Sign in to use this feature.

Years

Between: -

Subjects

remove_circle_outline
remove_circle_outline
remove_circle_outline
remove_circle_outline
remove_circle_outline
remove_circle_outline
remove_circle_outline

Journals

remove_circle_outline
remove_circle_outline
remove_circle_outline
remove_circle_outline
remove_circle_outline
remove_circle_outline
remove_circle_outline

Article Types

Countries / Regions

remove_circle_outline
remove_circle_outline
remove_circle_outline
remove_circle_outline

Search Results (324)

Search Parameters:
Keywords = pheochromocytoma

Order results
Result details
Results per page
Select all
Export citation of selected articles as:
26 pages, 1096 KB  
Review
Emerging Diagnostics and Therapies in Neuroendocrine Neoplasms: A Critical Review
by Jorge H. Hernandez-Felix, Monica Isabel Meneses-Medina, Rachel Riechelmann, Jonathan Strosberg, Rocio Garcia-Carbonero and Jaydira del Rivero
Cancers 2025, 17(22), 3632; https://doi.org/10.3390/cancers17223632 - 12 Nov 2025
Viewed by 203
Abstract
Neuroendocrine neoplasms (NENs) are biologically diverse tumors. This article is a critical review of recent evidence focusing on systemic therapies (through mid-2025). We summarize what is most practice-relevant and where gaps remain. In diagnosis, somatostatin-receptor PET/CT has largely replaced older scintigraphy, and adding [...] Read more.
Neuroendocrine neoplasms (NENs) are biologically diverse tumors. This article is a critical review of recent evidence focusing on systemic therapies (through mid-2025). We summarize what is most practice-relevant and where gaps remain. In diagnosis, somatostatin-receptor PET/CT has largely replaced older scintigraphy, and adding FDG PET can flag more aggressive disease. Blood-based tests and selected tissue markers (e.g., MGMT, DAXX/ATRX/ALT) show promise but require cautious interpretation in routine care. In treatment, radioligand therapy (PRRT) is used earlier in appropriate receptor-positive disease; cabozantinib improves progression-free survival after prior therapy; and belzutifan offers a biomarker-guided option for malignant pheochromocytoma/paraganglioma. Immunotherapy remains limited to defined subsets, including high-grade neoplasms. We appraise strengths and limitations of key trials, note issues of access and toxicity, and highlight active areas in development (SSTR antagonists, alpha emitters, and dose-guided PRRT). Our goal is to provide a concise, evidence-based map of the field to support informed clinical judgment and future research priorities. Full article
(This article belongs to the Collection Neuroendocrine Tumors: Treatment and Management)
Show Figures

Figure 1

11 pages, 3538 KB  
Case Report
Long-Term Survival in a Dog After Adrenalectomy and Splenectomy for Two Different Malignancies with Portal Vein Involvement
by Seung-Hyun Kim, Jun-Gyu Park, Jang-Han Yoon, Yeong-Bin Baek and Sang-Ik Park
Animals 2025, 15(21), 3159; https://doi.org/10.3390/ani15213159 - 30 Oct 2025
Viewed by 321
Abstract
Concurrent occurrence of two independent primary malignancies in a single dog is rare and presents diagnostic and surgical challenges. A 9-year-old neutered male Cocker Spaniel was diagnosed with adrenal pheochromocytoma and splenic diffuse large B-cell lymphoma. Abdominal imaging revealed two distinct masses. Surgical [...] Read more.
Concurrent occurrence of two independent primary malignancies in a single dog is rare and presents diagnostic and surgical challenges. A 9-year-old neutered male Cocker Spaniel was diagnosed with adrenal pheochromocytoma and splenic diffuse large B-cell lymphoma. Abdominal imaging revealed two distinct masses. Surgical management included adrenalectomy, splenectomy, mesenteric lymphadenectomy, and excision of a small mass adherent to the portal vein adventitia. Histopathology confirmed two separate malignancies, with chromogranin A positivity supporting pheochromocytoma and CD20 positivity confirming B-cell lymphoma. No additional metastatic lesions were identified, and the portal vein-associated mass was considered an isolated lesion closely adherent to the vessel wall, with its exact pathogenesis remaining uncertain. To the authors’ knowledge, this represents the first veterinary report describing adrenal pheochromocytoma with portal vein involvement successfully managed by surgical removal. The patient recovered well and remained disease-free for three years without adjuvant therapy. This case emphasizes that, even in technically demanding situations, meticulous surgical planning and comprehensive oncologic assessment can achieve durable remission and inform future approaches to complex veterinary cancers. Full article
(This article belongs to the Special Issue Advances in Small Animal Surgical Oncology)
Show Figures

