Clinical Relevance of Circulating Tumor Cells in Esophageal Cancer Detected by a Combined MACS Enrichment Method
Abstract
1. Introduction
2. Materials and Methods
2.1. Study Design
2.2. Tumor Cell Detection
2.3. Statistical Analysis
3. Results
3.1. Patient Characteristics and Tumor Cell Detection
3.2. Correlation with Histopathologic Parameters
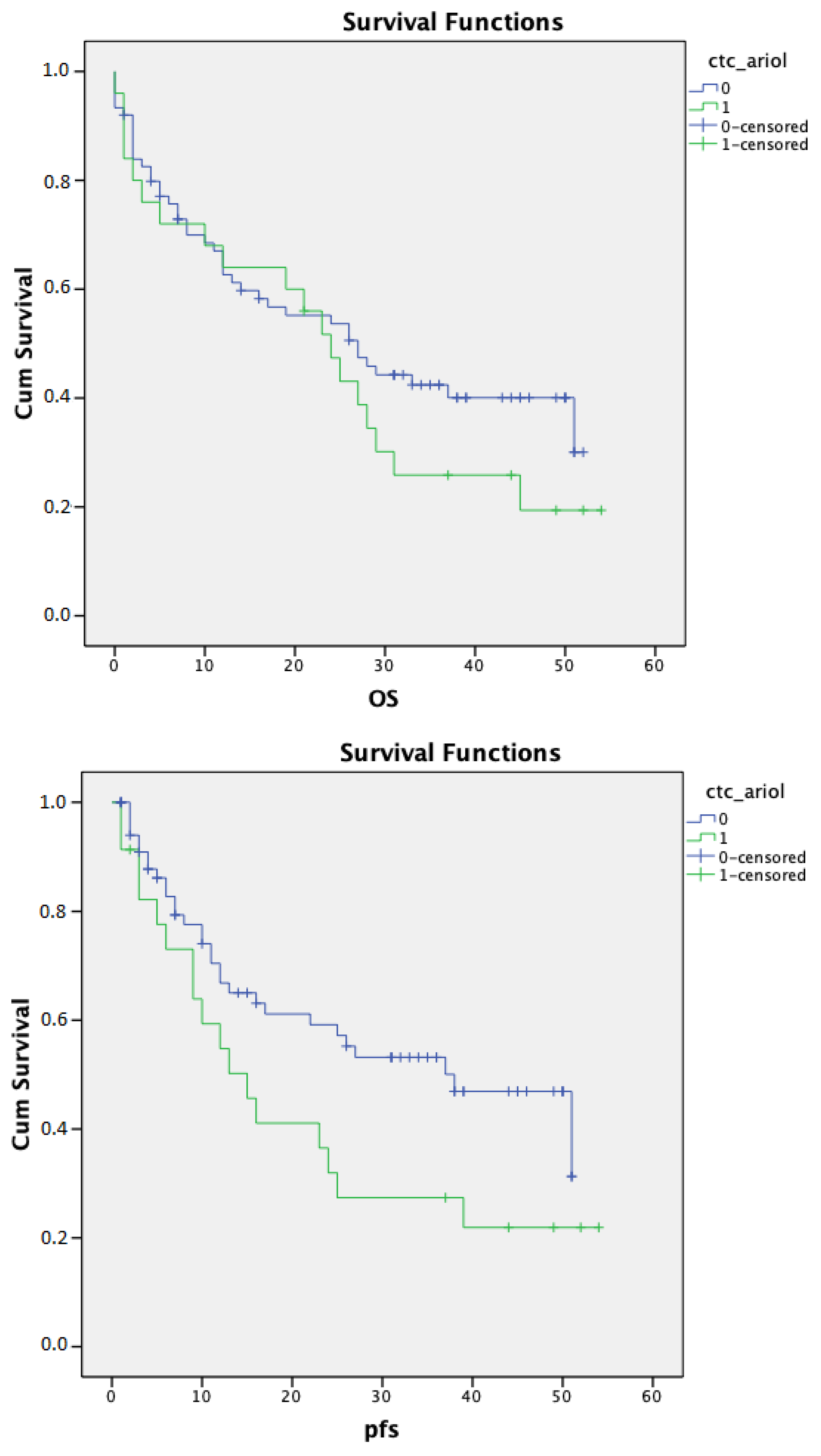
3.3. Survival Analysis
4. Discussion
5. Conclusions
Author Contributions
Funding
Conflicts of Interest
References
- Njei, B.; Mccarty, T.R.; Birk, J.W. Trends in esophageal cancer survival in United States adults from 1973 to 2009: A SEER database analysis. J. Gastroenterol. Hepatol. 2016, 31, 1141–1146. [Google Scholar] [CrossRef]
- Allum, W.; Blazeby, J.M.; Griffin, S.M.; Cunningham, D.; Jankowski, J.; Wong, R. Guidelines for the management of oesophageal and gastric cancer. Gut 2011, 60, 1449–1472. [Google Scholar] [CrossRef]
- Alix-Panabières, C.; Pantel, K. Challenges in circulating tumour cell research. Nat. Rev. Cancer 2014, 14, 623–631. [Google Scholar] [CrossRef] [PubMed]
- Izbicki, J.R.; Hosch, S.B.; Pichlmeier, U.; Rehders, A.; Busch, C.; Niendorf, A.; Passlick, B.; Broelsch, C.E.; Pantel, K. Prognostic Value of Immunohistochemically Identifiable Tumor Cells in Lymph Nodes of Patients with Completely Resected Esophageal Cancer. N. Engl. J. Med. 1997, 337, 1188–1194. [Google Scholar] [CrossRef] [PubMed]
- Uenosono, Y.; Arigami, T.; Kozono, T.; Yanagita, S.; Hagihara, T.; Haraguchi, N.; Matsushita, D.; Hirata, M.; Arima, H.; Funasako, Y.; et al. Clinical significance of circulating tumor cells in peripheral blood from patients with gastric cancer. Cancer 2013, 119, 3984–3991. [Google Scholar] [CrossRef] [PubMed]
- Pantel, K.; Brakenhoff, R.H.; Brandt, B. Detection, clinical relevance and specific biological properties of disseminating tumour cells. Nat. Rev. Cancer 2008, 8, 329–340. [Google Scholar] [CrossRef] [PubMed]
- Stoecklein, N.H.; Hosch, S.B.; Bezler, M.; Stern, F.; Hartmann, C.H.; Vay, C.; Siegmund, A.; Scheunemann, P.; Schurr, P.; Knoefel, W.T.; et al. Direct Genetic Analysis of Single Disseminated Cancer Cells for Prediction of Outcome and Therapy Selection in Esophageal Cancer. Cancer Cell 2008, 13, 441–453. [Google Scholar] [CrossRef]
- Gopalan, V.; Lam, A.K.-Y. Circulatory Tumor Cells in Esophageal Adenocarcinoma. In Advanced Structural Safety Studies; Humana Press: New York, NY, USA, 2018; pp. 177–186. [Google Scholar]
