cancer Inst. 2003, 95, 1276–1299. [Google Scholar] [CrossRef]
- Siegel, R.L.; Miller, K.D.; Jemal, A. Cancer statistics, 2018. CA Cancer J. Clin. 2018, 68, 7–30. [Google Scholar] [CrossRef]
- Engstrand, J.; Nilsson, H.; Strömberg, C.; Jonas, E.; Freedman, J. Colorectal cancer liver metastases—A population-based study on incidence, management and survival. BMC Cancer 2018, 18, 78. [Google Scholar] [CrossRef] [PubMed]
- Hanahan, D.; Weinberg, R.A. Hallmarks of cancer: The next generation. Cell 2011, 144, 646–674. [Google Scholar] [CrossRef]
- Ostrand-Rosenberg, S. Immune surveillance: A balance between protumor and antitumor immunity. Curr. Opin. Genet. Dev. 2008, 18, 11–18. [Google Scholar] [CrossRef] [PubMed]
- Anitei, M.-G.; Zeitoun, G.; Mlecnik, B.; Marliot, F.; Haicheur, N.; Todosi, A.-M.; Kirilovsky, A.; Lagorce, C.; Bindea, G.; Ferariu, D.; et al. Prognostic and predictive values of the immunoscore in patients with rectal cancer. Clin. Cancer Res. 2014, 20, 1891–1899. [Google Scholar] [CrossRef] [PubMed]
- Kwak, Y.; Koh, J.; Kim, D.W.; Kang, S.B.; Kim, W.H.; Lee, H.S. Immunoscore encompassing CD3+ and CD8+ T cell densities in distant metastasis is a robust prognostic marker for advanced colorectal cancer. Oncotarget 2016, 7, 81778–81790. [Google Scholar] [CrossRef]
- Mlecnik, B.; Tosolini, M.; Kirilovsky, A.; Berger, A.; Bindea, G.; Meatchi, T.; Bruneval, P.; Trajanoski, Z.; Fridman, W.-H.; Pagès, F.; et al. Histopathologic-based prognostic factors of colorectal cancers are associated with the state of the local immune reaction. J. Clin. Oncol. 2011, 29, 610–618. [Google Scholar] [CrossRef]
- Pagès, F.; Kirilovsky, A.; Mlecnik, B.; Asslaber, M.; Tosolini, M.; Bindea, G.; Lagorce, C.; Wind, P.; Marliot, F.; Bruneval, P.; et al. In Situ Cytotoxic and Memory T Cells Predict Outcome in Patients with Early-Stage Colorectal Cancer. J. Clin. Oncol. 2009, 27, 5944–5951. [Google Scholar] [CrossRef]
- Wirta, E.-V.; Seppälä, T.; Friman, M.; Väyrynen, J.; Ahtiainen, M.; Kautiainen, H.; Kuopio, T.; Kellokumpu, I.; Mecklin, J.-P.; Böhm, J. Immunoscore in mismatch repair-proficient and -deficient colon cancer. J. Pathol. Clin. Res. 2017, 3, 203–213. [Google Scholar] [CrossRef]
- Halama, N.; Spille, A.; Lerchl, T.; Brand, K.; Herpel, E.; Welte, S.; Keim, S.; Lahrmann, B.; Klupp, F.; Kahlert, C.; et al. Hepatic metastases of colorectal cancer are rather homogeneous but differ from primary lesions in terms of immune cell infiltration. Oncoimmunology 2013, 2, e24116. [Google Scholar] [CrossRef]
- Van den Eynde, M.; Mlecnik, B.; Bindea, G.; Galon, J. Multiverse of immune microenvironment in metastatic colorectal cancer. Oncoimmunology 2020, 9, 1824316. [Google Scholar] [CrossRef]
- Milette, S.; Fiset, P.O.; Walsh, L.A.; Spicer, J.D.; Quail, D.F. The innate immune architecture of lung tumors and its implication in disease progression. J. Pathol. 2019, 247, 589–605. [Google Scholar] [CrossRef] [PubMed]
