Usefulness of FDG-PET/CT-Based Radiomics for the Characterization and Genetic Orientation of Pheochromocytomas Before Surgery
Simple Summary
Abstract
1. Introduction
2. Results
2.1. Patient and Tumors Characteristics
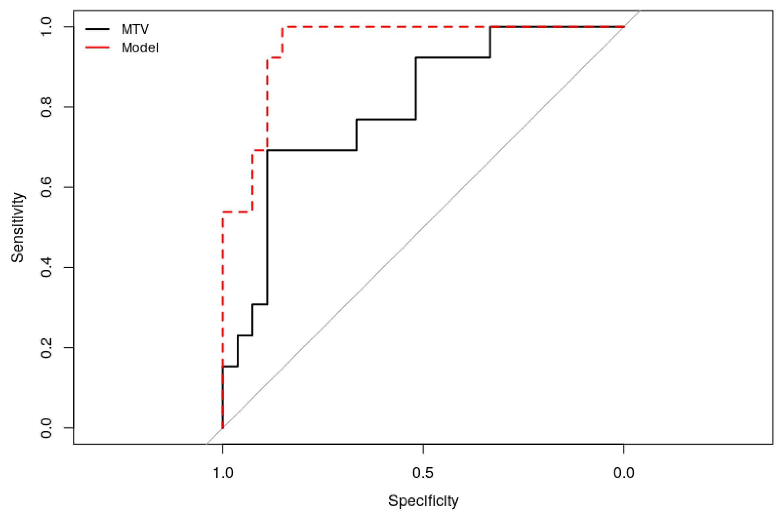
2.2. FDG-PET/ CT Analysis
3. Discussion
4. Materials and Methods
4.1. Patients
4.2. FDG-PET/CT Acquisition Protocols
4.3. FDG-PET/CT Analysis
4.4. Statistical Analysis
5. Conclusions
Author Contributions
Funding
Conflicts of Interest
Appendix A




References
- Lenders, J.; Duh, Q.; Eisenhofer, G.; Gimenez-Roqueplo, A.; Grebe, S.; Murad, M.; Naruse, M.; Pacak, K.; Young, W. Pheochromocytoma and paraganglioma: An endocrine society clinical practice guideline. J. Clin. Endocrinol. Metab. 2014, 99, 1915–1942. [Google Scholar] [CrossRef] [PubMed]
- Toledo, R.; Burnichon, N.; Cascon, A.; Benn, D.; Bayley, J.; Welander, J.; Tops, C.; Firth, H.; Dwight, T.; Ercolino, T.; et al. Consensus Statement on next-generation-sequencing-based diagnostic testing of hereditary phaeochromocytomas and paragangliomas. Nat. Rev. Endocrinol. 2017, 13, 233–247. [Google Scholar] [CrossRef] [PubMed]
- Van Berkel, A.; Pacak, K.; Lenders, J. Should every patient diagnosed with a phaeochromocytoma have a 123I-MIBG scintigraphy? Clin. Endocrinol. (Oxf.) 2014, 81, 329–333. [Google Scholar] [CrossRef] [PubMed]
- Taïeb, D.; Sebag, F.; Hubbard, J.; Mundler, O.; Henry, J.; Conte-Devolx, B. Does iodine-131 meta-iodobenzylguanidine (MIBG) scintigraphy have an impact on the management of sporadic and familial phaeochromocytoma? Clin. Endocrinol. (Oxf.) 2004, 61, 102–108. [Google Scholar] [CrossRef]
- Gimenez-Roqueplo, A.; Caumont-Prim, A.; Houzard, C.; Hignette, C.; Hernigou, A.; Halimi, P.; Niccoli, P.; Leboulleux, S.; Amar, L.; Borson-Chazot, F.; et al. Imaging work-up for screening of paraganglioma and pheochromocytoma in SDHx mutation carriers: A multicenter prospective study from the PGL.EVA Investigators. J. Clin. Endocrinol. Metab. 2013, 98, E162–E173. [Google Scholar] [CrossRef]
- Amodru, V.; Guerin, C.; Delcourt, S.; Romanet, P.; Loundou, A.; Viana, B.; Brue, T.; Castinetti, F.; Sebag, F.; Pacak, K.; et al. Quantitative 18F-DOPA PET/CT in pheochromocytoma: The relationship between tumor secretion and its biochemical phenotype. Eur. J. Nucl. Med. Mol. Imaging 2018, 45, 278–282. [Google Scholar] [CrossRef]
- Luster, M.; Karges, W.; Zeich, K.; Pauls, S.; Verburg, F.A.; Dralle, H.; Glatting, G.; Buck, A.; Solbach, C.; Neumaier, B.; et al. Clinical value of 18F-fluorodihydroxyphenylalanine positron emission tomography/computed tomography (18F-DOPA PET/CT) for detecting pheochromocytoma. Eur. J. Nucl. Med. Mol. Imaging 2010, 37, 484–493. [Google Scholar] [CrossRef]