Figure 1

21 pages, 16371 KB  
Article
The Caenorhabditis elegans sdhb-1(R244H) Model Shows Characteristics of Human PPGL Tumor Cells
by Fanni Ősz, Mahmood Akbar, Balázs Zoltán Zsidó, Csaba Hetényi, Tamás I. Orbán, Ábel Fóthi, Gábor M. Kovács, Alexandra Pintye, Attila Boda, Aamir Nazir, Zsolt Farkas and Krisztina Takács-Vellai
Int. J. Mol. Sci. 2025, 26(20), 10185; https://doi.org/10.3390/ijms262010185 - 20 Oct 2025
Viewed by 412
Abstract
Pheochromocytomas and paragangliomas (PPGL) are classified as rare cancers but can be highly metastatic, particularly in individuals with inherited succinate dehydrogenase B (SDHB) mutations. As current therapies and the availability of SDHB-deficient animal models are both limited, we have previously constructed a [...] Read more.
Pheochromocytomas and paragangliomas (PPGL) are classified as rare cancers but can be highly metastatic, particularly in individuals with inherited succinate dehydrogenase B (SDHB) mutations. As current therapies and the availability of SDHB-deficient animal models are both limited, we have previously constructed a nematode PPGL model, a transgenic worm carrying the R244H missense mutation equivalent to human R230H in the sdhb-1 gene. In this study, we show that R244H mutants display characteristics of PPGL tumors, such as pseudohypoxia activation and the accumulation of reactive oxygen species. The latter can be the result of compromised antioxidant machinery, as R244H mutants have reduced levels of cytosolic and mitochondrial superoxide dismutase enzymes. In addition, the expression of mitophagy markers pink-1 (PTEN-induced putative kinase) and pdr-1 (E3 ubiquitin-protein ligase parkin) were downregulated in R244H mutants, suggesting impaired mitophagy and reflecting the crucial role of mitochondrial health in PPGL pathology. Treatments by the SDH inhibitor fluopyram revealed that the SDH complex carrying the R244H mutation in subunit B displayed residual SDH activity, which was also confirmed by our structural analyses. We also observed a link between dopaminergic neuronal health and SDHB-1. Full article
(This article belongs to the Special Issue C. elegans as a Disease Model: Molecular Perspectives: 2nd Edition)
Show Figures

Figure 1

35 pages, 3196 KB  
Article
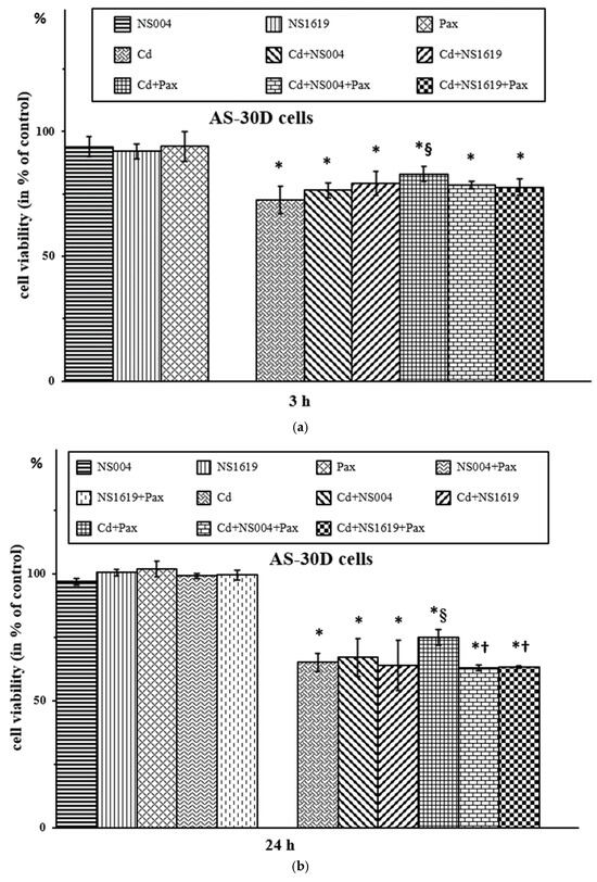
Application of Modulators of Ca2+-Activated Big-Conductance Potassium Channels Against Cd2+-Induced Cytotoxicity: A Study on Two Rat Cell Lines, PC12 and AS-30D
by Elena A. Belyaeva and Tatyana V. Sokolova
Int. J. Mol. Sci. 2025, 26(20), 10048; https://doi.org/10.3390/ijms262010048 - 15 Oct 2025
Viewed by 351
Abstract
As we found earlier, paxilline (a Penicillium paxilli mycotoxin and blocker of Ca2+-activated big-conductance potassium channels, BK(Ca)s) attenuated Cd2+-induced cytotoxic effects, whereas BK(Ca) activators (NS004, NS1619) and Cd2+ were able to induce apoptosis, which was enhanced when used [...] Read more.
As we found earlier, paxilline (a Penicillium paxilli mycotoxin and blocker of Ca2+-activated big-conductance potassium channels, BK(Ca)s) attenuated Cd2+-induced cytotoxic effects, whereas BK(Ca) activators (NS004, NS1619) and Cd2+ were able to induce apoptosis, which was enhanced when used together. In this work, molecular mechanisms underlying the aforementioned effects were studied using two rat cell lines, PC12 and AS-30D, flow cytometry, and spectrofluorometric and polarographic techniques. Both NS004 and NS1619 were found to have time- and dose-dependent effects on cell viability, respiration, mitochondrial membrane potential, and intracellular reactive oxygen species (ROS) production. In PC12 cells, BK(Ca) openers exerted an uncoupling effect after 3 h, increasing the resting respiration, while they partially inhibited the maximal respiration after 5 and 24 h; in addition, after 3 h, a transient protection by NS004/NS1619 against Cd2+-induced decrease of cell viability was observed. In both cell types, NS004/NS1619 increased ROS production after 3 h and counteracted the mitigating effect of paxilline against Cd2+-induced necrosis. In turn, paxilline reduced NS004/NS1619-induced apoptosis in AS-30D cells and ROS increase produced by NS004/NS1619 and/or Cd2+ in PC12 cells. As a result, the involvement of the mitochondrial respiratory chain, ROS, and, very likely, BK(Ca)s, in the mechanisms of the modulatory effects of the BK(Ca) blocker/opener(s) used in the absence and presence of Cd2+ was revealed. Full article
(This article belongs to the Special Issue Mechanisms of Heavy Metal Toxicity: 3rd Edition)
Show Figures