- Gao, B.; Jeong, W.I.; Tian, Z. Liver: An organ with predominant innate immunity. Hepatology 2008, 47, 729–736. [Google Scholar] [CrossRef] [PubMed]
- Hamanishi, J.; Mandai, M.; Matsumura, N.; Abiko, K.; Baba, T.; Konishi, I. PD-1/PD-L1 blockade in cancer treatment: Perspectives and issues. Int. J. Clin. Oncol. 2016, 21, 462–473. [Google Scholar] [CrossRef]
- Homet Moreno, B.; Ribas, A. Anti-programmed cell death protein-1/ligand-1 therapy in different cancers. Br. J. Cancer 2015, 112, 1421–1427. [Google Scholar] [CrossRef]
- Alvarado-Bachmann, R.; Smith, A.; Gundara, J.S.; Kuo, S.C.L.; Gill, A.J.; Samra, J.S.; Hugh, T.J. The incidence of mismatch repair gene defects in colorectal liver metastases. Mol. Med. Rep. 2014, 10, 1003–1006. [Google Scholar] [CrossRef][Green Version]
- Halama, N.; Michel, S.; Kloor, M.; Zoernig, I.; Benner, A.; Spille, A.; Pommerencke, T.; Von Knebel Doeberitz, M.; Folprecht, G.; Luber, B.; et al. Localization and density of immune cells in the invasive margin of human colorectal cancer liver metastases are prognostic for response to chemotherapy. Cancer Res. 2011, 71, 5670–5677. [Google Scholar] [CrossRef]
- Mlecnik, B.; Van Den Eynde, M.; Bindea, G.; Church, S.E.; Vasaturo, A.; Fredriksen, T.; Lafontaine, L.; Haicheur, N.; Marliot, F.; Debetancourt, D.; et al. Comprehensive intrametastatic immune quantification and major impact of immunoscore on survival. J. Natl. Cancer Inst. 2018, 110, 97–108. [Google Scholar] [CrossRef] [PubMed]
- Galon, J.; Costes, A.; Sanchez-Cabo, F.; Kirilovsky, A.; Mlecnik, B.; Lagorce-Pagès, C.; Tosolini, M.; Camus, M.; Berger, A.; Wind, P.; et al. Type, Density, and Location of Immune Cells Within Human Colorectal Tumors Predict Clinical Outcome. Science 2006, 313, 1960–1964. [Google Scholar] [CrossRef]
- Katz, S.C.; Bamboat, Z.M.; Maker, A.V.; Shia, J.; Pillarisetty, V.G.; Yopp, A.C.; Hedvat, C.V.; Gonen, M.; Jarnagin, W.R.; Fong, Y.; et al. Regulatory T cell infiltration predicts outcome following resection of colorectal cancer liver metastases. Ann. Surg. Oncol. 2013, 20, 946–955. [Google Scholar] [CrossRef] [PubMed]
- Van den Eynde, M.; Mlecnik, B.; Bindea, G.; Fredriksen, T.; Church, S.E.; Lafontaine, L.; Haicheur, N.; Marliot, F.; Angelova, M.; Vasaturo, A.; et al. The Link between the Multiverse of Immune Microenvironments in Metastases and the Survival of Colorectal Cancer Patients. Cancer Cell 2018, 34, 1012–1026.e3. [Google Scholar] [CrossRef]
- Ahtiainen, M.; Wirta, E.V.; Kuopio, T.; Seppälä, T.; Rantala, J.; Mecklin, J.P.; Böhm, J. Combined prognostic value of CD274 (PD-L1)/PDCDI (PD-1) expression and immune cell infiltration in colorectal cancer as per mismatch repair status. Mod. Pathol. 2019, 32, 866–883. [Google Scholar] [CrossRef] [PubMed]
- Wirta, E.V.; Szeto, S.; Hänninen, U.; Ahtiainen, M.; Böhm, J.; Mecklin, J.P.; Aaltonen, L.A.; Seppälä, T.T. Prognostic value of immune environment analysis in small bowel adenocarcinomas with verified mutational landscape and predisposing conditions. Cancers 2020, 12, 2018. [Google Scholar] [CrossRef]
