Serum Myostatin Predicts the Risk of Hepatocellular Carcinoma in Patients with Alcoholic Cirrhosis: A Multicenter Study
Abstract
Simple Summary
Abstract
1. Introduction
2. Methods
2.1. Patients
2.2. Clinical Evaluation and Follow-Up
2.3. Statistical Analysis
3. Results
3.1. Baseline Characteristics
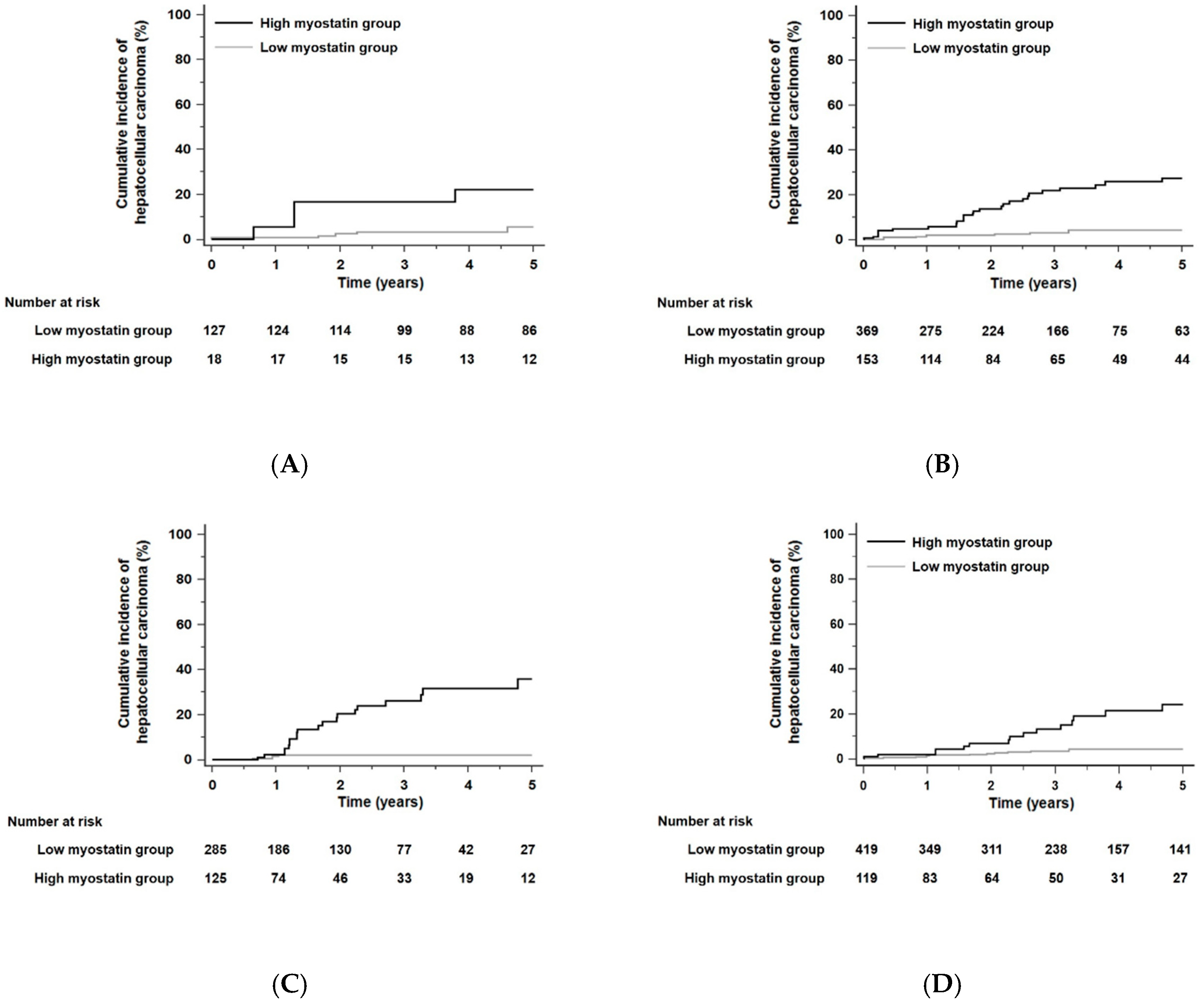
3.2. Serum Myostatin Levels as an Independent Prognostic Factor for the Development of Hepatocellular Carcinoma within 5 Years
3.3. The Prognostic Performance of Serum Myostatin to Predict HCC Risk in Different Risk Groups According to the Toronto HCC Risk Index
3.4. Subgroup Analyses According to Age, Sex, and Child–Pugh Class
3.5. The Prognostic Performance of Serum Myostatin Levels to Predict HCC Risk According to Residual Functional Reserves and Hepatic Fibrosis
3.6. Correlation between Serum Myostatin Levels and Hepatic Fibrosis
3.7. Distant Metastasis, Serum α-Fetoprotein, and Serum Myostatin Levels
3.8. Risk Assessments for Developing Hepatic Decompensation and Liver-Related Death According to Serum Myostatin Levels
4. Discussion
5. Conclusions
Supplementary Materials
Author Contributions
Funding
Conflicts of Interest
Abbreviations
| ALC | alcoholic liver cirrhosis |
| CI | confidence interval |
| CP | Child–Pugh |
| HCC | hepatocellular carcinoma |
| HR | hazard ratio |
| MELD | model for end-stage liver disease |
| THRI | Toronto hepatocellular carcinoma risk index |
References
- St-Onge, M.P. Relationship between body composition changes and changes in physical function and metabolic risk factors in aging. Curr. Opin. Clin. Nutr. Metab. Care 2005, 8, 523–528. [Google Scholar] [PubMed]
- Han, J.; Kim, W. Prognostic implications of trunk muscle mass in liver cirrhosis. Clin. Mol. Hepatol. 2018, 24, 297–298. [Google Scholar] [CrossRef] [PubMed]
- Gu, D.H.; Kim, M.Y.; Seo, Y.S.; Kim, S.G.; Lee, H.A.; Kim, T.H.; Jung, Y.K.; Kandemir, A.; Kim, J.H.; An, H.; et al. Clinical usefulness of psoas muscle thickness for the diagnosis of sarcopenia in patients with liver cirrhosis. Clin. Mol. Hepatol. 2018, 24, 319–330. [Google Scholar] [CrossRef] [PubMed]
- Korean Association for the Study of the Liver. KASL clinical practice guidelines for liver cirrhosis: Varices, hepatic encephalopathy, and related complications. Clin. Mol. Hepatol. 2020, 26, 83–127. [Google Scholar] [CrossRef]
- Montano-Loza, A.J. Severe muscle depletion predicts postoperative length of stay but is not associated with survival after liver transplantation. Liver Transpl. 2014, 20, 1424. [Google Scholar] [CrossRef]