- Moreau, A.; Giraudet, A.; Kryza, D.; Borson-Chazot, F.; Bournaud, C.; Mognetti, T.; Lifante, J.; Combemale, P.; Giammarile, F.; Houzard, C. Quantitative analysis of normal and pathologic adrenal glands with 18F-FDOPA PET/CT: Focus on pheochromocytomas. Nucl. Med. Commun. 2017, 38, 771–779. [Google Scholar] [CrossRef]
- Timmers, H.; Kozupa, A.; Chen, C.; Carrasquillo, J.; Ling, A.; Eisenhofer, G.; Adams, K.; Solis, D.; Lenders, J.; Pacak, K. Superiority of fluorodeoxyglucose positron emission tomography to other functional imaging techniques in the evaluation of metastatic SDHB-associated pheochromocytoma and paraganglioma. J. Clin. Oncol. 2007, 25, 2262–2269. [Google Scholar] [CrossRef]
- Taïeb, D.; Hicks, R.; Hindié, E.; Guillet, B.; Avram, A.; Ghedini, P.; Timmers, H.; Scott, A.; Elojeimy, S.; Rubello, D.; et al. European Association of Nuclear Medicine Practice Guideline/Society of Nuclear Medicine and Molecular Imaging Procedure Standard 2019 for radionuclide imaging of phaeochromocytoma and paraganglioma. Eur. J. Nucl. Med. Mol. Imaging 2019, 46, 2112–2137. [Google Scholar] [CrossRef]
- Tiwari, A.; Shah, N.; Sarathi, V.; Malhotra, G.; Bakshi, G.; Prakash, G.; Khadilkar, K.; Pandit, R.; Lila, A.; Bandgar, T. Genetic status determines 18 F-FDG uptake in pheochromocytoma/paraganglioma. J. Med. Imaging Radiat. Oncol. 2017, 61, 745–752. [Google Scholar] [CrossRef] [PubMed]
- Van Berkel, A.; Rao, J.; Kusters, B.; Demir, T.; Visser, E.; Mensenkamp, A.; van der Laak, J.; Oosterwijk, E.; Lenders, J.; Sweep, F.; et al. Correlation between in vivo 18F-FDG PET and immunohistochemical markers of glucose uptake and metabolism in pheochromocytoma and paraganglioma. J. Nucl. Med. 2014, 55, 1253–1259. [Google Scholar] [CrossRef] [PubMed]
- Timmers, H.; Chen, C.; Carrasquillo, J.; Whatley, M.; Ling, A.; Eisenhofer, G.; King, K.; Rao, J.; Wesley, R.; Adams, K.; et al. Staging and functional characterization of pheochromocytoma and paraganglioma by 18F-fluorodeoxyglucose (18F-FDG) positron emission tomography. J. Natl. Cancer Inst. 2012, 104, 700–708. [Google Scholar] [CrossRef] [PubMed]
- Taïeb, D.; Sebag, F.; Barlier, A.; Tessonnier, L.; Palazzo, F.; Morange, I.; Niccoli-Sire, P.; Fakhry, N.; De Micco, C.; Cammilleri, S.; et al. 18F-FDG avidity of pheochromocytomas and paragangliomas: A new molecular imaging signature? J. Nucl. Med. 2009, 50, 711–717. [Google Scholar] [CrossRef] [PubMed]
- Bozkurt, M.; Virgolini, I.; Balogova, S.; Beheshti, M.; Rubello, D.; Decristoforo, C.; Ambrosini, V.; Kjaer, A.; Delgado-Bolton, R.; Kunikowska, J.; et al. Guideline for PET/CT imaging of neuroendocrine neoplasms with 68Ga-DOTA-conjugated somatostatin receptor targeting peptides and 18F-DOPA. Eur. J. Nucl. Med. Mol. Imaging 2017, 44, 1588–1601. [Google Scholar] [CrossRef]