- Keim, S.; Zoernig, I.; Spille, A.; Lahrmann, B.; Brand, K.; Herpel, E.; Grabe, N.; Jäger, D.; Halama, N. Sequential metastases of colorectal cancer immunophenotypes and spatial distributions of infiltrating immune cells in relation to time and treatments. Oncoimmunology 2012, 1, 593–599. [Google Scholar] [CrossRef] [PubMed][Green Version]
- Remark, R.; Alifano, M.; Cremer, I.; Lupo, A.; Dieu-Nosjean, M.C.; Riquet, M.; Crozet, L.; Ouakrim, H.; Goc, J.; Cazes, A.; et al. Characteristics and clinical impacts of the immune environments in colorectal and renal cell carcinoma lung metastases: Influence of tumor origin. Clin. Cancer Res. 2013, 19, 4079–4091. [Google Scholar] [CrossRef]
- Schweiger, T.; Berghoff, A.S.; Glogner, C.; Glueck, O.; Rajky, O.; Traxler, D.; Birner, P.; Preusser, M.; Klepetko, W.; Hoetzenecker, K. Tumor-infiltrating lymphocyte subsets and tertiary lymphoid structures in pulmonary metastases from colorectal cancer. Clin. Exp. Metastasis 2016, 33, 727–739. [Google Scholar] [CrossRef]
- Ottaiano, A.; Caraglia, M.; Di Mauro, A.; Botti, G.; Lombardi, A.; Galon, J.; Luce, A.; D’amore, L.; Perri, F.; Santorsola, M.; et al. Evolution of mutational landscape and tumor immune-microenvironment in liver oligo-metastatic colorectal cancer. Cancers 2020, 12, 3073. [Google Scholar] [CrossRef] [PubMed]
- Ottaiano, A.; Circelli, L.; Lombardi, A.; Scala, S.; Martucci, N.; Galon, J.; Buonanno, M.; Scognamiglio, G.; Botti, G.; Hermitte, F.; et al. Genetic trajectory and immune microenvironment of lung-specific oligometastatic colorectal cancer. Cell Death Dis. 2020, 11. [Google Scholar] [CrossRef]
- Le, D.T.; Uram, J.N.; Wang, H.; Bartlett, B.R.; Kemberling, H.; Eyring, A.D.; Skora, A.D.; Luber, B.S.; Azad, N.S.; Laheru, D.; et al. PD-1 Blockade in Tumors with Mismatch-Repair Deficiency. N. Engl. J. Med. 2015, 372, 2509–2520. [Google Scholar] [CrossRef]
- Le, D.T.; Durham, J.N.; Smith, K.N.; Wang, H.; Bartlett, B.R.; Aulakh, L.K.; Lu, S.; Kemberling, H.; Wilt, C.; Luber, B.S.; et al. Mismatch repair deficiency predicts response of solid tumors to PD-1 blockade. Science 2017, 357, 409–413. [Google Scholar] [CrossRef] [PubMed]
- Osipov, A.; Lim, S.J.; Popovic, A.; Azad, N.S.; Laheru, D.A.; Zheng, L.; Jaffee, E.M.; Wang, H.; Yarchoan, M. Tumor Mutational Burden, Toxicity, and Response of Immune Checkpoint Inhibitors Targeting PD(L)1, CTLA-4, and Combination: A Meta-regression Analysis. Clin. Cancer Res. 2020, 26, 4842–4851. [Google Scholar] [CrossRef]
- Yarchoan, M.; Albacker, L.A.; Hopkins, A.C.; Montesion, M.; Murugesan, K.; Vithayathil, T.T.; Zaidi, N.; Azad, N.S.; Laheru, D.A.; Frampton, G.M.; et al. PD-L1 expression and tumor mutational burden are independent biomarkers in most cancers. JCI Insight 2019, 4. [Google Scholar] [CrossRef] [PubMed]