- Feng, Z.; Zhao, H.; Jiang, Y.; He, Z.; Sun, X.; Rong, P.; Wang, W. Sarcopenia associates with increased risk of hepatocellular carcinoma among male patients with cirrhosis. Clin. Nutr. 2020, 39, 3132–3139. [Google Scholar] [CrossRef]
- Kim, Y.R.; Park, S.; Han, S.; Ahn, J.H.; Kim, S.; Sinn, D.H.; Jeong, W.K.; Ko, J.S.; Gwak, M.S.; Kim, G.S. Sarcopenia as a predictor of post-transplant tumor recurrence after living donor liver transplantation for hepatocellular carcinoma beyond the Milan criteria. Sci. Rep. 2018, 8, 7157. [Google Scholar] [CrossRef]
- Jindal, A.; Jagdish, R.K. Sarcopenia: Ammonia metabolism and hepatic encephalopathy. Clin. Mol. Hepatol. 2019, 25, 270–279. [Google Scholar] [CrossRef]
- Nishikawa, H.; Enomoto, H.; Ishii, A.; Iwata, Y.; Miyamoto, Y.; Ishii, N.; Yuri, Y.; Hasegawa, K.; Nakano, C.; Nishimura, T.; et al. Elevated serum myostatin level is associated with worse survival in patients with liver cirrhosis. J. Cachexia Sarcopenia Muscle 2017, 8, 915–925. [Google Scholar] [CrossRef]
- Han, Y.Q.; Ming, S.L.; Wu, H.T.; Zeng, L.; Ba, G.; Li, J.; Lu, W.F.; Han, J.; Du, Q.J.; Sun, M.M.; et al. Myostatin knockout induces apoptosis in human cervical cancer cells via elevated reactive oxygen species generation. Redox Biol. 2018, 19, 412–428. [Google Scholar] [CrossRef]
- Delogu, W.; Caligiuri, A.; Provenzano, A.; Rosso, C.; Bugianesi, E.; Coratti, A.; Macias-Barragan, J.; Galastri, S.; Di Maira, G.; Marra, F. Myostatin regulates the fibrogenic phenotype of hepatic stellate cells via c-jun N-terminal kinase activation. Dig. Liver Dis. 2019, 51, 1400–1408. [Google Scholar] [CrossRef] [PubMed]
- Dasarathy, S. Myostatin and beyond in cirrhosis: All roads lead to sarcopenia. J. Cachexia Sarcopenia Muscle. 2017, 8, 864–869. [Google Scholar] [CrossRef] [PubMed]
- Garcia, P.S.; Cabbabe, A.; Kambadur, R.; Nicholas, G.; Csete, M. Brief-reports: Elevated myostatin levels in patients with liver disease: A potential contributor to skeletal muscle wasting. Anesth. Analg. 2010, 111, 707–709. [Google Scholar] [CrossRef] [PubMed]
- Kugiyama, Y.; Yamasaki, K.; Beppu, A.; Bekki, S.; Suehiro, T.; Hashimoto, S.; Saeki, A.; Nagaoka, S.; Abiru, S.; Komori, A.; et al. Serum Myostatin Is Associated Not Only With Survival Rate But Also With Risk Of Developing Hepatocellular Carcinoma In Patients With Liver Cirrhosis. Hepatology 2019, 70, 1249A. [Google Scholar] [CrossRef][Green Version]
