Pulsed CO2 Laser-Fabricated Cascades of Double Resonance Long Period Gratings for Sensing Applications
Abstract
1. Introduction
2. Matrix Description of LPGs and Cascaded LPGs
2.1. Coupling Matrices
2.1.1. A Single LPG
2.1.2. A Cascaded LPG (C LPG)
2.2. Particular Cases
2.2.1. Non-Uniform and Uniform Structures
2.2.2. Effect of Dispersion
- (A)
- Linear dependence
- (B) Non-linear dependence and double resonance LPGs
3. Experimental Section
3.1. Experimental Setup
3.2. CO2 Laser Writing Process
3.2.1. Fabrication Procedure
- (i)
- The particular grating pattern was drawn using the built-in software.
- (ii)
- A section of about 10 cm of photosensitive PS1250/1500 fiber was cleaved, spliced in between SMF-28 lead-in/lead-out fibers and stripped bare over the whole length.
- (iii)
- The fiber was placed and fixed to one of the holders and kept straight with a small weight of ≈3 g over a pulley at the other end.
- (iv)
- The writing process was performed in air until the preprogrammed number of periods N was completed, which is considered as a writing scan.
- (v)
- The changes in the spectrum were controlled during the writing process, which was carried out as consecutive scans if a single scan at a particular relative power was not sufficient to achieve the desired results. It should be noted that in air, the spectrum has a slight dip and is away from splitting.
- (vi)
- After each scan, the LPG was immersed in the water bath to check if the LPG splits in water.
- (vii)
- The process continues with the next scan until the LPG spectrum splits in water.
3.2.2. Fine-Tuning Procedure
- (i)
- The spectrum of the DR LPG is measured in water.
- (ii)
- The LPGs are then lifted from the U-shaped water container and are moved to a similar container filled with HF acid.
- (iii)
- The grating is kept in the acid, and the spectrum is monitored continuously.
- (iv)
- As the spectrum approaches the TAP, the grating is returned to the water bath upon the TECs.
- (v)
- The temperature of the etched grating is varied to establish at what exact temperature the grating splits.The etching procedure typically yields a maximum fine-tuning rate of about a 0.5 nm/s decrease in the split, as is evident from Figure 5.
4. Results
4.1. Postfabrication Tuning
4.1.1. Etching to TAP
4.1.2. Fine-Tuning to TAP by Means of Longitudinal Strain
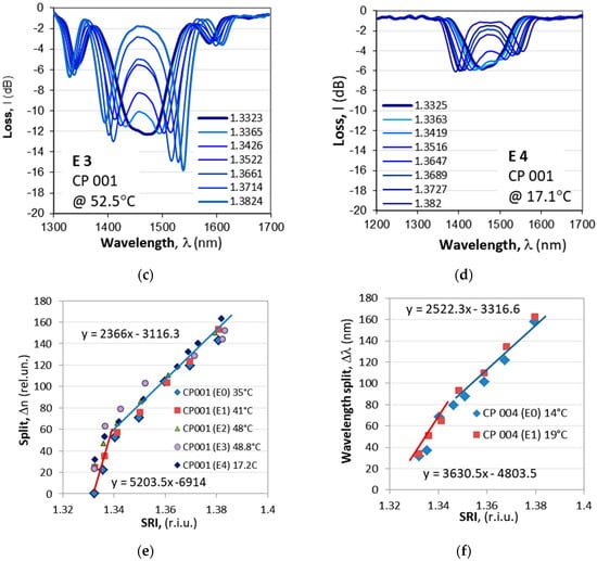
4.2. Responses and Sensitivities to the Measurands
Responses and Sensitivities to SRI
- (i)
- The cascaded DR LPG (CP 001) is narrower Δλ0 = 171 nm (E0) vs. ΔΛ = 260 nm for the DR LPG (P064). The spectral width Δλ0 above was measured prior to etching, but after etching it was 175 nm (E 1), 205nm (E 2 @ 9 °C), 175 nm (E 2 @ 48 °C), 181nm (E 3 @ 10.5 °C) and 177nm (E 3 @ 52.5 °C), and it essentially remains the same.
- (ii)
- The minima of the cascaded DR LPG are narrower compared to those of the ordinary DR LPG.
- (iii)
- The cascaded LPG exhibits additional minima because of the equivalent interferometer arrangements which shift at a lower sensitivity compared to the inner minima.
- (i)
- The average sensitivity of the simple DR LPGs is higher by about 9% than the average sensitivity of the cascaded DR LPGs for SRI > 1.35.
