Static and Dynamic Mechanical Behaviors of Electrostatic MEMS Resonator with Surface Processing Error
Abstract
:1. Introduction
2. Mathematical Model
2.1. Governing Equation
2.2. Galerkin Expansion
2.3. Newton–Cotes Method
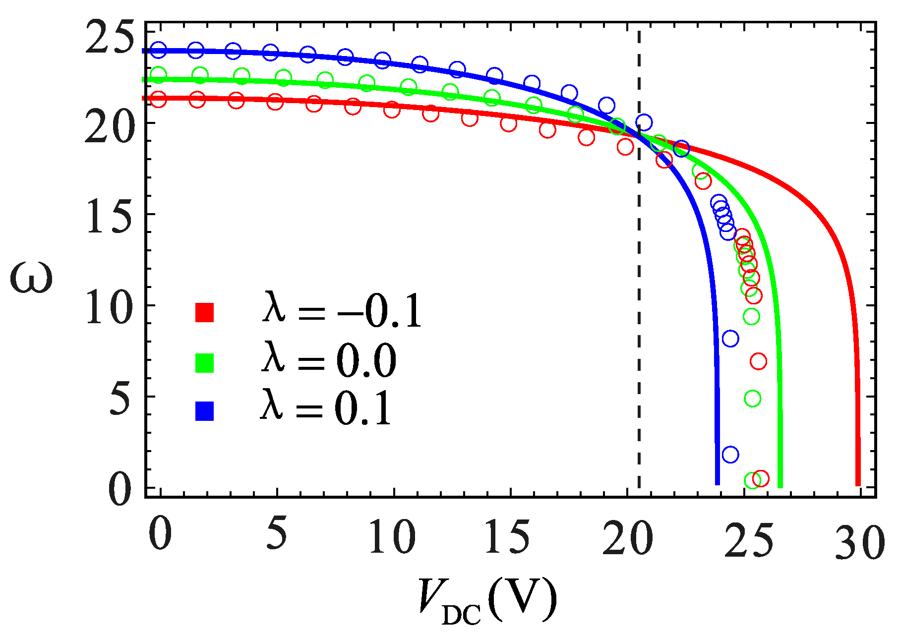
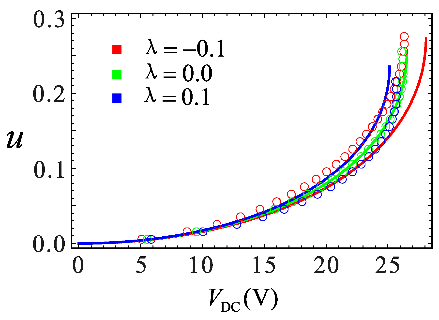
3. Static Analysis
4. Dynamic Analysis
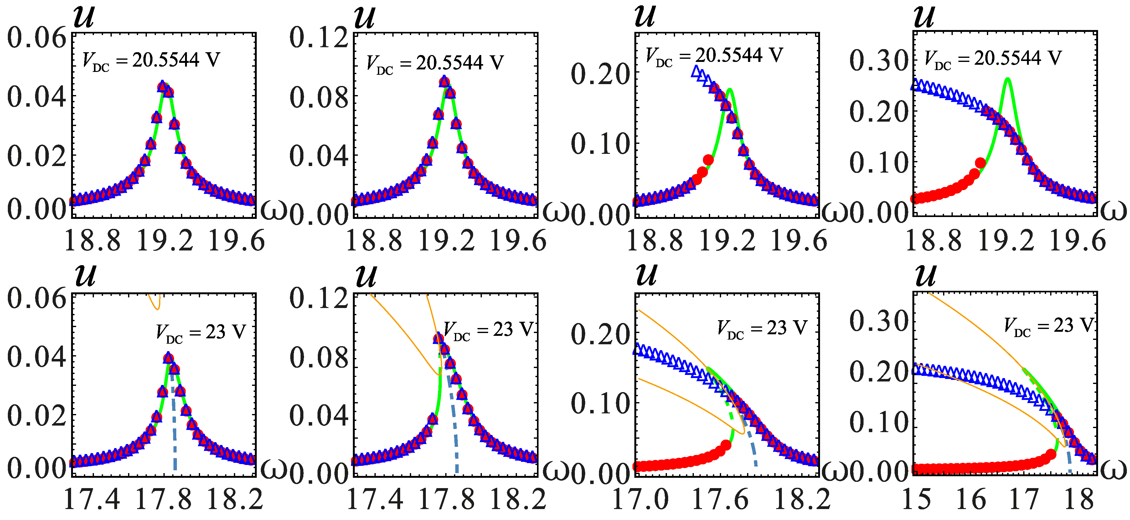
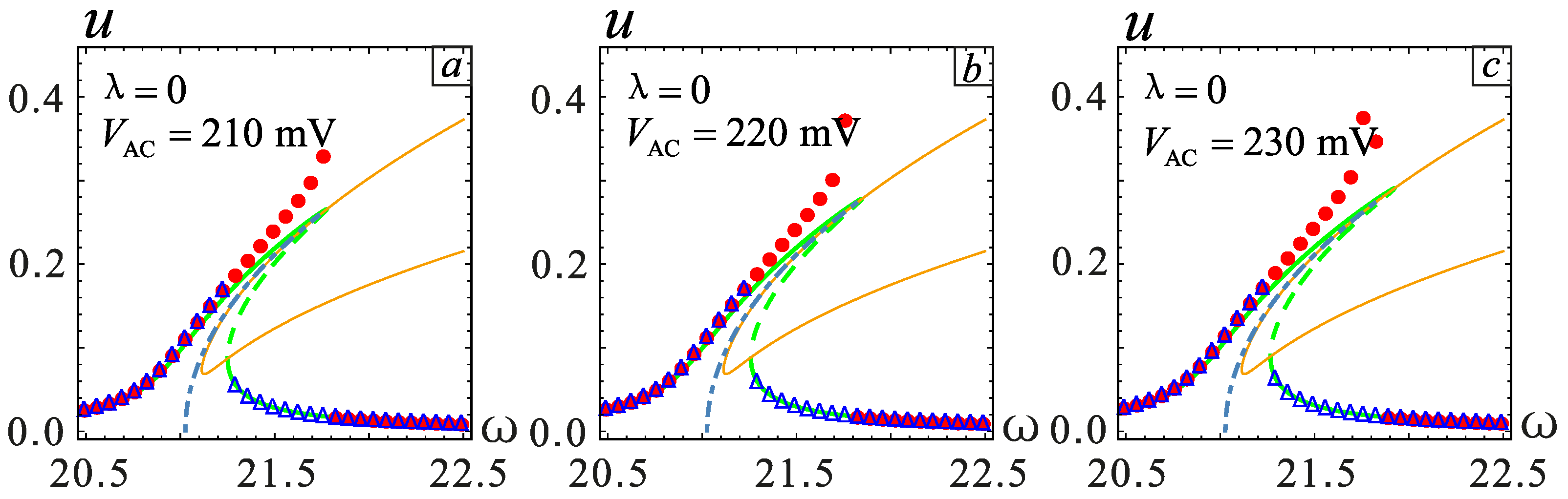
4.1. Dynamic Analysis with Small Amplitude
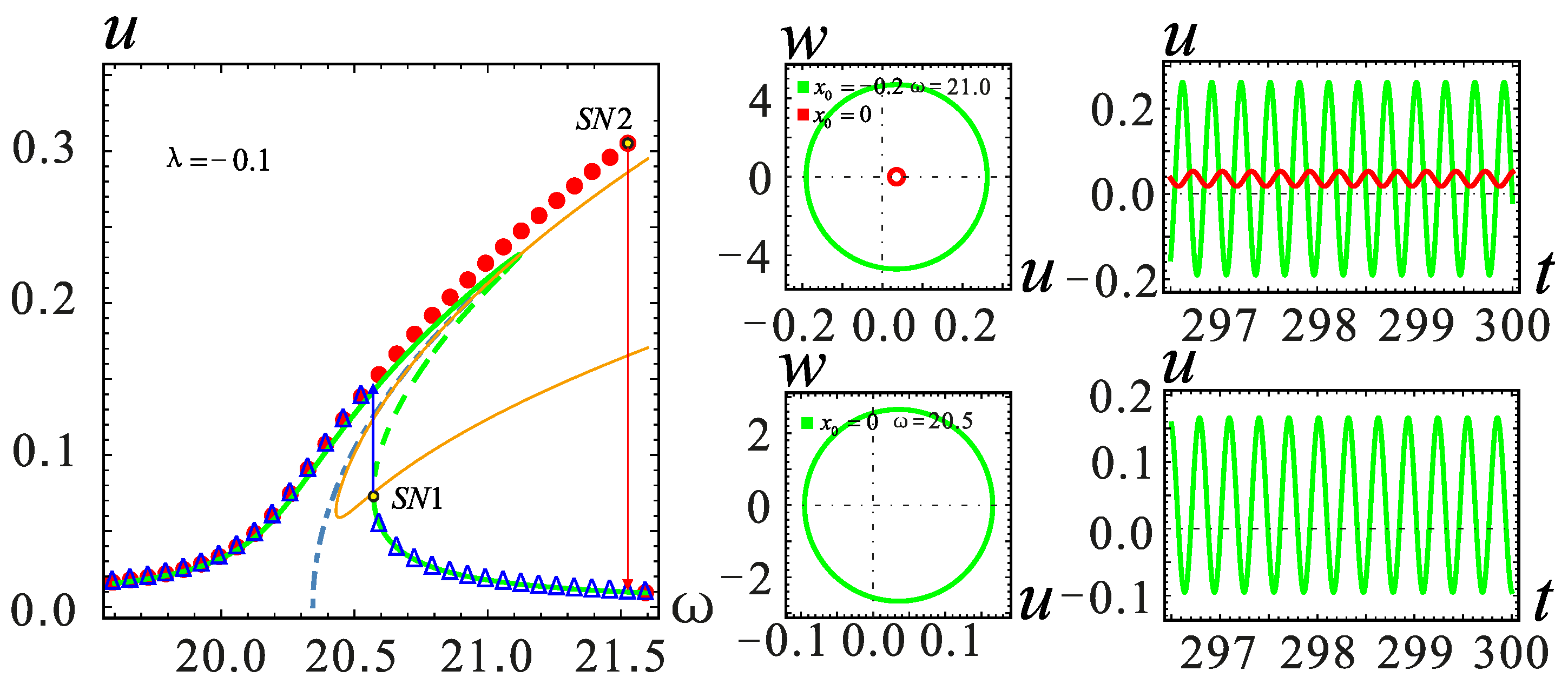
4.2. Dynamic Analysis with Large Amplitude
5. Finite Element Verification
6. Conclusions
- (1)
- From derivation, the range of section parameter in micro resonators is λ [−0.3, 0.9].
- (2)
- The occurrence of pull-in phenomenon could be promoted by λ increasing and d decreasing. Several typical cases are analyzed by using the