- Reeh, M.; Effenberger, K.; Koenig, A.M.; Riethdorf, S.; Eichstädt, D.; Vettorazzi, E.; Uzunoglu, F.G.; Vashist, Y.K.; Izbicki, J.; Pantel, K.; et al. Circulating Tumor Cells as a Biomarker for Preoperative Prognostic Staging in Patients With Esophageal Cancer. Ann. Surg. 2015, 261, 1124–1130. [Google Scholar] [CrossRef]
- Stephenson, D.; Nahm, C.; Chua, T.; Gill, A.; Mittal, A.; De Reuver, P.; Samra, J. Circulating and disseminated tumor cells in pancreatic cancer and their role in patient prognosis: A systematic review and meta-analysis. Oncotarget 2017, 8, 107223–107236. [Google Scholar] [CrossRef]
- Baker, M.K.; Mikhitarian, K.; Osta, W.; Callahan, K.; Hoda, R.; Brescia, F.; Kneuper-Hall, R.; Mitas, M.; Cole, D.J.; Gillanders, W.E. Molecular detection of breast cancer cells in the peripheral blood of advanced-stage breast cancer patients using multimarker real-time reverse transcription-polymerase chain reaction and a novel porous barrier density gradient centrifugation technology. Clin. Cancer Res. 2003, 9, 4865–4871. [Google Scholar]
- Müller, V.; Stahmann, N.; Riethdorf, S.; Rau, T.; Zabel, T.; Goetz, A.; Jänicke, F.; Pantel, K. Circulating Tumor Cells in Breast Cancer: Correlation to Bone Marrow Micrometastases, Heterogeneous Response to Systemic Therapy and Low Proliferative Activity. Clin. Cancer Res. 2005, 11, 3678–3685. [Google Scholar] [CrossRef] [PubMed]
- Pantel, K.; Schlimok, G.; Angstwurm, M.; Weckermann, D.; Schmaus, W.; Gath, H.; Passlick, B.; Izbicki, J.R.; Riethmüller, G. Methodological Analysis of Immunocytochemical Screening for Disseminated Epithelial Tumor Cells in Bone Marrow. J. Hematother. 1994, 3, 165–173. [Google Scholar] [CrossRef] [PubMed]
- Shariat, S.F.; Roudier, M.P.E.; Wilcox, G.; Kattan, M.W.; Scardino, P.T.; Vessella, R.L.; Erdamar, S.; Nguyen, C.; Wheeler, T.M.; Slawin, K.M. Comparison of immunohistochemistry with reverse transcription-PCR for the detection of micrometastatic prostate cancer in lymph nodes. Cancer Res. 2003, 63, 4662–4670. [Google Scholar] [PubMed]
- Hamdy, F.C.; Lawry, J.; Anderson, J.B.; Parsons, M.A.; Rees, R.C.; Williams, J.L. Circulating Prostate Specific Antigen-positive Cells Correlate with Metastatic Prostate Cancer. BJU Int. 1992, 69, 392–396. [Google Scholar] [CrossRef]
- Moreno, J.G.; O’Hara, S.; Gross, S.; Doyle, G.; Fritsche, H.; Gomella, L.G.; Terstappen, L.W.M.M. Changes in circulating carcinoma cells in patients with metastatic prostate cancer correlate with disease status. Urology 2001, 58, 386–392. [Google Scholar] [CrossRef]
