Charge Trapping and Emission during Bias Temperature Stressing of Schottky Gate GaN-on-Silicon HEMT Structures Targeting RF/mm Wave Power Amplifiers
Abstract
1. Introduction
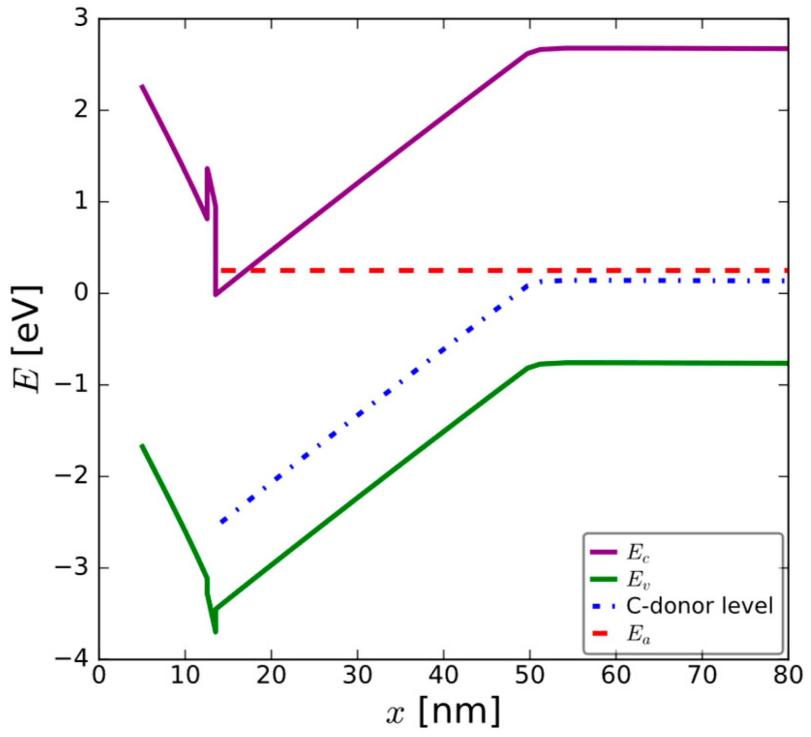
2. Materials and Methods
3. Results
3.1. Positive Bias Temperature Instability Results
3.1.1. Charge Trapping
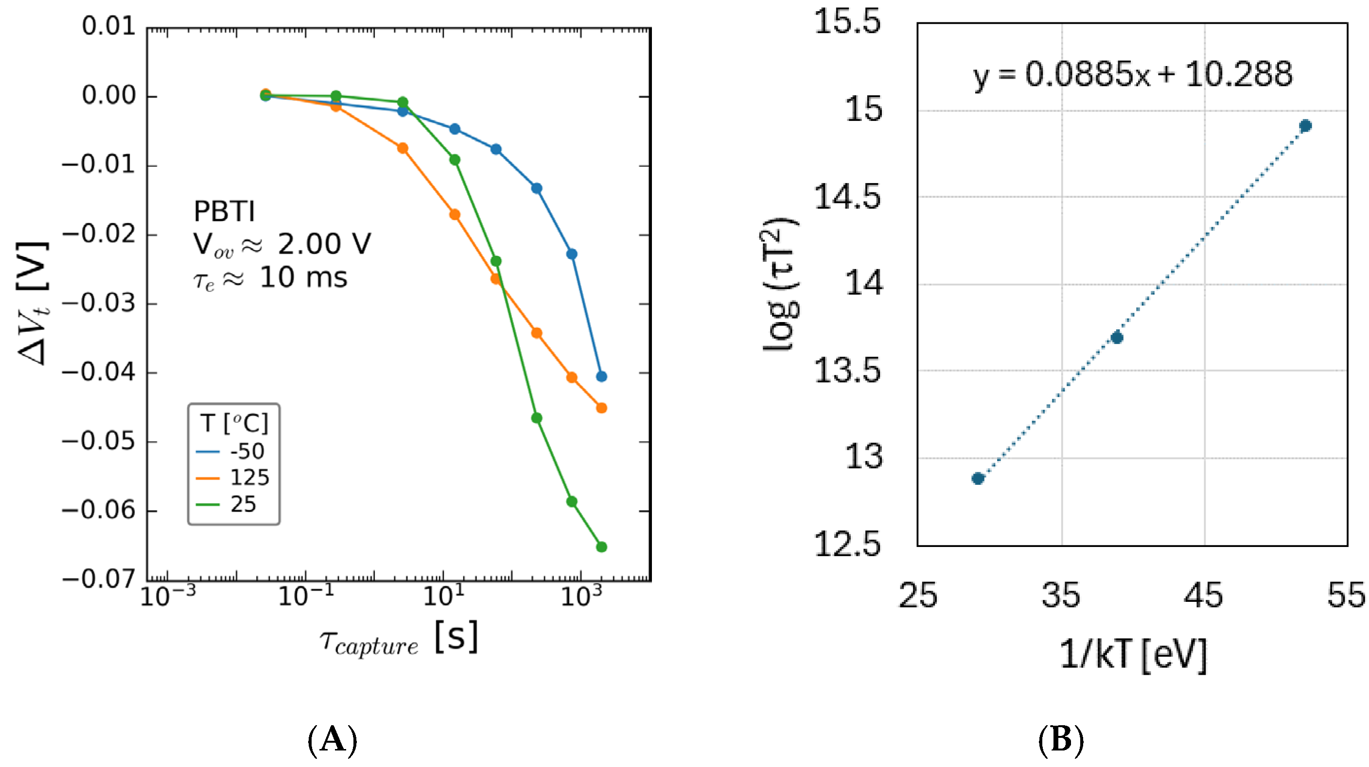
3.1.2. Emission Characteristics after PBTI
3.2. Negative Bias Temperature Instability Results
3.2.1. Charge Capture during NBTI
3.2.2. Post-NBTI Emission
4. Discussion
5. Conclusions
Author Contributions
Funding
Data Availability Statement
Conflicts of Interest
References
- Collaert, N.; Alian, A.; Banerjee, A.; Boccardi, G.; Cardinael, P.; Chauhan, V.; Desset, C.; ElKashlan, R.; Khaled, A.; Ingels, M.; et al. III-V/III-N technologies for next generation high capacity wireless communication. In Proceedings of the 2022 International Electron Devices Meeting (IEDM), San Francisco, CA, USA, 3–7 December 2022. [Google Scholar] [CrossRef]
- Available online: https://www.researchandmarkets.com/reports/5956562/gan-substrate-market-size-market-share (accessed on 22 July 2024).
- Chen, X.; Yang, X.; Xie, X.; Peng, Y.; Xiao, L.; Shao, C.; Li, H.; Hu, X.; Xu, X. Research progress of large size SiC single crystal materials and devices. Light Sci. Appl. 2023, 12, 28. [Google Scholar] [CrossRef] [PubMed]
- Then, H.W.; Radosavljevic, M.; Koirala, P.; Thomas, N.; Nair, N.; Ban, I.; Talukdar, T.; Nordeen, P.; Ghosh, S.; Bader, S.; et al. Advanced Scaling of Enhancement Mode High-K Gallium Nitride-on-300mmSi(111) Transistor and 3D Layer Transfer GaN-Silicon Finfet CMOS Integration. In Proceedings of the IEEE International Electron Devices Meeting (IEDM), San Francisco, CA, USA, 11–16 December 2021. [Google Scholar] [CrossRef]
- Then, H.W.; Radosavljevic, M.; Yu, Q.; Latorre-Rey, A.; Vora, H.; Bader, S.; Momson, I.; Thomson, D.; Beumer, M.; Koirala, P.; et al. Enhancement-Mode 300-mm GaN-on-Si(111) with Integrated Si CMOS for Future mm-Wave RF Applications. IEEE Microw. Wirel. Technol. Lett. 2023, 33, 835–838. [Google Scholar] [CrossRef]