potential energy curve and phase diagram. With either the increase of the parameter λ or the decrease of d, the barrier energy gradually decreases and the safe region reduces. As a result, the pull-in will occur.
- (3)
- Under small perturbations, the resonator may vibrate in the neighborhood of the equilibrium point. When the gap distance is constant, the sectional parameter λ > 0 will make the system vibration tend to softening-type behavior. On the contrary, λ < 0 will make the system vibration lean towards hardening-type behavior. When the section parameter is constant, as the gap distance of the microbeam is larger, the hardening-type behavior more easily appears. Similarly, as the gap distance is smaller, the softening-type behavior is easier to obtain. Therefore, if the microresonator is thinner or thicker because of the surface machining error, the gap distance d can be adjusted to make the system vibration close to linear.
- (4)
- The frequency response is obtained by MMS will lead to the nonlinear softening effect being weakened. This error is negligible when the amplitude of vibration is relatively small. As the amplitude increases beyond a certain value, this error will be more obvious. If the nonlinearity exhibits hardening-type behavior at the beginning, the nonlinearity of electrostatic force will gradually strengthen with the increases of the amplitude. Finally, the electrostatic force began to dominate when its nonlinearity effect on the system exceeded the influence of structural stiffness nonlinearity. At this time, the frequency response will exhibit hardening to softening behavior. The higher the value of λ is, the more easily it appears.