- Hofman, V.J.; Ilié, M.; Bonnetaud, C.; Selva, E.; Long, E.; Molina, T.; Vignaud, J.M.; Lantuejoul, S.; Piaton, E.; Butori, C.; et al. Cytopathologic Detection of Circulating Tumor Cells Using the Isolation by Size of Epithelial Tumor Cell Method: Promises and Pitfalls. Am. J. Clin. Pathol. 2011, 135, 146–156. [Google Scholar] [CrossRef]
- Gao, C.-L.; Rawal, S.K.; Sun, L.; Ali, A.; Connelly, R.R.; Bañez, L.L.A.; Sesterhenn, I.; McLeod, D.G.; Moul, J.W.; Srivastava, S. Diagnostic potential of prostate-specific antigen expressing epithelial cells in blood of prostate cancer patients. Clin. Cancer Res. 2003, 9, 2545–2550. [Google Scholar]
- Straub, B.; Müller, M.; Krause, H.; Schrader, M.; Miller, K. Quantitative real-time rt-PCR for detection of circulating prostate-specific antigen mRNA using sequence-specific oligonucleotide hybridization probes in prostate cancer patients. Oncology 2003, 65, 12–17. [Google Scholar] [CrossRef]
- Allard, W.J. Tumor Cells Circulate in the Peripheral Blood of All Major Carcinomas but not in Healthy Subjects or Patients With Nonmalignant Diseases. Clin. Cancer Res. 2004, 10, 6897–6904. [Google Scholar] [CrossRef]
- Hristozova, T.; Konschak, R.; Budach, V.; Tinhofer, I. A simple multicolor flow cytometry protocol for detection and molecular characterization of circulating tumor cells in epithelial cancers. Cytom. Part A 2012, 81, 489–495. [Google Scholar] [CrossRef]
- Cohen, S.J.; Punt, C.J.; Iannotti, N.; Saidman, B.H.; Sabbath, K.D.; Gabrail, N.Y.; Picus, J.; Morse, M.; Mitchell, E.; Miller, M.C.; et al. Relationship of Circulating Tumor Cells to Tumor Response, Progression-Free Survival, and Overall Survival in Patients With Metastatic Colorectal Cancer. J. Clin. Oncol. 2008, 26, 3213–3221. [Google Scholar] [CrossRef] [PubMed]
- Cristofanilli, M.; Budd, G.T.; Ellis, M.J.; Stopeck, A.; Matera, J.; Miller, M.C.; Reuben, J.M.; Doyle, G.V.; Allard, W.J.; Terstappen, L.W.; et al. Circulating tumor cells, disease progression, and survival in metastatic breast cancer. N. Engl. J. Med. 2004, 351, 781–791. [Google Scholar] [CrossRef] [PubMed]
- De Bono, J.S.; Scher, H.I.; Montgomery, R.B.; Parker, C.; Miller, M.C.; Tissing, H.; Doyle, G.; Terstappen, L.W.; Pienta, K.J.; Raghavan, D. Circulating Tumor Cells Predict Survival Benefit from Treatment in Metastatic Castration-Resistant Prostate Cancer. Clin. Cancer Res. 2008, 14, 6302–6309. [Google Scholar] [CrossRef] [PubMed]
- Andree, K.C.; Van Dalum, G.; Terstappen, L.W. Challenges in circulating tumor cell detection by the CellSearch system. Mol. Oncol. 2015, 10, 395–407. [Google Scholar] [CrossRef] [PubMed]