- Taube, J.M.; Anders, R.A.; Young, G.D.; Xu, H.; Sharma, R.; McMiller, T.L.; Chen, S.; Klein, A.P.; Pardoll, D.M.; Topalian, S.L.; et al. Colocalization of inflammatory response with B7-h1 expression in human melanocytic lesions supports an adaptive resistance mechanism of immune escape. Sci. Transl. Med. 2012, 4, 127ra37. [Google Scholar] [CrossRef] [PubMed]
- Teng, M.W.L.; Ngiow, S.F.; Ribas, A.; Smyth, M.J. Classifying Cancers Based on T-cell Infiltration and PD-L1. Cancer Res. 2015, 75, 2139–2145. [Google Scholar] [CrossRef] [PubMed]
- Hamada, T.; Soong, T.R.; Masugi, Y.; Kosumi, K.; Nowak, J.A.; da Silva, A.; Mu, X.J.; Twombly, T.S.; Koh, H.; Yang, J.; et al. TIME (Tumor Immunity in the MicroEnvironment) classification based on tumor CD274 (PD-L1) expression status and tumor-infiltrating lymphocytes in colorectal carcinomas. Oncoimmunology 2018, 7. [Google Scholar] [CrossRef] [PubMed]
- Boland, C.R.; Goel, A. Microsatellite Instability in Colorectal Cancer. Gastroenterology 2010, 138. [Google Scholar] [CrossRef]
- Zhang, Y.; Rajput, A.; Jin, N.; Wang, J. Mechanisms of immunosuppression in colorectal cancer. Cancers 2020, 12, 3850. [Google Scholar] [CrossRef]
- Seppälä, T.T.; Böhm, J.P.; Friman, M.; Lahtinen, L.; Väyrynen, V.M.J.; Liipo, T.K.E.; Ristimäki, A.P.; Kairaluoma, M.V.J.; Kellokumpu, I.H.; Kuopio, T.H.I.; et al. Combination of microsatellite instability and BRAF mutation status for subtyping colorectal cancer. Br. J. Cancer 2015, 112, 1966–1975. [Google Scholar] [CrossRef]
- Bankhead, P.; Loughrey, M.B.; Fernández, J.A.; Dombrowski, Y.; McArt, D.G.; Dunne, P.D.; McQuaid, S.; Gray, R.T.; Murray, L.J.; Coleman, H.G.; et al. QuPath: Open source software for digital pathology image analysis. Sci. Rep. 2017, 7, 16878. [Google Scholar] [CrossRef]
- Hermitte, F. Biomarkers immune monitoring technology primer: Immunoscore® Colon. J. Immunother. cancer 2016, 4, 57. [Google Scholar] [CrossRef]
- Rubbia-Brandt, L.; Giostra, E.; Brezault, C.; Roth, A.D.; Andres, A.; Audard, V.; Sartoretti, P.; Dousset, B.; Majno, P.E.; Soubrane, O.; et al. Importance of histological tumor response assessment in predicting the outcome in patients with colorectal liver metastases treated with neo-adjuvant chemotherapy followed by liver surgery. Ann. Oncol. 2007, 18, 299–304. [Google Scholar] [CrossRef]






| Characteristics | Location of Metastases | ||
|---|---|---|---|
| Liver (% of Column) | Lung (% of Column) | Liver and Lung (% of Column) | |
| Total No of Patients | 72 | 23 | 18 |
| Age | |||
| <65 | 58 (81) | 15 (65) | 15 (83) |
| ≥65 | 14 (19) | 8 (35) | 3 (17) |
| Gender | |||
| Male | 43 (60) | 10 (44) | 10 (56) |
| Female | 29 (40) | 13 (56) | 8 (44) |
| Stage of disease | |||
| I | 3 (4) | 0 | 3 (17) |
| II | 16 (22) | 11 (48) | 3 (17) |
| III | 14 (19) | 12 (52) | 4 (22) |
| IV | 39 (54) | 0 | 8 (44) |
| Primary tumour grade | |||
| 1 | 7 (10) | 2 (9) | 9 (50) |
| 2 | 56 (79) | 16 (69) | 8 (44) |
| 3 | 8 (11) | 5 (22) | 1 (6) |