Acknowledgments
Author Contributions
Conflicts of Interest
Appendix A
References
- Younis, M.I.; Nayfeh, A.H. A study of nonlinear response of a resonant microbeam to an electric actuation. Nonlinear Dyn. 2003, 31, 91–117. [Google Scholar] [CrossRef]
- Leus, V.; Elata, D. On the dynamic response of electrostatic MEMS switches. J. Microelectromech. Syst. 2008, 17, 236–243. [Google Scholar] [CrossRef]
- Lin, W.H.; Zhao, Y.P. Casimir effect on the pull-in parameters of nanometer switches. Microsyst. Technol. 2005, 11, 80–85. [Google Scholar] [CrossRef]
- Nayfeh, A.H.; Ouakad, H.M.; Najar, F.; Choura, S.; Abdel-Rahman, E.M. Nonlinear dynamics of a resonant gas sensor. Nonlinear Dyn. 2009, 59, 607–618. [Google Scholar] [CrossRef]
- Ibrahim, A.; Younis, M.I. Simple fall criteria for MEMS sensors: Data analysis and sensor concept. Sensors 2014, 14, 12149–12173. [Google Scholar] [CrossRef] [PubMed]
- Zaitsev, S.; Shtempluck, O.; Buks, E.; Gottlieb, O. Nonlinear damping in a micromechanical oscillator. Nonlinear Dyn. 2011, 67, 859–883. [Google Scholar] [CrossRef]
- Nayfeh, A.H.; Younis, M.I.; Abdel-Rahman, E.M. Dynamic pull-in phenomenon in MEMS resonators. Nonlinear Dyn. 2006, 48, 153–163. [Google Scholar] [CrossRef]
- Zhang, W.M.; Tabata, O.; Tsuchiya, T.; Tsuchiya, T.; Meng, G. Noise-induced chaos in the electrostatically actuated MEMS resonator. Phys. Lett. A 2011, 375, 2903–2910. [Google Scholar] [CrossRef]
- Al Hafiz, M.A.; Kosuru, L.; Ramini, A.; Chappanda, K.N.; Younis, M.I. In-plane MEMS shallow arch beam for mechanical memory. Micromachines 2016, 7, 191. [Google Scholar] [CrossRef]
- Zhang, W.M.; Yan, H.; Peng, Z.K.; Meng, G. Electrostatic pull-in instability in MEMS/NEMS: A review. Sens. Actuators A Phys. 2014, 214, 187–218. [Google Scholar] [CrossRef]
- Ibrahim, A.; Jaber, N.; Chandran, A.; Thirupathi, M.; Younis, M. Dynamics of microbeams under multi-frequency excitations. Micromachines 2017, 8, 32. [Google Scholar] [CrossRef]
- Haluzan, D.T.; Klymyshyn, D.M.; Achenbach, S.; Borner, M. Reducing pull-in voltage by adjusting gap shape in electrostatically actuated cantilever and fixed-fixed beams. Micromachines 2010, 1, 68–81. [Google Scholar] [CrossRef]
- Fang, Y.M.; Li, P. A new approach and model for accurate determination of the dynamic Pull-in parameters of microbeams actuated by a step voltage. J. Micromech. Microeng. 2013, 23, 109501. [Google Scholar] [CrossRef]
- Abdel-Rahman, E.M.; Younis, M.I.; Nayfeh, A.H. Characterization of the mechanical behavior of an electrically actuatedmicrobeam. J. Micromech. Microeng. 2002, 12, 759–766. [Google Scholar] [CrossRef]
- Younis, M.I.; Abdel-Rahman, E.M.; Nayfeh, A. Static and dynamic behavior of an electrically excited resonant microbeam. In Proceedings of the 43rd AIAA Structures, Structural Dynamics, and Materials Conference, Denver, CO, USA, 22–25 April 2002; pp. 1298–1305. [Google Scholar]
- Alsaleem, F.M.; Younis, M.I. Stabilization of electrostatic MEMS resonators using a delayed feedback controller. Smart Mater. Struct. 2010, 19, 035016. [Google Scholar] [CrossRef]
- Wang, L.; Hong, Y.Z.; Dai, H.L.; Ni, Q. Natural frequency and stability tuning of cantilevered cnts conveying fluid in magnetic field. Acta Mech. Solida Sin. 2016, 59, 567–576. [Google Scholar] [CrossRef]
- Lv, H.W.; Li, Y.H.; Li, L.; Liu, Q.K. Transverse vibration of viscoelastic sandwich beam with time-dependent axial tension and axially varying moving velocity. Appl. Math. Model. 2014, 38, 2558–2585. [Google Scholar] [CrossRef]