- Gorges, T.M.; Tinhofer, I.; Drosch, M.; Rose, L.; Zollner, T.M.; Krahn, T.; Von Ahsen, O. Circulating tumour cells escape from EpCAM-based detection due to epithelial-to-mesenchymal transition. BMC Cancer 2012, 12, 178. [Google Scholar] [CrossRef] [PubMed]
- Krebs, M.; Hou, J.-M.; Sloane, R.S.; Lancashire, L.; Priest, L.; Nonaka, D.; Ward, T.H.; Backen, A.; Clack, G.; Hughes, A.; et al. Analysis of Circulating Tumor Cells in Patients with Non-small Cell Lung Cancer Using Epithelial Marker-Dependent and -Independent Approaches. J. Thorac. Oncol. 2012, 7, 306–315. [Google Scholar] [CrossRef] [PubMed]
- Aktas, B.; Tewes, M.; Fehm, D.M.T.; Hauch, S.; Kimmig, R.; Kasimir-Bauer, S. Stem cell and epithelial-mesenchymal transition markers are frequently overexpressed in circulating tumor cells of metastatic breast cancer patients. Breast Cancer Res. 2009, 11, R46. [Google Scholar] [CrossRef]
- Armstrong, A.J.; Marengo, M.S.; Oltean, S.; Kemeny, G.; Bitting, R.L.; Turnbull, J.D.; Herold, C.I.; Marcom, P.K.; George, D.J.; Garcia-Blanco, M.A. Circulating tumor cells from patients with advanced prostate and breast cancer display both epithelial and mesenchymal markers. Mol. Cancer Res. 2011, 9, 997–1007. [Google Scholar] [CrossRef]
- Korsching, E.; Packeisen, J.; Agelopoulos, K.; Eisenacher, M.; Voss, R.; Isola, J.; Van Diest, P.J.; Brandt, B.; Boecker, W.; Buerger, H. Cytogenetic alterations and cytokeratin expression patterns in breast cancer: Integrating a new model of breast differentiation into cytogenetic pathways of breast carcinogenesis. Lab. Investig. 2002, 82, 1525–1533. [Google Scholar] [CrossRef]
- Deng, G.; Herrler, M.; Burgess, D.; Manna, E.; Krag, D.N.; Burke, J.F. Enrichment with anti-cytokeratin alone or combined with anti-EpCAM antibodies significantly increases the sensitivity for circulating tumor cell detection in metastatic breast cancer patients. Breast Cancer Res. 2008, 10, R69. [Google Scholar] [CrossRef]
- Sobin, L.H.; Gospodarowcz, M.K.; Wittekind, C. TNM Classification of Malignant Tumors; Wiley-Blackwell: Oxford, UK, 2010. [Google Scholar]
- Effenberger, K.; Schroeder, C.; Hanssen, A.; Wolter, S.; Eulenburg, C.; Tachezy, M.; Gebauer, F.; Izbicki, J.; Pantel, K.; Bockhorn, M. Improved Risk Stratification by Circulating Tumor Cell Counts in Pancreatic Cancer. Clin. Cancer Res. 2018, 24, 2844–2850. [Google Scholar] [CrossRef] [PubMed]
- Effenberger, K.; Schroeder, C.; Eulenburg, C.; Reeh, M.; Tachezy, M.; Riethdorf, S.; Vashist, Y.K.; Izbicki, J.; Pantel, K.; Bockhorn, M. Disseminated tumor cells in pancreatic cancer-an independent prognosticator of disease progression and survival. Int. J. Cancer 2011, 131, E475–E483. [Google Scholar] [CrossRef] [PubMed]