- Lesmana, C.R.A.; Raharjo, M.; Gani, R.A. Managing liver cirrhotic complications: Overview of esophageal and gastric varices. Clin. Mol. Hepatol. 2020, 26, 444–460. [Google Scholar] [CrossRef]
- Kumar, R.; Goh, B.G.; Kam, J.W.; Chang, P.E.; Tan, C.K. Comparisons between non-alcoholic steatohepatitis and alcohol-related hepatocellular carcinoma. Clin. Mol. Hepatol. 2020, 26, 196–208. [Google Scholar] [CrossRef]
- Korean Association for the Study of the Liver. KASL clinical practice guidelines for liver cirrhosis: Ascites and related complications. Clin. Mol. Hepatol. 2018, 24, 230–277. [Google Scholar] [CrossRef]
- Jang, J.Y.; Kim, D.J. Epidemiology of alcoholic liver disease in Korea. Clin. Mol. Hepatol. 2018, 24, 93–99. [Google Scholar] [CrossRef]
- Ganne-Carrie, N.; Nahon, P. Hepatocellular carcinoma in the setting of alcohol-related liver disease. J. Hepatol. 2019, 70, 284–293. [Google Scholar] [CrossRef]
- European Association for the Study of Liver. EASL clinical practical guidelines: Management of alcoholic liver disease. J. Hepatol. 2012, 57, 399–420. [Google Scholar] [CrossRef]
- Lim, T.S.; Kim, J.K. Is liver biopsy still useful in the era of non-invasive tests? Clin. Mol. Hepatol. 2020, 26, 302–304. [Google Scholar] [CrossRef] [PubMed]
- Lee, S.; Kim, S.S.; Chang, D.R.; Kim, H.; Kim, M.J. Comparison of LI-RADS 2018 and KLCA-NCC 2018 for noninvasive diagnosis of hepatocellular carcinoma using magnetic resonance imaging. Clin. Mol. Hepatol. 2020, 26, 340–351. [Google Scholar] [CrossRef] [PubMed]
- Kim, T.H.; Kim, S.Y.; Tang, A.; Lee, J.M. Comparison of international guidelines for noninvasive diagnosis of hepatocellular carcinoma: 2018 update. Clin. Mol. Hepatol. 2019, 25, 245–263. [Google Scholar] [CrossRef] [PubMed]
- Kim, S.Y. Diagnosis of hepatocellular carcinoma: Which MRI contrast agent? Which diagnostic criteria? Clin. Mol. Hepatol. 2020, 26, 309–311. [Google Scholar] [CrossRef]
- Heimbach, J.K.; Kulik, L.M.; Finn, R.S.; Sirlin, C.B.; Abecassis, M.M.; Roberts, L.R.; Zhu, A.X.; Murad, M.H.; Marrero, J.A. AASLD guidelines for the treatment of hepatocellular carcinoma. Hepatology 2018, 67, 358–380. [Google Scholar] [CrossRef]
- European Association for the Study of the Liver. EASL-EORTC clinical practice guidelines: Management of hepatocellular carcinoma. J. Hepatol. 2012, 56, 908–943. [Google Scholar] [CrossRef]
- Heagerty, P.J.; Lumley, T.; Pepe, M.S. Time-dependent ROC curves for censored survival data and a diagnostic marker. Biometrics 2000, 56, 337–344. [Google Scholar] [CrossRef]