| Timing of metastases | |||
| Synchronous | 37 (51) | 0 | 8 (44) |
| Metachronous | 35 (49) | 23 | 10 (56) |
| Primary tumour location | |||
| Colon | 51 (71) | 11 (48) | 11 (61) |
| Rectum | 21 (29) | 12 (52) | 7 (39) |
| Metastases | |||
| Mean no./patient (min-max) | 2.1 (1–12) | 1.6 (1–4) | 3.4 (2–7) |
| Mean size (mm)/patient (min-max) | 34 (7–105) | 27 (7–90) | 37 (15–70) |
| Preoperative chemotherapy | |||
| No | 32 (44) | 21 (91) | 9 (50) |
| Yes | 40 (56) | 2 (9) | 9 (50) |
| Survival after metastasectomy | |||
| 3-year DSS | 43 (60) | 11 (48) | 13 (72) |
| 5-year DSS | 37 (51) | 7 (30) | 10 (56) |
| 3-year OS | 35 (49) | 9 (39) | 13 (72) |
| 5-year OS | 28 (39) | 5 (22) | 8 (44) |
| Total Number of Metastases | Liver Metastases (% of Column) | Lung Metastases (% of Column) | p-Value |
|---|---|---|---|
| 105 | 59 | ||
| Primary tumor location | |||
| colon | 73 (70) | 28 (55) | 0.005 |
| rectum | 32 (30) | 31 (45) | |
| Mean size (mm) | 34.5 | 31.4 | 0.148 |
| Timing of metastases | |||
| Synchronous | 56 (53) | 11 (19) | <0.001 |
| Metachronous | 49 (47) | 48 (81) | |
| Preoperative chemotherapy | |||
| No | 45 (43) | 44 (75) | <0.001 |
| Yes | 60 (57) | 15 (25) | |
| Tumour regression grade | |||
| 1–2 (MjHR) | 8 (13) | 1 (7) | |
| 3 (PHR) | 25 (42) | 3 (20) | 0.146 |
| 4–5 (NHR) | 27 (45) | 11 (73) | |
| TILs density * | |||
| CD3 TC | 504 ± 537 | 651 ± 535 | 0.334 |
| CD3 IM | 2098 ± 877 | 1596 ± 926 | 0.269 |
| CD8 TC | 219 ± 272 | 223 ± 248 | 0.232 |
| CD8 IM | 894 ± 483 | 438 ± 374 | 0.005 |
| PD-1 TC | 19 ± 34 | 41 ± 67 | 0.001 |
| PD-1 IM | 53 ± 62 | 79 ± 116 | 0.003 |
| Immune cell score | |||
| 0 | 18 (18) | 12 (22) | 0.230 |
| 1 | 13 (13) | 7 (13) | |
| 2 | 21 (21) | 19 (34) | |
| 3 | 13 (13) | 6 (11) | |
| 4 | 35 (35) | 11 (20) | |
| PD-L1 TC | |||
| neg | 102 (98) | 56 (95) | 0.261 |
| pos | 2 (2) | 3 (5) | |
| PD-L1 IC | |||
| neg | 49 (47) | 12 (20) | 0.001 |
| pos | 55 (53) | 47 (80) | |
| Characteristics | Univariable Analysis (DSS) | Univariable Analysis (OS) | Multivariable Analysis (DSS) | Multivariable Analysis (OS) | ||||
|---|---|---|---|---|---|---|---|---|
| HR (95% CI) | p-Value | HR (95% CI) | p-Value | HR (95% CI) | p-Value | HR (95% CI) | p-Value | |
| Age | ||||||||
| <65 | 1 | 0.503 | 1 | 0.234 | 1 | 0.294 | 1 | 0.088 |
| ≥65 | 1.18 (0.72–1.94) | 1.33 (0.83–2.12) | 1.38 (0.75–2.54) | 1.64 (0.93–2.88) | ||||
| Sex | ||||||||
| Male | 1 | 0.711 | 1 | 0.184 | 1 | 0.736 | 1 | 0.553 |
| Female | 0.91 (0.56–1.49) | 0.73 (0.46–1.16) | 0.90 (0.48–1.67) | 0.84 (0.47–1.49) | ||||
| Stage of primary disease | ||||||||
| I-II | 1 | 1 | 1 | 1 | ||||
| III | 1.31 (0.68–2.52) | 0.036 | 1.36 (0.74–2.52) | 0.018 | 0.96 (0.44–2.09) | 0.500 | 1.25 (0.60–2.59) | 0.045 |
| IV | 2.14 (1.17–3.91) | 2.24 (1.26–3.95) | 3.64 (0.37–35.7) | 9.44 (1.60–55.82) | ||||
| Primary tumour grade | ||||||||
| 1 | 1 | 0.103 | 1 | 0.109 | 1 | 0.035 | 1 | 0.132 |