- Kutup, A.; Vashist, Y.; Groth, S.; Vettorazzi, E.; Yekebas, E.; Soehendra, N.; Izbicki, J. Endoscopic ultrasound staging in gastric cancer: Does it help management decisions in the era of neoadjuvant treatment? Endoscopy 2012, 44, 572–576. [Google Scholar] [CrossRef] [PubMed]
- Winiker, M.; Mantziari, S.; Figueiredo, S.G.; Demartines, N.; Allemann, P.; Schäfer, M. Accuracy of preoperative staging for a priori resectable esophageal cancer. Dis. Esophagus 2017, 31, 1–6. [Google Scholar] [CrossRef]
- Chaffer, C.L.; Weinberg, R.A. A Perspective on Cancer Cell Metastasis. Science 2011, 331, 1559–1564. [Google Scholar] [CrossRef]
- Klein, C.A. Parallel progression of primary tumours and metastases. Nat. Rev. Cancer 2009, 9, 302–312. [Google Scholar] [CrossRef]
- Pantel, K.; Speicher, M.R. The biology of circulating tumor cells. Oncogene 2015, 35, 1216–1224. [Google Scholar] [CrossRef]
- Takeuchi, H.; Kitagawa, Y. Circulating tumor cells in gastrointestinal cancer. J. Hepato Biliary Pancreat. Sci. 2009, 17, 577–582. [Google Scholar] [CrossRef]
- Riethdorf, S.; O’Flaherty, L.; Hille, C.; Pantel, K. Clinical applications of the CellSearch platform in cancer patients. Adv. Drug Deliv. Rev. 2018, 125, 102–121. [Google Scholar] [CrossRef]
- Christiansen, J.J.; Rajasekaran, A.K. Reassessing Epithelial to Mesenchymal Transition as a Prerequisite for Carcinoma Invasion and Metastasis. Cancer Res. 2006, 66, 8319–8326. [Google Scholar] [CrossRef]
- Bednarz-Knoll, N.; Alix-Panabières, C.; Pantel, K. Plasticity of disseminating cancer cells in patients with epithelial malignancies. Cancer Metastasis Rev. 2012, 31, 673–687. [Google Scholar] [CrossRef] [PubMed]
- Meng, S.; Tripathy, D.; Frenkel, E.P.; Shete, S.; Naftalis, E.Z.; Huth, J.F.; Beitsch, P.D.; Leitch, M.; Hoover, S.; Euhus, D.M.; et al. Circulating Tumor Cells in Patients with Breast Cancer Dormancy. Clin. Cancer Res. 2004, 10, 8152–8162. [Google Scholar] [CrossRef] [PubMed]
- Visvader, J.E.; Lindeman, G.J. Cancer stem cells in solid tumours: Accumulating evidence and unresolved questions. Nat. Rev. Cancer 2008, 8, 755–768. [Google Scholar] [CrossRef] [PubMed]



| Parameter | Patients (n = 90) | >2 CTC Ariol (%) | p-Value |
|---|---|---|---|
| Sex | 0.519 | ||
| Male | 69 | 5 (7.2%) | |
| Female | 21 | 2 (9.5%) | |
| pT stage | 0.469 | ||
| T1 | 22 | 2 (9.1%) | |
| T2 | 18 | 1 (5.6%) | |
| T3 | 36 | 2 (5.6%) | |
| T4 | 14 | 2 (14.3%) | |
| pN stage | 0.320 | ||
| N0 | 42 | ||