- Fluss, R.; Faraggi, D.; Reiser, B. Estimation of the Youden Index and its associated cutoff point. Biom. J. 2005, 47, 458–472. [Google Scholar] [CrossRef]
- Sharma, S.A.; Kowgier, M.; Hansen, B.E.; Brouwer, W.P.; Maan, R.; Wong, D.; Shah, H.; Khalili, K.; Yim, C.; Heathcote, E.J.; et al. Toronto HCC risk index: A validated scoring system to predict 10-year risk of HCC in patients with cirrhosis. J. Hepatol. 2017. [Google Scholar] [CrossRef]
- Johnson, P.J.; Berhane, S.; Kagebayashi, C.; Satomura, S.; Teng, M.; Reeves, H.L.; O’Beirne, J.; Fox, R.; Skowronska, A.; Palmer, D.; et al. Assessment of liver function in patients with hepatocellular carcinoma: A new evidence-based approach-the ALBI grade. J. Clin. Oncol. 2015, 33, 550–558. [Google Scholar] [CrossRef]
- Sterling, R.K.; Lissen, E.; Clumeck, N.; Sola, R.; Correa, M.C.; Montaner, J.; Sulkowski, M.S.; Torriani, F.J.; Dieterich, D.T.; Thomas, D.L.; et al. Development of a simple noninvasive index to predict significant fibrosis in patients with HIV/HCV coinfection. Hepatology 2006, 43, 1317–1325. [Google Scholar] [CrossRef] [PubMed]
- Artaza, J.N.; Singh, R.; Ferrini, M.G.; Braga, M.; Tsao, J.; Gonzalez-Cadavid, N.F. Myostatin promotes a fibrotic phenotypic switch in multipotent C3H 10T1/2 cells without affecting their differentiation into myofibroblasts. J. Endocrinol. 2008, 196, 235–249. [Google Scholar] [CrossRef] [PubMed]
- Petta, S.; Ciminnisi, S.; Di Marco, V.; Cabibi, D.; Camma, C.; Licata, A.; Marchesini, G.; Craxi, A. Sarcopenia is associated with severe liver fibrosis in patients with non-alcoholic fatty liver disease. Aliment. Pharmacol. Ther. 2017, 45, 510–518. [Google Scholar] [CrossRef]
- Qiu, J.; Thapaliya, S.; Runkana, A.; Yang, Y.; Tsien, C.; Mohan, M.L.; Narayanan, A.; Eghtesad, B.; Mozdziak, P.E.; McDonald, C.; et al. Hyperammonemia in cirrhosis induces transcriptional regulation of myostatin by an NF-kappaB-mediated mechanism. Proc. Natl. Acad. Sci. USA 2013, 110, 18162–18167. [Google Scholar] [CrossRef]
- Seki, E.; Brenner, D.A.; Karin, M. A liver full of JNK: Signaling in regulation of cell function and disease pathogenesis, and clinical approaches. Gastroenterology 2012, 143, 307–320. [Google Scholar] [CrossRef]
- Fujiwara, N.; Friedman, S.L.; Goossens, N.; Hoshida, Y. Risk factors and prevention of hepatocellular carcinoma in the era of precision medicine. J. Hepatol. 2018, 68, 526–549. [Google Scholar] [CrossRef]