- Bisi, D.; Meneghini, M.; de Santi, C.; Chini, A.; Dammann, M.; Brückner, P.; Mikulla, M.; Meneghesso, G.; Zanoni, E. Deep-Level Characterization in GaN HEMTs-Part I: Advantages and Limitations of Drain Current Transient Measurements. IEEE Trans. Electron Devices 2013, 60, 3166–3175. [Google Scholar] [CrossRef]
- Vermeersch, B.; Rodriguez, R.; Sibaja-Hernandez, A.; Vais, A.; Yadav, S.; Parvais, B.; Collaert, N. Thermal Modelling of GaN & InP RF Devices with Intrinsic Account for Nanoscale Transport Effects. In Proceedings of the 2022 International Electron Devices Meeting (IEDM), San Francisco, CA, USA, 3–7 December 2022; pp. 15.3.1–15.3.4. [Google Scholar] [CrossRef]
- Reshchikov, M.A.; Vorobiov, M.; Demchenko, D.O.; Özgür, Ü.; Morkoç, H.; Lesnik, A.; Hoffmann, M.P.; Hörich, F.; Dadgar, A.; Strittmatter, A. Two charge states of the CN acceptor in GaN: Evidence from photoluminescence. Phys. Rev. B 2018, 98, 125207. [Google Scholar] [CrossRef]
- Gao, Z.; Chiocchetta, F.; De Santi, C.; Modolo, N.; Rampazzo, F.; Meneghini, M.; Meneghesso, G.; Zanoni, E.; Blanck, H.; Stieglauer, H. Deep level effects and degradation of 0.15 μm RF AlGaN/GaN HEMTs with Mono-layer and Bi-layer AlGaN backbarrier. In Proceedings of the IEEE International Reliability Physics Symposium, Dallas, TX, USA, 27–31 March 2022. [Google Scholar] [CrossRef]
- Uren, M.J.; Kuball, M. Current collapse and kink effect in GaN RF HEMTs: The key role of the epitaxial buffer. In Proceedings of the 2020 IEEE BiCMOS and Compound Semiconductor Integrated Circuits and Technology Symposium (BCICTS), Monterey, CA, USA, 16–19 November 2020; pp. 1–8. [Google Scholar] [CrossRef]
- Cioni, M.; Zagni, N.; Iucolano, F.; Moschetti, M.; Verzellesi, G.; Chini, A. Partial Recovery of Dynamic RON Versus OFF-State Stress Voltage in p-GaN Gate AlGaN/GaN Power HEMTs. IEEE Trans. Electron Devices 2021, 68, 4862. [Google Scholar] [CrossRef]