- Lambin, P.; Rios-Velazquez, E.; Leijenaar, R.; Carvalho, S.; van Stiphout, R.; Granton, P.; Zegers, C.; Gillies, R.; Boellard, R.; Dekker, A.; et al. Radiomics: Extracting more information from medical images using advanced feature analysis. Eur. J. Cancer 2012, 48, 441–446. [Google Scholar] [CrossRef]
- Hatt, M.; Tixier, F.; Pierce, L.; Kinahan, P.; Le Rest, C.; Visvikis, D. Characterization of PET/CT images using texture analysis: The past, the present… any future? Eur. J. Nucl. Med. Mol. Imaging 2017, 44, 151–165. [Google Scholar] [CrossRef]
- Zhang, G.; Shi, B.; Sun, H.; Jin, Z.; Xue, H. Differentiating pheochromocytoma from lipid-poor adrenocortical adenoma by CT texture analysis: Feasibility study. Abdom. Radiol. (N. Y.) 2017, 42, 2305–2313. [Google Scholar] [CrossRef]
- Nakajo, M.; Jinguji, M.; Nakajo, M.; Shinaji, T.; Nakabeppu, Y.; Fukukura, Y.; Yoshiura, T. Texture analysis of FDG PET/CT for differentiating between FDG-avid benign and metastatic adrenal tumors: Efficacy of combining SUV and texture parameters. Abdom. Radiol. (N. Y.) 2017, 42, 2882–2889. [Google Scholar] [CrossRef]
- Plouin, P.; Amar, L.; Dekkers, O.; Fassnacht, M.; Gimenez-Roqueplo, A.; Lenders, J.; Lussey-Lepoutre, C.; Steichen, O.; Amar, L.; Dekkers, O.; et al. European Society of Endocrinology Clinical Practice Guideline for long-term follow-up of patients operated on for a phaeochromocytoma or a paraganglioma. Eur. J. Endocrinol. 2016, 174, G1–G10. [Google Scholar] [CrossRef]
- Tessonnier, L.; Ansquer, C.; Bournaud, C.; Sebag, F.; Mirallié, E.; Lifante, J.; Palazzo, F.; Morange, I.; Drui, D.; de la Foucardère, C.; et al. (18)F-FDG uptake at initial staging of the adrenocortical cancers: A diagnostic tool but not of prognostic value. World J. Surg. 2013, 37, 107–112. [Google Scholar] [CrossRef] [PubMed]
- Favier, J.; Brière, J.; Burnichon, N.; Rivière, J.; Vescovo, L.; Benit, P.; Giscos-Douriez, I.; De Reyniès, A.; Bertherat, J.; Badoual, C.; et al. The Warburg effect is genetically determined in inherited pheochromocytomas. PLoS ONE 2009, 4, e7094. [Google Scholar] [CrossRef] [PubMed]
- Bailly, C.; Bodet-Milin, C.; Couespel, S.; Necib, H.; Kraeber-Bodéré, F.; Ansquer, C.; Carlier, T. Revisiting the Robustness of PET-Based Textural Features in the Context of Multi-Centric Trials. PLoS ONE 2016, 11, e0159984. [Google Scholar] [CrossRef]
- Desseroit, M.; Tixier, F.; Weber, W.; Siegel, B.; Cheze Le Rest, C.; Visvikis, D.; Hatt, M. Reliability of PET/CT Shape and Heterogeneity Features in Functional and Morphologic Components of Non-Small Cell Lung Cancer Tumors: A Repeatability Analysis in a Prospective Multicenter Cohort. J. Nucl. Med. 2017, 58, 406–411. [Google Scholar] [CrossRef] [PubMed]