- Zhou, X.; Wang, J.L.; Lu, J.; Song, Y.; Kwak, K.S.; Jiao, Q.; Rosenfeld, R.; Chen, Q.; Boone, T.; Simonet, W.S.; et al. Reversal of cancer cachexia and muscle wasting by ActRIIB antagonism leads to prolonged survival. Cell 2010, 142, 531–543. [Google Scholar] [CrossRef] [PubMed]
- Gallot, Y.S.; Durieux, A.C.; Castells, J.; Desgeorges, M.M.; Vernus, B.; Plantureux, L.; Rémond, D.; Jahnke, V.E.; Lefai, E.; Dardevet, D.; et al. Myostatin gene inactivation prevents skeletal muscle wasting in cancer. Cancer Res. 2014, 74, 7344–7356. [Google Scholar] [CrossRef]
- Shim, J.H. Should you advocate for hepatocellular carcinoma surveillance in patients with alcohol-related liver disease or non-alcoholic fatty liver disease? Clin. Mol. Hepatol. 2020, 26, 183–184. [Google Scholar] [CrossRef]
- Dasarathy, S. Nutrition and Alcoholic Liver Disease: Effects of Alcoholism on Nutrition, Effects of Nutrition on Alcoholic Liver Disease, and Nutritional Therapies for Alcoholic Liver Disease. Clin. Liver Dis. 2016, 20, 535–550. [Google Scholar] [CrossRef]
- Fernandez-Sola, J.; Lluis, M.; Sacanella, E.; Estruch, R.; Antunez, E.; Urbano-Marquez, A. Increased myostatin activity and decreased myocyte proliferation in chronic alcoholic cardiomyopathy. Alcohol. Clin. Exp. Res. 2011, 35, 1220–1229. [Google Scholar] [CrossRef] [PubMed]
- Lee, Y.H.; Kim, S.U.; Song, K.; Park, J.Y.; Kim, D.Y.; Ahn, S.H.; Lee, B.W.; Kang, E.S.; Cha, B.S.; Han, K.H. Sarcopenia is associated with significant liver fibrosis independently of obesity and insulin resistance in nonalcoholic fatty liver disease: Nationwide surveys (KNHANES 2008-2011). Hepatology 2016, 63, 776–786. [Google Scholar] [CrossRef] [PubMed]
- Pedersen, B.K.; Febbraio, M.A. Muscles, exercise and obesity: Skeletal muscle as a secretory organ. Nat. Rev. Endocrinol. 2012, 8, 457–465. [Google Scholar] [CrossRef] [PubMed]
- Ioannou, G.N.; Green, P.; Kerr, K.F.; Berry, K. Models estimating risk of hepatocellular carcinoma in patients with alcohol or NAFLD-related cirrhosis for risk stratification. J. Hepatol. 2019, 71, 523–533. [Google Scholar] [CrossRef] [PubMed]






| Variables | Total (n = 1077) | No HCC (n = 998) | HCC (n = 79) | p-Value a | Low Myostatin (n = 781) | High Myostatin (n = 296) | p-Value a |
|---|---|---|---|---|---|---|---|
| Age, years | 55 (47, 62) | 55 (47, 61) | 57 (55, 63) | 0.003 | 55 (46, 62) | 55 (49, 59) | 0.73 |
| Male, n (%) | 895 (83.1) | 820 (82.2) | 75 (94.9) | 0.002 | 615 (78.7) | 279 (94.3) | <0.001 |