Figure 1

13 pages, 1803 KB  
Article
Effects of High Glucose Concentrations on PC12 Cells: Possible Implications on Neurodegeneration
by Claudia Cannas, Grazia Galleri, Laura Doro, Ilaria Campesi, Alessandra Tiziana Peana and Rossana Migheli
Curr. Issues Mol. Biol. 2025, 47(10), 801; https://doi.org/10.3390/cimb47100801 - 26 Sep 2025
Viewed by 523
Abstract
Hyperglycemia, which arises in type 1 or 2 diabetes, leads to different complications, such as macrovascular disease, nephropathy, retinopathy, and neuropathy. In addition, different cognitive variations are associated with type 1 diabetes. Long-term changes in glucose metabolism might induce effects on the central [...] Read more.
Hyperglycemia, which arises in type 1 or 2 diabetes, leads to different complications, such as macrovascular disease, nephropathy, retinopathy, and neuropathy. In addition, different cognitive variations are associated with type 1 diabetes. Long-term changes in glucose metabolism might induce effects on the central nervous system (CNS) such as reduced mental performance and loss of consciousness, which could be implicated in neurotoxicity. The direct impact of hyperglycemia and elevated glucose concentrations on neuronal cells remains to be fully elucidated, primarily due to the multifaceted mechanisms underlying glucose neurotoxicity, including apoptosis, oxidative stress, and alterations in signaling cascades. The multifaceted mechanisms further complicate the study of the relationship between diabetes and neurodegeneration. Research in this field is continually advancing, with the aim of investigating these eventual connections and developing more effective preventive and therapeutic strategies. The present study aims to assess the damage induced by different glucose concentrations (from 25 to 150 mM) in a neuronal model, such as PC12 cells, rat pheochromocytoma cells. In glucose-exposed PC12 cells, we have tested oxidative stress, apoptosis, and cell migration by (a) viability screening, (b) intracellular levels of anion superoxide (O2), (c) extracellular levels of MDA and nitrites, (d) apoptosis, and (e) the wound healing assay. By the cell viability assay, it has emerged that glucose (25–150 mM) showed a stronger effect at the highest concentrations (100 and 150 mM). The increase in MDA and O2 levels was determined in PC12 cells treated with high glucose concentrations (6.5–8.8 fold for MDA). High concentrations (100 and 150 mM) significantly reduced the expression of full-length caspase-3 (2.8-fold and 4.2-fold decrease at 24 and 72 h) and caspase-9 (3.4-fold and 2.8-fold decrease at 24 h and 5-fold decrease at 72 h) compared with control conditions. Finally, the wound healing assay showed different scenarios during the several time points. Indeed, the wound closure rate was reduced in a dose-dependent manner (24 h: control 18%, G 50 mM 9%, 100 and 150 mM 8%; 48 h: control 26%, G 50 mM 20%, G 100 mM 13%, 150 mM 11%), following the treatment with three concentrations considered (50, 100, 150 mM). The results obtained in these experimental conditions highlight that glucose, at high concentrations, induced cell damage and corroborate the hypothesis that it could be involved in neurodegenerative diseases. Full article
(This article belongs to the Section Biochemistry, Molecular and Cellular Biology)
Show Figures