- Zanoni, E.; Rampazzo, F.; De Santi, C.; Gao, Z.; Sharma, C.; Modolo, N.; Verzellesi, G.; Chini, A.; Meneghesso, G.; Meneghini, M. Failure Physics and Reliability of GaN-Based HEMTs for Microwave and Millimeter-Wave Applications: A Review of Consolidated Data and Recent Results. Phys. Status Solidi A 2022, 219, 2100722. [Google Scholar] [CrossRef]
- Viey, A.G.; Vandendaele, W.; Jaud, M.-A.; Gerrer, L.; Garros, X.; Cluzel, J.; Martin, S.; Krakovinsky, A.; Biscarrat, J.; Gwoziecki, R.; et al. Carbon-related pBTI degradation mechanisms in GaN-on-Si E-mode MOSc-HEMT. In Proceedings of the 2020 International Electron Devices Meeting (IEDM), San Francisco, CA, USA, 12–18 December 2020. [Google Scholar] [CrossRef]
- Srinivasan, P.; Guarin, F. CMOS RF reliability for 5G mmWave applications—Challenges and Opportunities. In Proceedings of the IEEE International Reliability Physics Symposium (IRPS), Monterey, CA, USA, 21–25 March 2021. [Google Scholar] [CrossRef]
- Alian, A.; Rodriguez, R.; Yadav, S.; Peralagu, U.; Hernandez, A.S.; Putcha, V.; Zhao, M.; ElKashlan, R.; Vermeersch, B.; Yu, H.; et al. Impact of channel thickness scaling on the performance of GaN-on-Si RF HEMTs on highly C-doped GaN buffer. In Proceedings of the IEEE European Solid-State Device Research Conference (ESSDERC), Milan, Italy, 19–22 September 2022. [Google Scholar] [CrossRef]
- Putcha, V.; Cheng, L.; Alian, A.; Zhao, M.; Lu, H.; Parvais, B.; Waldron, N.; Linten, D.; Collaert, N. On the impact of buffer and GaN-channel thickness on current dispersion for GaN-on-Si RF/mm-Wave devices. In Proceedings of the 2021 IEEE International Reliability Physics Symposium (IRPS), Monterey, CA, USA, 21–25 March 2021; pp. 1–8. [Google Scholar] [CrossRef]















| Back Barrier | GaN Channel | AlN | AlGaN |
|---|---|---|---|
| 1 μm C-GaN | 300 nm | 1 nm | 15 nm→8 nm |
| 1 μm C-GaN | 150 nm | 1 nm | 15 nm→8 nm |
| 1 μm C-GaN | 100 nm | 1 nm | 15 nm→8 nm |
| 1 μm C-GaN | 50 nm | 1 nm | 15 nm→8 nm |
| 1 μm C-GaN | 35 nm | 1 nm | 15 nm→8 nm |
| 1 μm C-GaN and100 nm AlGaN | 35 nm | 1 nm | 15 nm→8 nm |
| 1 μm C-GaN and250 nm AlGaN | 35 nm | 1 nm | 15 nm→8 nm |