| N1 | 18 | 3 (7.1%) | |
| N2 | 14 | 2 (11.1%) | |
| N3 | 13 | 1 (7.1%) | |
| Missing | 3 | 0 | |
| M stage | 0.284 | ||
| M0 | 85 | 6 (7.1%) | |
| M1 | 4 | 1 (25.0%) | |
| Missing | 1 | ||
| UICC stage | 0.327 | ||
| 0 | 2 | 0 | |
| I | 24 | 1 (4.2%) | |
| II | 16 | 2 (12.5%) | |
| III | 39 | 3 (7.7%) | |
| IV | 9 | 1 (11.1%) | |
| Tumor grading | 0.360 | ||
| G1–2 | 45 | 4 (8.9%) | |
| G3–4 | 43 | 2 (4.7%) | |
| Missing | 2 | ||
| Resection margins | 0.530 | ||
| R0 | 77 | 5 (6.5%) | |
| R1 | 10 | 1 (10.0%) | |
| Missing | 3 |
| Factor | HR | 95% CI | p-Value |
|---|---|---|---|
| Ariol: >2CTC vs. ≤2 CTC | 0.723 | 0.297–1.756 | 0.474 |
| Age: >60 vs. ≤60 years | 0.374 | 0.199–0.705 | 0.002 |
| pT stage: pT1/2 vs. pT3/4 | 0.409 | 0.220–0.760 | 0.005 |
| Lymph invasion: L0 vs. L1 | 0.771 | 0.435–1.365 | 0.372 |
| M stage: M0 vs. M1 | 0.112 | 0.25–0.499 | 0.004 |
| Resection margins: R0 vs. R1 | 0.770 | 0.374–1.583 | 0.477 |
© 2020 by the authors. Licensee MDPI, Basel, Switzerland. This article is an open access article distributed under the terms and conditions of the Creative Commons Attribution (CC BY) license (http://creativecommons.org/licenses/by/4.0/).
Share and Cite
Woestemeier, A.; Harms-Effenberger, K.; Karstens, K.-F.; Konczalla, L.; Ghadban, T.; Uzunoglu, F.G.; Izbicki, J.R.; Bockhorn, M.; Pantel, K.; Reeh, M. Clinical Relevance of Circulating Tumor Cells in Esophageal Cancer Detected by a Combined MACS Enrichment Method. Cancers 2020, 12, 718. https://doi.org/10.3390/cancers12030718
Woestemeier A, Harms-Effenberger K, Karstens K-F, Konczalla L, Ghadban T, Uzunoglu FG, Izbicki JR, Bockhorn M, Pantel K, Reeh M. Clinical Relevance of Circulating Tumor Cells in Esophageal Cancer Detected by a Combined MACS Enrichment Method. Cancers. 2020; 12(3):718. https://doi.org/10.3390/cancers12030718
Chicago/Turabian StyleWoestemeier, Anna, Katharina Harms-Effenberger, Karl-F. Karstens, Leonie Konczalla, Tarik Ghadban, Faik G. Uzunoglu, Jakob R. Izbicki, Maximilian Bockhorn, Klaus Pantel, and Matthias Reeh. 2020. "Clinical Relevance of Circulating Tumor Cells in Esophageal Cancer Detected by a Combined MACS Enrichment Method" Cancers 12, no. 3: 718. https://doi.org/10.3390/cancers12030718
APA StyleWoestemeier, A., Harms-Effenberger, K., Karstens, K.-F., Konczalla, L., Ghadban, T., Uzunoglu, F. G., Izbicki, J. R., Bockhorn, M., Pantel, K., & Reeh, M. (2020). Clinical Relevance of Circulating Tumor Cells in Esophageal Cancer Detected by a Combined MACS Enrichment Method. Cancers, 12(3), 718. https://doi.org/10.3390/cancers12030718