- Ghayesh, M.H.; Farokhi, H.; Amabili, M. Nonlinear behaviour of electrically actuated MEMS resonators. Int. J. Eng. Sci. 2013, 71, 137–155. [Google Scholar] [CrossRef]
- Zhang, M.W.; Meng, G. Nonlinear dynamic analysis of electrostatically actuated resonant MEMS sensors under parametric excitation. IEEE. Sens. J. 2007, 7, 370–380. [Google Scholar] [CrossRef]
- Ibrahim, M.I.; Younis, M.I.; Alsaleem, F. An investigation into the effects of electrostatic and squeeze-film non-linearities on the shock spectrum of microstructures. Int. J. Non-Linear Mech. 2010, 45, 756–765. [Google Scholar] [CrossRef]
- Ghayesh, M.H.; Farokhi, H. Nonlinear dynamics of microplates. Int. J. Eng. Sci. 2015, 86, 60–73. [Google Scholar] [CrossRef]
- Gholipour, A.; Farokhi, H.; Ghayesh, M.H. In-plane and out-of-plane nonlinear size-dependent dynamics of microplates. Nonlinear Dyn. 2015, 79, 1771–1785. [Google Scholar] [CrossRef]
- Alsaleem, F.M.; Younis, M.I.; Ruzziconi, L. An experimental and theoretical investigation of dynamic pull-in in MEMS resonators actuated electrostatically. J. Microelectromech. Syst. 2010, 19, 794–806. [Google Scholar] [CrossRef]
- Alkharabsheh, S.A.; Younis, M.I. Statics and dynamics of MEMS arches under axial forces. J. Vib. Acoust. 2013, 135, 021007. [Google Scholar] [CrossRef]
- Krylov, S.; Harari, I.; Cohen, Y. Stabilization of electrostatically actuated microstructures using parametric excitation. J. Micromech. Microeng. 2005, 15, 1188–1204. [Google Scholar] [CrossRef]
- Najar, F.; Choura, S.; Abdel-Rahman, E.M. Dynamic analysis of variable-geometry electrostatic microactuators. J. Micromech. Microeng. 2006, 16, 2449–2457. [Google Scholar] [CrossRef]
- Younis, M.I.; Ouakad, H.M.; Alsaleem, F.M.; Miles, R.; Cui, W.L. Nonlinear dynamics of MEMS arches under harmonic electrostatic actuation. J. Microelectromech. Syst. 2010, 19, 647–656. [Google Scholar] [CrossRef]
- Farokhi, F.; Ghayesh, M.H.; Amabili, M. Nonlinear dynamics of a geometrically imperfect microbeam based on the modified couple stress theory. Int. J. Eng. Sci. 2013, 68, 11–23. [Google Scholar] [CrossRef]
- Farokhi, H.; Ghayesh, M.H. Nonlinear dynamical behaviour of geometrically imperfect microplates based on modified couple stress theory. Int. J. Mech. Sci. 2015, 90, 133–144. [Google Scholar] [CrossRef]
- Farokhi, H.; Ghayesh, M.H. Thermo-mechanical dynamics of perfect and imperfect Timoshenko microbeams. Int. J. Eng. Sci. 2015, 91, 12–33. [Google Scholar] [CrossRef]
- Ruzziconi, L.; Younis, M.I.; Lenci, S. Parameter identification of an electrically actuated imperfect microbeam. Int. J. Non-Linear Mech. 2013, 57, 208–219. [Google Scholar] [CrossRef]
- Ruzziconi, L.; Younis, M.I.; Lenci, S. An electrically actuated imperfect microbeam: Dynamical integrity for interpreting and predicting the device response. Meccanica 2013, 48, 1761–1775. [Google Scholar] [CrossRef]
- Krylov, S.; Ilic, B.R.; Schreiber, D. The pull-in behavior of electrostatically actuated bistable microstructures. J. Micromech. Microeng. 2008, 18, 055026. [Google Scholar] [CrossRef]
- Xu, T.T.; Ruzziconi, L.; Younis, M.I. Global investigation of the nonlinear dynamics of carbon nanotubes. Acta Mech. 2017, 228, 1029–1043. [Google Scholar] [CrossRef]
- Ouakad, H.M.; Younis, M.I. The dynamic behavior of MEMS arch resonators actuated electrically. Int. J. Nonlinear Mech. 2010, 45, 704–713. [Google Scholar] [CrossRef]