Disclaimer/Publisher’s Note: The statements, opinions and data contained in all publications are solely those of the individual author(s) and contributor(s) and not of MDPI and/or the editor(s). MDPI and/or the editor(s) disclaim responsibility for any injury to people or property resulting from any ideas, methods, instructions or products referred to in the content. |
© 2024 by the authors. Licensee MDPI, Basel, Switzerland. This article is an open access article distributed under the terms and conditions of the Creative Commons Attribution (CC BY) license (https://creativecommons.org/licenses/by/4.0/).
Share and Cite
O’Sullivan, B.; Rathi, A.; Alian, A.; Yadav, S.; Yu, H.; Sibaja-Hernandez, A.; Peralagu, U.; Parvais, B.; Chasin, A.; Collaert, N. Charge Trapping and Emission during Bias Temperature Stressing of Schottky Gate GaN-on-Silicon HEMT Structures Targeting RF/mm Wave Power Amplifiers. Micromachines 2024, 15, 951. https://doi.org/10.3390/mi15080951
O’Sullivan B, Rathi A, Alian A, Yadav S, Yu H, Sibaja-Hernandez A, Peralagu U, Parvais B, Chasin A, Collaert N. Charge Trapping and Emission during Bias Temperature Stressing of Schottky Gate GaN-on-Silicon HEMT Structures Targeting RF/mm Wave Power Amplifiers. Micromachines. 2024; 15(8):951. https://doi.org/10.3390/mi15080951
Chicago/Turabian StyleO’Sullivan, Barry, Aarti Rathi, Alireza Alian, Sachin Yadav, Hao Yu, Arturo Sibaja-Hernandez, Uthayasankaran Peralagu, Bertrand Parvais, Adrian Chasin, and Nadine Collaert. 2024. "Charge Trapping and Emission during Bias Temperature Stressing of Schottky Gate GaN-on-Silicon HEMT Structures Targeting RF/mm Wave Power Amplifiers" Micromachines 15, no. 8: 951. https://doi.org/10.3390/mi15080951
APA StyleO’Sullivan, B., Rathi, A., Alian, A., Yadav, S., Yu, H., Sibaja-Hernandez, A., Peralagu, U., Parvais, B., Chasin, A., & Collaert, N. (2024). Charge Trapping and Emission during Bias Temperature Stressing of Schottky Gate GaN-on-Silicon HEMT Structures Targeting RF/mm Wave Power Amplifiers. Micromachines, 15(8), 951. https://doi.org/10.3390/mi15080951