Figure 1

14 pages, 1654 KB  
Article
Plasma-Free Metanephrine and Normetanephrine Quantification for Clinical Applications Validated by Combining Solid-Phase Extraction and HPLC-MS/MS
by Hyebin Choi, Jisook Yim, Jiwon Yun, Jong Kwon Lee, Keun Ju Kim, Minjeong Nam, Myung Hyun Nam, Yunjung Cho and Seung Gyu Yun
Molecules 2025, 30(19), 3847; https://doi.org/10.3390/molecules30193847 - 23 Sep 2025
Viewed by 1133
Abstract
Plasma-free metanephrines are the most sensitive and specific biochemical markers for diagnosing catecholamine-secreting tumors, such as pheochromocytoma and paraganglioma. In this study, we developed and validated a liquid chromatography–tandem mass spectrometry method for quantifying metanephrine and normetanephrine in human plasma, using solid-phase extraction [...] Read more.
Plasma-free metanephrines are the most sensitive and specific biochemical markers for diagnosing catecholamine-secreting tumors, such as pheochromocytoma and paraganglioma. In this study, we developed and validated a liquid chromatography–tandem mass spectrometry method for quantifying metanephrine and normetanephrine in human plasma, using solid-phase extraction with a weak cation-exchange mechanism. Validation was performed according to the FDA Bioanalytical Method Validation Guidance and CLSI guideline C62-A. The method showed excellent linearity over concentration ranges of 0.11–13.92 nmol/L for metanephrine and 0.14–26.43 nmol/L for normetanephrine, with correlation coefficients exceeding 0.999. The accuracy, precision, and lower limit of quantification met the acceptance criteria of the study. Matrix effect evaluation revealed a process efficiency of 121% for metanephrine at the lowest concentration, slightly exceeding the acceptable range of 100 ± 15%. This was likely because of matrix-induced ion enhancement or variability in extraction efficiency. However, all other tested concentrations were within the acceptable limits. Overall, this method demonstrated high sensitivity, specificity, and reproducibility, making it suitable for routine clinical applications. Minor deviations at low concentrations do not compromise reliability; however, future optimizations, such as matrix-matched calibration, may further improve performance. Full article
(This article belongs to the Special Issue Recent Developments in Chromatographic Applications in Medicine)
Show Figures

Figure 1

14 pages, 2244 KB  
Article
High-Sensitivity MXene-Functionalized Photonic Crystal Fiber Surface Plasmon Resonance Sensor with Dual Rectangular Grooves for Cancer Detection
by Min Lu, Yan He, Shuyu Xi, Pufan Zhong, Yu Zhang, He Tian, Yongmei Wang, Hanglin Lu, Junhui Hu and Jian Tang
Sensors 2025, 25(18), 5705; https://doi.org/10.3390/s25185705 - 12 Sep 2025
Viewed by 755
Abstract
Early detection of cancer remains a key challenge because current SPR-PCF sensors lack both sensitivity and robust light–analyte interaction. To overcome these limitations, this study proposed and validated an SPR biosensor utilizing MXene-functionalized PCF. By introducing a composite structure of MXene nanomaterials and [...] Read more.
Early detection of cancer remains a key challenge because current SPR-PCF sensors lack both sensitivity and robust light–analyte interaction. To overcome these limitations, this study proposed and validated an SPR biosensor utilizing MXene-functionalized PCF. By introducing a composite structure of MXene nanomaterials and Au, the detection performance of the sensor was significantly improved. The sensor adopts a circular air hole arrangement and double-groove morphology design and leverages MXene’s high conductivity and gold’s chemical stability to simultaneously enhance plasmonic coupling and biocompatibility. Through FEM-based structural optimization of the air hole diameter, Au layer thickness, and groove shape, the sensor exhibited outstanding refractive-index detection performance with a wavelength sensitivity of 11,072 nm/RIU, an impressive quality factor reaching 201.3 RIU−1, and a resolution as fine as 9.03 × 10−6 RIU. The simulation results demonstrated the capability of the sensor to discriminate six distinct cancer-cell types (cervical cancer HeLa, leukemia Jurkat, pheochromocytoma PC-12, triple-negative breast cancer MDA-MB-231, and breast cancer MCF-7) with high sensitivity and verify its ability to detect pan-cancer species. This study demonstrates an innovative approach for constructing a high-performance SPR sensing platform that has important application potential in the context of the early detection of multiple cancers. Full article
(This article belongs to the Special Issue Recent Advances in Micro- and Nanofiber-Optic Sensors)
Show Figures