- (ii)
- The sensitivity of the cascaded DR LPGs around water (SRI = 1.33 ÷ 1.35) is on average about 56% higher than the average sensitivity of the simple DR LPGs.
- (iii)
- The variance of the sensitivities around lower SRI for the cascaded DR LPGs is quite large and can vary by up to 70%.
4.3. Response and Sensitivity to Temperature
4.3.1. Spectral Evolution
4.3.2. Sensitivity Curves
4.4. Sensitivity to Strain
5. Discussion
6. Conclusions
Author Contributions
Funding
Data Availability Statement
Conflicts of Interest
References
- Vengsarkar, A.M.; Lemaire, P.J.; Judkins, J.B.; Bhatia, V.; Erdogan, T.; Sipe, J.E. Long period fiber gratings as band-rejection filters. J. Light. Technol. 1996, 14, 58–65. [Google Scholar] [CrossRef]
- Erdogan, T. Fiber grating spectra. J. Light. Technol. 1997, 15, 1277–1294. [Google Scholar] [CrossRef]
- Martinez-Rios, A.; Monzon-Hernandez, D.; Torres-Gomez, I.; Salceda-Delgado, G. Long Period Fibre Gratings. In Fiber Optic Sensors; IntechOpen: London, UK, 2012; pp. 275–294. [Google Scholar] [CrossRef]
- Chaubey, S.; Kher, S.; Kishore, J.; Oak, S.M. CO2 laser-inscribed low-cost, shortest-period long-period fibre grating in B–Ge co-doped fibre for high-sensitivity strain measurement. Pramana—J. Phys. 2014, 82, 373–377. [Google Scholar] [CrossRef]
- Bhatia, V. Applications of long-period gratings to single and multi-parameter sensing. Opt. Express 1999, 4, 457–466. [Google Scholar] [CrossRef]
- Cai, J.; Liu, Y.; Shu, X. Long-Period Fiber Grating Sensors for Chemical and Biomedical Applications. Sensors 2023, 23, 542. [Google Scholar] [CrossRef]
- Liu, Y.; Williams, J.A.R.; Zhang, L.; Bennion, I. Phase shifted and cascaded long-period fiber gratings. Opt. Commun. 1999, 164, 27–31. [Google Scholar] [CrossRef]
- Han, Y.-G.; Lee, B.H.; Han, W.-T.; Paek, U.-C.; Chung, Y. Fibre-optic sensing applications of a pair of long-period fibre gratings. Meas. Sci. Technol. 2001, 12, 778–781. [Google Scholar] [CrossRef]
- Eftimov, T.; Koffi, N.G.; Lesage, F.; Mikulic, P.; Bock, W.J. Responses to temperature and thermal gradients of non-uniform cascaded LPGs taking into account dispersion. Opt. Fiber Technol. 2020, 55, 102098. [Google Scholar] [CrossRef]
- Jin, L.; Jin, W.; Ju, J.; Wang, Y. Coupled Local-Mode Theory for Strongly Modulated Long Period Gratings. J. Light. Technol. 2010, 28, 1745–1751. [Google Scholar]
- Lan, X.; Han, Q.; Wei, T.; Huang, J.; Xiao, H. Turn-Around-Point Long-Period Fiber Gratings Fabricated by CO2 Laser Point-by-Point Irradiations. IEEE Photonics Technol. Lett. 2011, 23, 1664–1666. [Google Scholar] [CrossRef]
- Shen, F.; Zhou, K.; Zhang, L.; Shu, X. Long Period Fiber Grating around the Dispersion Turning Point Fabricated with a Femtosecond Laser. In Proceedings of the Asia Communications and Photonics Conference, Guangzhou, China, 10–13 November 2017; OSA Technical Digest (online). Optica Publishing Group: Washington, DC, USA, 2017. paper Su2A.104. [Google Scholar]
- Gambhir, M.; Gupta, S. Review of Turn around Point Long Period Fiber Gratings. J. Sens. Technol. 2015, 5, 81–89. [Google Scholar] [CrossRef]