- Van Velden, F.; Kramer, G.; Frings, V.; Nissen, I.; Mulder, E.; de Langen, A.; Hoekstra, O.; Smit, E.; Boellaard, R. Repeatability of Radiomic Features in Non-Small-Cell Lung Cancer [(18)F]FDG-PET/CT Studies: Impact of Reconstruction and Delineation. Mol. Imaging Biol. 2016, 18, 788–795. [Google Scholar] [CrossRef]
- Eisenhofer, G.; Klink, B.; Richter, S.; Lenders, J.; Robledo, M. Metabologenomics of phaeochromocytoma and paraganglioma: An integrated approach for personalised biochemical and genetic testing. Clin. Biochem. Rev. 2017, 38, 69–100. [Google Scholar]
- Mlika, M.; Kourda, N.; Zorgati, M.; Bahri, S.; Ben Ammar, S.; Zermani, R. Prognostic value of Pheochromocytoma of the Adrenal Gland Scaled Score (Pass score) tests to separate benign from malignant neoplasms. Tunis. Med. 2013, 91, 209–215. [Google Scholar]
- Ben Aim, L.; Pigny, P.; Castro-Vega, L.; Buffet, A.; Amar, L.; Bertherat, J.; Drui, D.; Guilhem, I.; Baudin, E.; Lussey-Lepoutre, C.; et al. Targeted next-generation sequencing detects rare genetic events in pheochromocytoma and paraganglioma. J. Med. Genet. 2019, 56, 513–520. [Google Scholar] [CrossRef]
- Blake, M.; Slattery, J.; Kalra, M.; Halpern, E.; Fischman, A.; Mueller, P.; Boland, G. Adrenal lesions: Characterization with fused PET/CT image in patients with proved or suspected malignancy–initial experience. Radiology 2006, 238, 970–977. [Google Scholar] [CrossRef]
- Ansquer, C.; Scigliano, S.; Mirallié, E.; Taïeb, D.; Brunaud, L.; Sebag, F.; Leux, C.; Drui, D.; Dupas, B.; Renaudin, K.; et al. 18F-FDG PET/CT in the characterization and surgical decision concerning adrenal masses: A prospective multicentre evaluation. Eur. J. Nucl. Med. Mol. Imaging 2010, 37, 1669–1678. [Google Scholar] [CrossRef]
- Warfield, S.; Zou, K.; Wells, W. Simultaneous truth and performance level estimation (STAPLE): An algorithm for the validation of image segmentation. IEEE Trans. Med. Imaging 2004, 23, 903–921. [Google Scholar] [CrossRef] [PubMed]
- Zwanenburg, A.; Vallières, M.; Abdalah, M.; Aerts, H.; Andrearczyk, V.; Apte, A.; Ashrafinia, S.; Bakas, S.; Beukinga, R.; Boellaard, R.; et al. The Image Biomarker Standardization Initiative: Standardized Quantitative Radiomics for High-Throughput Image-based Phenotyping. Radiology 2020, 295, 328–338. [Google Scholar] [CrossRef] [PubMed]





| Patients (n = 49) | Value [Range] |
|---|---|
| Sex ratio (F/M) | 27/22 |
| Median age (y) | 49 [13–79] |
| Symptomatic (yes/no) | 23/26 |
| Secretion (yes/no/unknown) | 44/2/3 |
| Metanephrine predominant (n) | 16 |
| Normetanephrine predominant (n) | 29 |
| Similar normeta/metanephrine | 1 |