- Mobki, H.; Rezazadeh, G.; Sadeghi, M.; Vakili-Tahami, F.; Seyyed-Fakhrabadi, M.M. A comprehensive study of stability in an electro-statically actuated micro-beam. Int. J. Non-Linear Mech. 2013, 48, 78–85. [Google Scholar] [CrossRef]
- Han, J.X.; Qi, H.J.; Gang, J.; Li, B.Z.; Feng, J.J.; Zhang, Q.C. Mechanical behaviors of electrostatic microresonators with initial offset imperfection: Qualitative analysis via time-varying capacitors. Nonlinear Dyn. 2017, 1–27. [Google Scholar] [CrossRef]
- Herrera-May, A.L.; Aguilera-Cortés, L.A.; García-Ramírez, P.J.; Plascencia-Mora, H.; Torres-Cisneros, M. Modeling of the intrinsic stress effect on the resonant frequency of NEMS resonators integrated by beams with variable cross-section. Microsyst. Technol. 2010, 16, 2067–2074. [Google Scholar] [CrossRef]
- Joglekar, M.M.; Pawaskar, D.N. Shape optimization of electrostatically actuated microbeams for extending static and dynamic operating ranges. Struct. Multidiscip. Optim. 2012, 46, 871–890. [Google Scholar] [CrossRef]
- Trivedi, R.R.; Joglekar, M.M.; Shimpi, R.R.; Pawaskar, D.N. Shape optimization of electrostatically actuated micro cantilever beam with extended travel range using simulated annealing. Lect. Notes Eng. Comput. Sci. 2011, 2192, 2042–2047. [Google Scholar]
- Zhang, S.; Zhang, W.M.; Peng, Z.K.; Meng, G. Dynamic characteristics of electrostatically actuated shape optimized variable geometry microbeam. Shock Vib. 2015, 867171. [Google Scholar] [CrossRef]
- Kuang, J.H.; Chen, C.J. Dynamic characteristics of shaped microactuators solved using the differential quadrature method. J. Micromech. Microeng. 2004, 14, 647–655. [Google Scholar] [CrossRef]
- Najar, F.; Choura, S.; El-Borgi, S.; Abdel-Rahman, E.M.; Nayfeh, A.H. Modeling and design of variable-geometry electrostatic microactuators. J. Micromech. Microeng. 2005, 15, 419–429. [Google Scholar] [CrossRef]
- Shao, S.; Masri, K.M.; Younis, M.I. The effect of time-delayed feedback controller on an electrically actuated resonator. Nonlinear Dyn. 2013, 74, 257–270. [Google Scholar] [CrossRef]















| Case | λ | d (μm) | Dynamic Behavior |
|---|---|---|---|
| P1 | −0.1 | 2 | hardening-type vibration |
| P0 | 0 | 2 | linear-like vibration |
| P2 | 0.1 | 2 | softening-type vibration |
| P3 | 0 | 1.8 | softening-type vibration |
| P4 | 0 | 2.0 | hardening-type vibration |
© 2018 by the authors. Licensee MDPI, Basel, Switzerland. This article is an open access article distributed under the terms and conditions of the Creative Commons Attribution (CC BY) license (http://creativecommons.org/licenses/by/4.0/).
Share and Cite
Feng, J.; Liu, C.; Zhang, W.; Hao, S. Static and Dynamic Mechanical Behaviors of Electrostatic MEMS Resonator with Surface Processing Error. Micromachines 2018, 9, 34. https://doi.org/10.3390/mi9010034
Feng J, Liu C, Zhang W, Hao S. Static and Dynamic Mechanical Behaviors of Electrostatic MEMS Resonator with Surface Processing Error. Micromachines. 2018; 9(1):34. https://doi.org/10.3390/mi9010034
Chicago/Turabian StyleFeng, Jingjing, Cheng Liu, Wei Zhang, and Shuying Hao. 2018. "Static and Dynamic Mechanical Behaviors of Electrostatic MEMS Resonator with Surface Processing Error" Micromachines 9, no. 1: 34. https://doi.org/10.3390/mi9010034
APA StyleFeng, J., Liu, C., Zhang, W., & Hao, S. (2018). Static and Dynamic Mechanical Behaviors of Electrostatic MEMS Resonator with Surface Processing Error. Micromachines, 9(1), 34. https://doi.org/10.3390/mi9010034