- Dey, T.K.; Tombelli, S.; Biswas, P.; Giannetti, A.; Basumallick, N.; Baldini, F.; Bandyopdhayay, S.; Trono, C. Analysis of the Lowest Order Cladding Mode of Long Period Fiber Gratings near Turn Around Point. J. Light. Technol. 2020, 39, 4006–4012. [Google Scholar] [CrossRef]
- Wong, R.Y.-N.; Juan, D.H.; Ibsen, M.; Shum, P.P. Optical Fibre Long-Period Grating Sensors Operating at and around the Phase Matching Turning Point. In Applications of Optical Fibers for Sensing; IntechOpen: London, UK, 2019. [Google Scholar] [CrossRef]
- Dey, T.K.; Tombelli, S.; Roy, A.; Biswas, P.; Giannetti, A.; Basumallick, N.; Baldini, F.; Bandyopadhyay, S.; Trono, C. Sensitivity Analysis of Sidelobes of the Lowest Order Cladding Mode of Long Period Fiber Gratings at Turn Around Point. Sensors 2022, 22, 2965. [Google Scholar] [CrossRef] [PubMed]
- Xiao, A.; Du, J.; Ling, Q.; Chen, Y.; Gu, Z.; Chen, H.; Yu, Z.; Mao, B.-M.; Guan, Z.; Chen, D. Angularly Cascaded Long-Period Fiber Grating for Curvature and Temperature Detection. Sensors 2024, 24, 184. [Google Scholar] [CrossRef] [PubMed]
- Trono, C. Long period fiber grating-based biosensing: Recent trends and future perspectives. Trends Anal. Chem. 2024, 179, 117875. [Google Scholar] [CrossRef]
- Gu, Z.; Xu, Y.; Deng, C.; Zhang, J. Dual peak resonance and transmission spectrum characteristics in a coated long-period fiber grating. J. Opt. A Pure Appl. Opt. 2009, 11, 085701. [Google Scholar] [CrossRef]
- Zawisza, R.; Eftimov, T.; Mikulic, P.; Bock, W.J.; Jaroszewicz, L.R. Ambient Refractive-Index Measurement with Simultaneous Temperature Monitoring Based on a Dual-Resonance Long-Period Grating Inside a Fiber Loop Mirror Structure. Sensors 2018, 18, 2370. [Google Scholar] [CrossRef]
- Dey, T.K.; Tombelli, S.; Biswas, P.; Giannetti, A.; Basumallick, N.; Baldini, F.; Bandyopadhyay, S.; Trono, C. Realization of Enhanced Evanescent Field Long Period Fiber Grating near turn Around Point for Label-Free Immunosensing. Proceedings 2020, 60, 9. [Google Scholar] [CrossRef]
- Dyankov, G.; Eftimov, T.; Hikova, E.O.; Najdenski, H.; Kusovski, V.; Genova-Kalou, P.; Mankov, V.; Kisov, H.; Veselinov, P.; Ghaffari, S.S.; et al. SPR and Double Resonance LPG biosensors for Helicobacter pylori BabA Antigen Detection. Sensors 2024, 24, 2118. [Google Scholar] [CrossRef] [PubMed]
- Eftimov, T.; Genova-Kalou, P.; Dyankov, G.; Bock, W.J.; Mankov, V.; Ghaffari, S.S.; Veselinov, P.; Arapova, A.; Makouei, S. Capabilities of Double Resonance LPG and SPR Methods for Hypersensitive Detection of SARS-CoV-2 Structural proteins: A Comparative Study. Biosensors 2023, 13, 318. [Google Scholar] [CrossRef]
- Janik, M.; Koba, M.; Król, K.; Mikulic, P.; Bock, W.J.; Śmietana, M. Combined Long-Period Fiber Grating and Microcavity In-Line Mach–Zehnder Interferometer for Refractive Index Measurements with Limited Cross-Sensitivity. Sensors 2020, 20, 2431. [Google Scholar] [CrossRef] [PubMed]
- Feng, W.; Gu, Z. Design of a high-sensitivity cascaded long-period fiber grating sensor operating at PMTP. J. Opt. Soc. Am. B 2018, 35, 2788–2793. [Google Scholar] [CrossRef]
- Lazareva, E.N.; Tuchin, V.V. Blood refractive index modelling in the visible and near infrared spectral regions. J. Biomed. Photonics Eng. 2018, 4, 010503. [Google Scholar] [CrossRef]