| Metastatic (no/yes) | 47/2 |
| Genetic status (n = 49) | |
| Cluster-1-related genes (SDHB, SDHD, VHL, FH) | 4 |
| Cluster-2-related genes (RET, NF1) | 9 |
| Sporadic | 32 |
| Indeterminate | 4 |
| Pheochromocytomas (n = 52) | Value [Range] |
| Unique (n) | 46 |
| Bilateral (n) | 3 |
| Median size (mm) | 45 [17–300] |
| Median Ki-67 | 2 [1–30] |
| Median PASS score | 4 [0–18] |
| MIBG (positive/negative) | 39/13 |
| FDG (positive/negative) | 48/4 |
| Cluster-1-Related Genes | Cluster-2-Related Genes | Sporadic | p-Value | |
|---|---|---|---|---|
| Number of patients | 4 | 9 | 32 | |
| Age (y) | 36.5 | 43 | 49.5 | 0.38 |
| Sex ratio (F/M) | 2/2 | 4/5 | 17/15 | 0.98 |
| Predominant production of metanephrine | ||||
| (Patients without metanephrine excess | ||||
| were removed from analysis) | 0 (n = 2) | 6 (n = 8) | 9 (n = 32) | 0.02 |
| Number of PHEO | 4 | 12 | 32 | |
| Tumor size (mm) | 39.5 | 34.5 | 56.5 | 0.003 |
| PASS score | 1.5 | 4 | 4 | 0.34 |
| Ki67 | 2.5 | 1 | 2 (n = 28) | 0.06 |
© 2020 by the authors. Licensee MDPI, Basel, Switzerland. This article is an open access article distributed under the terms and conditions of the Creative Commons Attribution (CC BY) license (http://creativecommons.org/licenses/by/4.0/).
Share and Cite
Ansquer, C.; Drui, D.; Mirallié, E.; Renaudin-Autain, K.; Denis, A.; Gimenez-Roqueplo, A.-P.; Leux, C.; Toulgoat, F.; Kraeber-Bodéré, F.; Carlier, T. Usefulness of FDG-PET/CT-Based Radiomics for the Characterization and Genetic Orientation of Pheochromocytomas Before Surgery. Cancers 2020, 12, 2424. https://doi.org/10.3390/cancers12092424
Ansquer C, Drui D, Mirallié E, Renaudin-Autain K, Denis A, Gimenez-Roqueplo A-P, Leux C, Toulgoat F, Kraeber-Bodéré F, Carlier T. Usefulness of FDG-PET/CT-Based Radiomics for the Characterization and Genetic Orientation of Pheochromocytomas Before Surgery. Cancers. 2020; 12(9):2424. https://doi.org/10.3390/cancers12092424
Chicago/Turabian StyleAnsquer, Catherine, Delphine Drui, Eric Mirallié, Karine Renaudin-Autain, Antoine Denis, Anne-Paule Gimenez-Roqueplo, Christophe Leux, Frederique Toulgoat, Françoise Kraeber-Bodéré, and Thomas Carlier. 2020. "Usefulness of FDG-PET/CT-Based Radiomics for the Characterization and Genetic Orientation of Pheochromocytomas Before Surgery" Cancers 12, no. 9: 2424. https://doi.org/10.3390/cancers12092424
APA StyleAnsquer, C., Drui, D., Mirallié, E., Renaudin-Autain, K., Denis, A., Gimenez-Roqueplo, A.-P., Leux, C., Toulgoat, F., Kraeber-Bodéré, F., & Carlier, T. (2020). Usefulness of FDG-PET/CT-Based Radiomics for the Characterization and Genetic Orientation of Pheochromocytomas Before Surgery. Cancers, 12(9), 2424. https://doi.org/10.3390/cancers12092424