Figure 1

11 pages, 987 KB  
Case Report
Acute Myocarditis Following Zoledronic Acid Infusion: Cardiac MRI Diagnosis of a Rare Cardiotoxic Event with Contextual Literature Review
by Ismaell Massalha, Reem Zabit, Aryeh Shalev and Gal Ben-Arie
Diagnostics 2025, 15(16), 2064; https://doi.org/10.3390/diagnostics15162064 - 18 Aug 2025
Viewed by 807
Abstract
Background and Clinical Significance: Zoledronic acid (ZA) is a widely used bisphosphonate for the prevention of skeletal-related events in patients with metastatic bone disease. While it is generally well tolerated, rare immune-mediated complications may be underrecognized. To date, myocarditis has not been reported [...] Read more.
Background and Clinical Significance: Zoledronic acid (ZA) is a widely used bisphosphonate for the prevention of skeletal-related events in patients with metastatic bone disease. While it is generally well tolerated, rare immune-mediated complications may be underrecognized. To date, myocarditis has not been reported in association with ZA. Case Presentation: A 35-year-old woman with metastatic pheochromocytoma developed acute, non-exertional chest pain approximately 36 h after receiving her first intravenous ZA infusion. Laboratory testing revealed elevated high-sensitivity troponin T, peaking at 1182 ng/L. Cardiac magnetic resonance imaging (CMR) demonstrated myocardial edema and subepicardial late gadolinium enhancement, consistent with acute myocarditis per the 2018 revised Lake Louise criteria. An extensive diagnostic workup excluded infectious, autoimmune, and ischemic causes. Symptoms and troponin levels improved following ZA discontinuation and supportive care. In the absence of alternative etiologies, and given the close temporal association with ZA administration, the diagnosis of presumed ZA-associated myocarditis was supported by clinical presentation, biochemical markers, and CMR findings, recognizing that histopathological confirmation is rarely pursued in clinically stable patients. Conclusions: To our knowledge, this is the first reported case of presumed zoledronic acid–associated myocarditis confirmed by cardiac MRI. This report highlights the diagnostic utility of CMR in suspected drug-related cardiac inflammation and the importance of considering myocarditis in patients presenting with unexplained chest pain following ZA infusion, particularly when other causes have been excluded. Full article
(This article belongs to the Section Clinical Diagnosis and Prognosis)
Show Figures

Figure 1

16 pages, 2369 KB  
Article
HMGB1 Deficiency Occurs in a Broad Range of Human Cancers and Is Often Associated with Unfavorable Tumor Phenotype
by Viktoria Chirico, Hena Sharifi, Maria Christina Tsourlakis, Seyma Büyücek, Clara Marie von Bargen, Katharina Möller, Florian Lutz, David Dum, Martina Kluth, Claudia Hube-Magg, Georgia Makrypidi-Fraune, Piero Caneve, Maximilian Lennartz, Morton Freytag, Sebastian Dwertmann Rico, Simon Kind, Viktor Reiswich, Eike Burandt, Till S. Clauditz, Patrick Lebok, Christoph Fraune, Till Krech, Sarah Minner, Andreas H. Marx, Waldemar Wilczak, Ronald Simon, Guido Sauter, Stefan Steurer and Kristina Jansenadd Show full author list remove Hide full author list
Diagnostics 2025, 15(15), 1974; https://doi.org/10.3390/diagnostics15151974 - 6 Aug 2025
Cited by 1 | Viewed by 772
Abstract
Background/Objectives: Aberrant expression of high-mobility group protein B1 (HMGB1) has been linked to cancer development and progression. Methods: To better comprehend the role of HMGB1 expression in cancer, a tissue microarray containing 14,966 samples from 134 different tumor entities and 608 [...] Read more.
Background/Objectives: Aberrant expression of high-mobility group protein B1 (HMGB1) has been linked to cancer development and progression. Methods: To better comprehend the role of HMGB1 expression in cancer, a tissue microarray containing 14,966 samples from 134 different tumor entities and 608 samples of 76 different normal tissue types was analyzed by immunohistochemistry. Results: Strong HMGB1 staining occurred in almost all normal cell types and in most cancers. Of 11,808 evaluable cancers, only 7.8% showed complete absence of HMGB1 staining (HMGB1 deficiency) while 9.9% showed 1+, 25.0% showed 2+, and 57.2% showed 3+ HMGB1 positivity. Absence of HMGB1 staining mostly occurred in pheochromocytoma (90.0%), seminoma (72.4%), gastrointestinal stromal tumor (28.6%), adrenal cortical carcinoma (25.0%), and Hodgkin’s lymphoma (25.0%). Low HMGB1 staining was linked to poor histologic grade (p < 0.0001), advanced pT stage (p < 0.0001), high UICC stage (p < 0.0001), and distant metastasis (p = 0.0413) in clear cell renal cell carcinoma, invasive tumor growth in urothelial carcinoma (pTa vs. pT2–4, p < 0.0001), mismatch repair deficiency (p = 0.0167) in colorectal cancers, and advanced pT stage in invasive breast carcinoma of no special type (p = 0.0038). Strong HMGB1 staining was linked to nodal metastases in high-grade serous ovarian carcinomas (p = 0.0213) and colorectal adenocarcinomas (p = 0.0137), as well as to poor histological grade in squamous cell carcinomas (p = 0.0010). Conclusions: HMGB1 deficiency and reduced HMGB1 expression occur in a broad range of different tumor entities. Low rather than strong HMGB1 staining is often linked to an aggressive tumor phenotype. Whether HMGB1 deficiency renders cells susceptible to specific drugs remains to be determined. Full article
(This article belongs to the Section Pathology and Molecular Diagnostics)
Show Figures