| Body mass index, kg/m2 | 23.0 (20.8, 25.3) | 22.9 (20.8, 25.2) | 24.1 (22.0, 26.9) | 0.009 | 22.9 (20.8, 24.9) | 23.7 (21.4, 26.2) | <0.001 |
| Diabetes mellitus, n (%) | 247 (22.9) | 223 (22.3) | 24 (30.4) | 0.13 | 185 (23.7) | 62 (20.9) | 0.34 |
| AST, IU/L | 53 (38, 84) | 53 (38, 85) | 62 (37, 78) | 0.60 | 53 (37, 88) | 53 (38, 78) | 0.97 |
| ALT, IU/L | 22 (13, 37) | 22 (13, 37) | 23 (16, 34) | 0.43 | 23 (14, 39) | 21 (12, 34) | 0.02 |
| Total bilirubin, mg/dL | 1.7 (0.9, 3.6) | 1.7 (0.9, 3.5) | 1.9 (1.2, 3.1) | 0.70 | 1.6 (0.8, 3.5) | 1.9 (1.1, 4.0) | 0.005 |
| INR | 1.3 (1.2, 1.7) | 1.3 (1.2, 1.6) | 1.4 (1.2, 1.6) | 0.90 | 1.3 (1.1, 1.6) | 1.4 (1.3, 1.7) | <0.001 |
| Creatinine, mg/dL | 0.9 (0.8, 1.2) | 0.9 (0.7, 1.2) | 0.9 (0.7, 1.1) | 0.10 | 0.9 (0.7, 1.2) | 1.0 (0.8, 1.2) | 0.006 |
| Platelets, × 109/L | 105 (71, 168) | 107 (73, 174) | 93 (69, 137) | 0.03 | 113 (75, 183) | 94 (63, 125) | <0.001 |
| Albumin, g/dL | 3.1 (2.6, 3.6) | 3.1 (2.6, 3.6) | 3.0 (2.6, 3.6) | 0.998 | 3.1 (2.7, 3.7) | 2.9 (2.6, 3.4) | <0.001 |
| Toronto HCC risk index | 236 (186, 255) | 236 (186, 255) | 255 (205, 286) | <0.001 | 225 (166, 255) | 236 (205, 255) | <0.001 |
| Low risk | 88 (8.2) | 86 (8.6) | 2 (2.5) | <0.001 | 84 (10.8) | 4 (1.4) | <0.001 |
| Intermediate risk | 650 (60.4) | 613 (61.4) | 37 (46.8) | 489 (62.6) | 161 (54.4) | ||
| High risk | 339 (31.5) | 299 (30.0) | 40 (50.6) | 208 (26.6) | 131 (44.3) | ||
| FIB-4 index | 6.5 (3.7, 11.3) | 6.4 (3.6, 11.1) | 8.0 (4.3, 11.8) | 0.04 | 6.0 (3.2, 10.4) | 7.6 (4.9, 12.3) | <0.001 |
| MELD score | 13.2 (9.5, 18.2) | 13.3 (9.5, 18.6) | 12.6 (10.2, 17.6) | 0.29 | 12.7 (9.0, 17.7) | 14.5 (11.0, 19.3) | <0.001 |
| Child–Pugh class | |||||||
| A, n (%) | 343 (31.8) | 318 (31.9) | 25 (31.6) | 0.53 | 274 (35.1) | 69 (23.3) | 0.001 |
| B, n (%) | 464 (43.1) | 426 (42.7) | 38 (48.1) | 322 (41.2) | 142 (48.0) | ||
| C, n (%) | 270 (25.1) | 254 (25.5) | 16 (20.3) | 185 (23.7) | 85 (28.7) | ||
| α-fetoprotein | 4.2 (2.8, 6.7) | 4.2 (2.8, 6.7) | 5.4 (3.5, 7.0) | 0.053 | 4.1 (2.7, 6.5) | 4.8 (3.1, 7.4) | 0.003 |
| Myostatin, ng/mL | 3.3 (2.1, 5.2) | 3.2 (2.0, 4.9) | 6.1 (4.0, 8.9) | <0.001 | 2.6 (1.8, 3.6) | 7.2 (6.0, 9.5) | <0.001 |
| Variables | Univariable | Multivariable | ||
|---|---|---|---|---|
| HR (95% CI) | p-Value a | HR (95% CI) | p-Value a | |
| Age (per year increase) | 1.04 (1.01–1.06) | <0.001 | 1.03 (1.01–1.06) | 0.004 |
| Gender (male vs. female) | 4.05 (1.48–11.07) | 0.006 | 2.79 (1.01–7.75) | 0.04 |