| 2 | 1.62 (0.76–3.44) | 1.65 (0.82–3.35) | 1.68 (0.69–4.11) | 1.46 (0.65–3.30) | ||||
| 3 | 2.74 (1.08–6.97) | 2.59 (1.07–6.27) | 4.18 (1.36–12.80) | 2.86 (1.01–8.11) | ||||
| Onset of metastases | ||||||||
| Synchronous | 1.80 (1.09–2.97) | 0.023 | 1.74 (1.08–2.81) | 0.022 | 1.18 (0.13–10.77) | 0.883 | 2.91 (0.54–15.67) | 0.214 |
| Metachronous | 1 | 1 | 1 | 1 | ||||
| Primary tumour location | ||||||||
| Colon | 1 | 0.036 | 1 | 0.116 | 1 | 0.008 | 1 | 0.075 |
| Rectum | 1.69 (1.03–2.78) | 1.46 (0.91–2.33) | 2.19 (1.23–3.92) | 1.66 (0.95–2.88) | ||||
| Size of metastases (mm) | ||||||||
| <29 | 1 | 0.103 | 1 | 0.188 | 1 | 0.340 | 1 | 0.455 |
| ≥29 | 1.52 (0.92–2.50) | 1.37 (0.86–2.18) | 1.36 (0.73–2.53) | 1.25 (0.70–2.24) | ||||
| ICS of least-infiltrated metastases | ||||||||
| 0 | 5.00 (2.01–12.42) | 0.002 | 4.09 (1.67–9.99) | 0.005 | 9.14 (2.81–29.68) | <0.001 | 6.95 (2.30–21.00) | 0.001 |
| 1 | 2.90 (1.24–6.81) | 2.72 (1.23–6.01) | 5.23 (1.97–13.83) | 4.76 (1.96–11.60) | ||||
| 2 | 1.13 (0.58–2.19) | 0.97 (0.52–1.83) | 1.29 (0.57–2.88) | 1.34 (0.62–2.88) | ||||
| 3 | 1.20 (0.62–2.32) | 1.14 (0.62–2.11) | 1.17 (0.55–2.48) | 1.31 (0.66–2.60) | ||||
| 4 | 1 | 1 | 1 | |||||
| PD-L1 IC | ||||||||
| low | 1.55 (0.80–2.97) | 0.192 | 1.33 (0.70–2.55) | 0.382 | 1.60 (0.67–3.79) | 0.290 | 1.55 (0.68–3.50) | 0.298 |
| high | 1 | 1 | 1 | 1 | ||||
Publisher’s Note: MDPI stays neutral with regard to jurisdictional claims in published maps and institutional affiliations. |
© 2021 by the authors. Licensee MDPI, Basel, Switzerland. This article is an open access article distributed under the terms and conditions of the Creative Commons Attribution (CC BY) license (http://creativecommons.org/licenses/by/4.0/).
Share and Cite
Ahtiainen, M.; Elomaa, H.; Väyrynen, J.P.; Wirta, E.-V.; Kuopio, T.; Helminen, O.; Seppälä, T.T.; Kellokumpu, I.; Mecklin, J.-P. Immune Contexture of MMR-Proficient Primary Colorectal Cancer and Matched Liver and Lung Metastases. Cancers 2021, 13, 1530. https://doi.org/10.3390/cancers13071530
Ahtiainen M, Elomaa H, Väyrynen JP, Wirta E-V, Kuopio T, Helminen O, Seppälä TT, Kellokumpu I, Mecklin J-P. Immune Contexture of MMR-Proficient Primary Colorectal Cancer and Matched Liver and Lung Metastases. Cancers. 2021; 13(7):1530. https://doi.org/10.3390/cancers13071530
Chicago/Turabian StyleAhtiainen, Maarit, Hanna Elomaa, Juha P. Väyrynen, Erkki-Ville Wirta, Teijo Kuopio, Olli Helminen, Toni T. Seppälä, Ilmo Kellokumpu, and Jukka-Pekka Mecklin. 2021. "Immune Contexture of MMR-Proficient Primary Colorectal Cancer and Matched Liver and Lung Metastases" Cancers 13, no. 7: 1530. https://doi.org/10.3390/cancers13071530
APA StyleAhtiainen, M., Elomaa, H., Väyrynen, J. P., Wirta, E.-V., Kuopio, T., Helminen, O., Seppälä, T. T., Kellokumpu, I., & Mecklin, J.-P. (2021). Immune Contexture of MMR-Proficient Primary Colorectal Cancer and Matched Liver and Lung Metastases. Cancers, 13(7), 1530. https://doi.org/10.3390/cancers13071530