Figure 1

20 pages, 763 KB  
Review
Therapeutic Potential of Calcium Channel Blockers in Neuropsychiatric, Endocrine and Pain Disorders
by Aarish Manzar, Aleksandar Sic, Crystal Banh and Nebojsa Nick Knezevic
Cells 2025, 14(14), 1114; https://doi.org/10.3390/cells14141114 - 20 Jul 2025
Viewed by 4093
Abstract
Calcium channel blockers (CCBs), originally developed for cardiovascular indications, have gained attention for their therapeutic potential in neuropsychiatric, endocrine, and pain-related disorders. In neuropsychiatry, nimodipine and isradipine, both L-type CCBs, show mood-stabilizing and neuroprotective effects, with possible benefits in depression, bipolar disorder, and [...] Read more.
Calcium channel blockers (CCBs), originally developed for cardiovascular indications, have gained attention for their therapeutic potential in neuropsychiatric, endocrine, and pain-related disorders. In neuropsychiatry, nimodipine and isradipine, both L-type CCBs, show mood-stabilizing and neuroprotective effects, with possible benefits in depression, bipolar disorder, and schizophrenia. In endocrinology, verapamil, a non-dihydropyridine L-type blocker, has been associated with the preservation of pancreatic β-cell function and reduced insulin dependence in diabetes. CCBs may also aid in managing primary aldosteronism and pheochromocytoma, particularly in patients with calcium signaling mutations. In pain medicine, α2δ ligands and selective blockers of N-type and T-type channels demonstrate efficacy in neuropathic and inflammatory pain. However, their broader use is limited by challenges in central nervous system (CNS) penetration, off-target effects, and heterogeneous trial outcomes. Future research should focus on pharmacogenetic stratification, novel delivery platforms, and combination strategies to optimize repurposing of CCBs across disciplines. Full article
Show Figures

Graphical abstract

12 pages, 1025 KB  
Article
Inhibitory Effects of Vandetanib on Catecholamine Synthesis in Rat Pheochromocytoma PC12 Cells
by Yoshihiko Itoh, Kenichi Inagaki, Tomohiro Terasaka, Eisaku Morimoto, Takahiro Ishii, Kimitomo Yamaoka, Satoshi Fujisawa and Jun Wada
Int. J. Mol. Sci. 2025, 26(14), 6927; https://doi.org/10.3390/ijms26146927 - 18 Jul 2025
Viewed by 819
Abstract
Gain-of-function gene alterations in rearranged during transfection (RET), a receptor tyrosine kinase, are observed in both sporadic and hereditary medullary thyroid cancers (MTCs) and pheochromocytomas and paragangliomas (PPGLs). Several tyrosine kinase inhibitors (TKIs) that target RET have been proven to be effective on [...] Read more.
Gain-of-function gene alterations in rearranged during transfection (RET), a receptor tyrosine kinase, are observed in both sporadic and hereditary medullary thyroid cancers (MTCs) and pheochromocytomas and paragangliomas (PPGLs). Several tyrosine kinase inhibitors (TKIs) that target RET have been proven to be effective on MTCs and PCCs. Recently, TKIs, namely, sunitinib and selpercatinib, which were clinically used to target PPGLs, have been reported to decrease catecholamine levels without reducing tumor size. Our clinical case of metastatic medullary thyroid cancer, which is associated with RET mutations undergoing treatment with vandetanib, also suggests that vandetanib can decrease catecholamine levels. Therefore, we investigated the effect of vandetanib, a representative multi-targeted TKI for RET-related MTC, on cell proliferation and catecholamine synthesis in rat pheochromocytoma PC12 cells. Vandetanib reduced viable cells in a concentration-dependent manner. The dopamine and noradrenaline levels of the cell lysate were reduced in a concentration-dependent manner. They also decreased more prominently at lower concentrations of vandetanib compared to the inhibition of cell proliferation. The RNA knockdown study of Ret revealed that this inhibitory effect on catecholamine synthesis is mainly mediated by the suppression of RET signaling. Next, we focused on two signaling pathways downstream of RET, namely, ERK and AKT signaling. Treatment with vandetanib reduced both ERK and AKT phosphorylation in PC12 cells. Moreover, both an MEK inhibitor U0126 and a PI3K/AKT inhibitor LY294002 suppressed catecholamine synthesis without decreasing viable cells. This study in rat pheochromocytoma PC12 cells reveals the direct inhibitory effects of vandetanib on catecholamine synthesis via the suppression of RET-ERK and RET-AKT signaling. Full article
(This article belongs to the Section Molecular Endocrinology and Metabolism)
Show Figures