| Body mass index, kg/m2 | 1.08 (1.02–1.13) | 0.006 | 1.05 (0.98–1.12) | 0.12 |
| Diabetes mellitus (yes vs. no) | 1.42 (0.88–2.29) | 0.16 | ||
| AST (per IU/L) | 0.999 (0.996–1.001) | 0.34 | ||
| ALT (per IU/L) | 0.995 (0.988–1.003) | 0.20 | ||
| Total bilirubin (per mg/dL) | 0.97 (0.91–1.04) | 0.39 | ||
| Albumin (per g/dL) | 0.60 (0.43–0.84) | 0.003 | 0.73 (0.50–1.10) | 0.09 |
| Platelets (per × 109/L) | 0.993 (0.989–0.996) | <0.001 | 0.996 (0.992–0.999) | 0.03 |
| INR | 0.99 (0.89–1.11) | 0.90 | ||
| Creatinine (per mg/dL) | 0.90 (0.51–1.56) | 0.69 | ||
| Child–Pugh score | 1.09 (0.99–1.21) | 0.09 | ||
| FIB-4 | 1.01 (0.99–1.03) | 0.18 | ||
| MELD score | 1.02 (0.98–1.10) | 0.37 | ||
| Myostatin (per ng/mL) | 1.24 (1.19–1.30) | <0.001 | 1.18 (1.12–1.24) | <0.001 |
Publisher’s Note: MDPI stays neutral with regard to jurisdictional claims in published maps and institutional affiliations. |
© 2020 by the authors. Licensee MDPI, Basel, Switzerland. This article is an open access article distributed under the terms and conditions of the Creative Commons Attribution (CC BY) license (http://creativecommons.org/licenses/by/4.0/).
Share and Cite
Kim, J.H.; Kang, S.H.; Lee, M.; Youn, G.S.; Kim, T.S.; Jun, B.G.; Kim, M.Y.; Kim, Y.D.; Cheon, G.J.; Kim, D.J.; et al. Serum Myostatin Predicts the Risk of Hepatocellular Carcinoma in Patients with Alcoholic Cirrhosis: A Multicenter Study. Cancers 2020, 12, 3347. https://doi.org/10.3390/cancers12113347
Kim JH, Kang SH, Lee M, Youn GS, Kim TS, Jun BG, Kim MY, Kim YD, Cheon GJ, Kim DJ, et al. Serum Myostatin Predicts the Risk of Hepatocellular Carcinoma in Patients with Alcoholic Cirrhosis: A Multicenter Study. Cancers. 2020; 12(11):3347. https://doi.org/10.3390/cancers12113347
Chicago/Turabian StyleKim, Ji Hyun, Seong Hee Kang, Minjong Lee, Gi Soo Youn, Tae Suk Kim, Baek Gyu Jun, Moon Young Kim, Young Don Kim, Gab Jin Cheon, Dong Joon Kim, and et al. 2020. "Serum Myostatin Predicts the Risk of Hepatocellular Carcinoma in Patients with Alcoholic Cirrhosis: A Multicenter Study" Cancers 12, no. 11: 3347. https://doi.org/10.3390/cancers12113347
APA StyleKim, J. H., Kang, S. H., Lee, M., Youn, G. S., Kim, T. S., Jun, B. G., Kim, M. Y., Kim, Y. D., Cheon, G. J., Kim, D. J., Baik, S. K., Choi, D. H., & Suk, K. T. (2020). Serum Myostatin Predicts the Risk of Hepatocellular Carcinoma in Patients with Alcoholic Cirrhosis: A Multicenter Study. Cancers, 12(11), 3347. https://doi.org/10.3390/cancers12113347