Figure 1

18 pages, 533 KB  
Article
Prediction of Metastasis in Paragangliomas and Pheochromocytomas Using Machine Learning Models: Explainability Challenges
by Carmen García-Barceló, David Gil, David Tomás and David Bernabeu
Sensors 2025, 25(13), 4184; https://doi.org/10.3390/s25134184 - 4 Jul 2025
Viewed by 704
Abstract
One of the main issues with paragangliomas and pheochromocytomas is that these tumors have up to a 20% rate of metastatic disease, which cannot be reliably predicted. While machine learning models hold great promise for enhancing predictive accuracy, their often opaque nature limits [...] Read more.
One of the main issues with paragangliomas and pheochromocytomas is that these tumors have up to a 20% rate of metastatic disease, which cannot be reliably predicted. While machine learning models hold great promise for enhancing predictive accuracy, their often opaque nature limits trust and adoption in critical fields such as healthcare. Understanding the factors driving predictions is essential not only for validating their reliability but also for enabling their integration into clinical decision-making. In this paper, we propose an architecture that combines data mining, machine learning, and explainability techniques to improve predictions of metastatic disease in these types of cancer and enhance trust in the models. A wide variety of algorithms have been applied for the development of predictive models, with a focus on interpreting their outputs to support clinical insights. Our methodology involves a comprehensive preprocessing phase to prepare the data, followed by the application of classification algorithms. Explainability techniques were integrated to provide insights into the key factors driving predictions. Additionally, a feature selection process was performed to identify the most influential variables and explore how their inclusion affects model performance. The best-performing algorithm, Random Forest, achieved an accuracy of 96.3%, precision of 96.5%, and AUC of 0.963, among other metrics, combining strong predictive capability with explainability that fosters trust in clinical applications. Full article
(This article belongs to the Section Biomedical Sensors)
Show Figures

Figure 1

23 pages, 2905 KB  
Article
Advancing the Landscape of Clinical Actionability in Von Hippel–Lindau Syndrome: An Evidence-Based Framework from the INT2GRATE Oncology Consortium
by Diane R. Koeller, McKenzie Walker, Busra Unal, Anu Chittenden, Alison Schwartz Levine, Connor P. Hayes, Paul C. Oramasionwu, Monica D. Manam, Ryan M. Buehler, Israel Gomy, Wilson Araujo Silva, Jordan Lerner-Ellis, Selina Casalino, Radhika Mahajan, Nicholas Watkins, Nihat Bugra Agaoglu, Danielle K. Manning, Justine A. Barletta, Jason L. Hornick, Neal I. Lindeman, Lynette M. Sholl, Huma Q. Rana, Judy E. Garber and Arezou A. Ghazaniadd Show full author list remove Hide full author list
Cancers 2025, 17(13), 2173; https://doi.org/10.3390/cancers17132173 - 27 Jun 2025
Viewed by 749
Abstract
Background/Objectives: An accurate evaluation of variant actionability is essential in cancer management. In Von Hippel–Lindau Syndrome (VHL), the interpretation of the germline variants is confounded by the presence of non-syndromic component tumors, such as clear cell renal cell carcinoma (ccRCC), hemangioblastoma, pheochromocytoma, and [...] Read more.
Background/Objectives: An accurate evaluation of variant actionability is essential in cancer management. In Von Hippel–Lindau Syndrome (VHL), the interpretation of the germline variants is confounded by the presence of non-syndromic component tumors, such as clear cell renal cell carcinoma (ccRCC), hemangioblastoma, pheochromocytoma, and neuroendocrine tumors. These tumors frequently occur sporadically, without any association with VHL syndrome. The presence of these tumors in a patient with a germline VHL variant could lead to inaccurate attribution of these tumors to the germline variant and VHL syndrome. In our previous INT2GRATE (INTegrated INTerpretation of GeRmline And Tumor gEnomes) programs, we demonstrated that integrating tumor-derived and germline evidence offers a comprehensive approach for the accurate assessment of the germline variants in cancer syndromes. Methods/Results: Here, we present a novel INT2GRATE variant evidence framework (VEF) for evaluating the clinical actionability of the germline variants in VHL syndrome, offering an integrated approach that incorporates both constitutional and tumor data. We analyzed 2672 variants in the VHL gene and their associated tumors and clinical evidence to effectively distinguish between constitutional, sporadic, VHL differentials, and VHL allelic genetic conditions. The germline INT2GRATE variants, along with their comprehensive associated evidence, were made accessible in the first open-access INT2GRATE Variant data Portal. Conclusions: This novel and integrated approach to variant assessment and data sharing in hereditary cancer syndromes is essential in the clinical evaluation of genomic variants, advancing precision oncology, and improving patient care. Full article
Show Figures

Figure 1

12 pages, 470 KB  
Article
A Comparative Study on the Multidimensional Features of Hereditary and Sporadic Medullary Thyroid Carcinoma Patients: A Single-Center Retrospective Study
by Muzaffer Serdar Deniz, Narin Nasiroglu Imga, Belma Ozlem Tural Balsak, Asiye Safak Bulut, Furkan Savas, Busranur Cavdarli, Cevdet Aydin, Oya Topaloglu, Reyhan Ersoy and Bekir Cakir
Medicina 2025, 61(7), 1164; https://doi.org/10.3390/medicina61071164 - 27 Jun 2025
Viewed by 593
Abstract
Background and Objectives: Medullary thyroid carcinoma is a rare neuroendocrine malignancy, with sporadic and hereditary forms accounting for 75% and 25% of cases, respectively. This study compares the clinicopathological features of sporadic medullary thyroid carcinoma (sMTC) and hereditary medullary thyroid carcinoma (hMTC) using [...] Read more.
Background and Objectives: Medullary thyroid carcinoma is a rare neuroendocrine malignancy, with sporadic and hereditary forms accounting for 75% and 25% of cases, respectively. This study compares the clinicopathological features of sporadic medullary thyroid carcinoma (sMTC) and hereditary medullary thyroid carcinoma (hMTC) using real-world data to provide risk factors that aid in the early detection of the disease. Materials and Methods: The retrospective study comprised 77 patients with confirmed MTC treated at a tertiary referral center between January 2019 and December 2024. Patients were classified as hMTC (n = 11) or sMTC (n = 66) based on RET proto-oncogene (RET) genetic testing, whereas harboring a germline RET mutation indicated hMTC. Demographic, clinical, laboratory, radiological, histopathological, and genetic data were collected. Results: hMTC patients were significantly younger at diagnosis, with a comparable gender distribution (p = 0.738), and more often had a previous case of MTC within the family history. Pheochromocytoma occurred exclusively in hMTC. Multicentric tumors were more frequent in hMTC, and non-diagnostic Bethesda I cytology was higher in hMTC. Conclusions: While confirming established differences, this study provides detailed pre-operative diagnostic parameters and surgical approaches that can guide clinical decision-making in resource-limited settings where genetic testing may not be immediately available. Full article
(This article belongs to the Section Endocrinology)
Show Figures

Figure 1

18 pages, 915 KB  
Review
The Perioperative Biochemical and Clinical Considerations of Pheochromocytoma Management
by Alexa J. Gombert, Alexandra M. Nerantzinis, Jennifer Li, Weidong Wang, Isaac Y. Yeung, Ana Costa and Sergio D. Bergese
Int. J. Mol. Sci. 2025, 26(13), 6080; https://doi.org/10.3390/ijms26136080 - 25 Jun 2025
Viewed by 4777
Abstract
Pheochromocytoma, a rare catecholamine-secreting tumor, poses significant perioperative challenges due to its potential for severe hemodynamic instability. Careful management of patients with pheochromocytoma is critical for patient safety and favorable outcomes. The diagnostic workup focuses on biochemical analysis of plasma or urinary metanephrines, [...] Read more.
Pheochromocytoma, a rare catecholamine-secreting tumor, poses significant perioperative challenges due to its potential for severe hemodynamic instability. Careful management of patients with pheochromocytoma is critical for patient safety and favorable outcomes. The diagnostic workup focuses on biochemical analysis of plasma or urinary metanephrines, followed by imaging for tumor localization and genetic testing to identify hereditary syndromes. Preoperative management emphasizes adequate alpha-adrenergic blockade followed by beta-blockade to stabilize cardiovascular function. Anesthetic planning requires meticulous attention to volume status, cardiovascular optimization, and intraoperative monitoring to mitigate the risks of hypertensive crises and hypotension. Postoperative care must account for ongoing hemodynamic and metabolic fluctuations. A multidisciplinary, protocol-driven approach is essential to improve outcomes in patients undergoing pheochromocytoma resection. This paper provides a comprehensive overview of the genetic, biochemical, clinical, and anesthetic considerations involved in the diagnosis and perioperative management of pheochromocytoma. Full article
Show Figures

Figure 1

Back to TopTop