- Zhou, W.; Ran, Y.; Yan, Z.; Sun, Q.; Liu, C.; Liu, D. Sensitivity Characterization of Cascaded Long-Period Gratings Operating near the Phase-Matching Turning Point. Sensors 2020, 20, 5978. [Google Scholar] [CrossRef] [PubMed]



















| # | Label | 2 × N + L0 | n × p (%) 30 W max | S(I) 1.33 to 1.35 | S(II) > 1.35 | @ T(°C) |
|---|---|---|---|---|---|---|
| 1 | CP 001 | 2 × 80 + 6 mm | 1 × 13.3% | 4182.7 | 2369.1 | 20 |
| 2 | CP 004 | 2 × 118 + 13 mm | 1 × 13.3% | 3354.6 | 2273.3 | 22.5 |
| 3 | CP 005 | 2 × 80 + 6 mm | 1 × 13.3% | 3518.4 | 2518 | 24.2 |
| 4 | CP 013 | 2 × 118 + 13 mm | 1 × 14.2% | 4231.1 | 2342.3 | 25.5 |
| 5 | CP 014 | 2 × 118 + 13 mm | 1 × 14.2% | 3385.4 | 2555.3 | 23 |
| 6 | CP 015 | 2 × 118 + 13 mm | 6 × 14% | 4602.5 | 2399.1 | 22.5 |
| 7 | CP 017 | 2 × 118 + 13 mm | 1 × 14.2% | 3549 | 2728.5 | 20.5 |
| 8 | CP 018 | 2 × 118 + 13 mm | 3 × 14% | 5457.4 | 2634.1 | 25.5 |
| 9 | CP 019 | 2 × 118 + 20 mm | 1 × 14.3% | 5063.2 | 2476.9 | 22.7 |
| 10 | CP 020 | 2 × 118 + 20 mm | 1 × 14.3% | 3816.9 | 2599.3 | 20.5 |
| 11 | CP 022 | 2 × 118 + 20 mm | 1 × 14.4% | 4475.2 | 2893.2 | 22 |
| 12 | CP 023 | 2 × 118 + 20 mm | 1 × 14.4% | 3201.8 | 3090.2 | 25 |
| Etching Stage | Low-Temperature Split | Mid-Temperature Split | High-Temperature Split |
|---|---|---|---|
| E 0 (prior to etching) | <5 °C (≈0 °C) @ −4 °C | 36 °C @ −7 dB | >70 °C |
| Etching Stage | Low-Temperature Split | High-Temperature Split |
|---|---|---|
| E 0 (prior to etching) | 15 °C @ −4.2 dB | 50 °C @ −2.3 dB |
| Etching Stage | Low-Temperature Split | High-Temperature Split |
|---|---|---|
| E 0 (prior to etching) | <0 °C | 36 °C @ −14 dB |
| E 1 (after 1st etching) | 5.2 °C @ −3 dB | 41.1 °C @ −16 dB |
| E 2 (after 2nd etching) | 10 °C @ −5.8 dB | 46.5 °C @ −16 dB |
| E 3 (after 3rd etching) | 12 °C @ −6.2 dB | 52 °C @ −16 dB |
| E 4 (after 4th etching) | 17.2 °C @ −6.5 dB | 58 °C @ −16 dB |
| # | Label | Tb (°C) | C | C0 | TAP Temperature (°C) | STAP (nm/°C) |
|---|---|---|---|---|---|---|
| 1 | CP 001 | 8.6 | 191.32 | −296.53 | 20.8 | 15.68 |
| 2 | CP 004 | 16.8 | 92.219 | −124.2 | 22.5 | 16.18 |
| 3 | CP 005 | 19.3 | 106.24 | −174.79 | 25.8 | 16.34 |
| 4 | CP 013 | 18.1 | 99.381 | −167.9 | 24.8 | 14.83 |
| 5 | CP 014 | 13.2 | 126.85 | −275.26 | 23.8 | 11.97 |
| 6 | CP 015 | 13.7 | 121.97 | −244.41 | 22.4 | 14.02 |
| 7 | CP 017 | 17.7 | 99.949 | −154.49 | 23.2 | 18.17 |
| 8 | CP 018 | 16.6 | 119.01 | −237.53 | 25.8 | 12.94 |
| 9 | CP 019 | 18 | 100.94 | −154.28 | 23.8 | 17.40 |
| 10 | CP 020 | 15 | 98.373 | −154.45 | 21.4 | 15.37 |
| 11 | CP 022 | 14 | 121.51 | −247.33 | 22 | 15.19 |
| 12 | CP 023 | 19.3 | 106.24 | −174.79 | 25.8 | 16.34 |
Disclaimer/Publisher’s Note: The statements, opinions and data contained in all publications are solely those of the individual author(s) and contributor(s) and not of MDPI and/or the editor(s). MDPI and/or the editor(s) disclaim responsibility for any injury to people or property resulting from any ideas, methods, instructions or products referred to in the content. |
© 2025 by the authors. Licensee MDPI, Basel, Switzerland. This article is an open access article distributed under the terms and conditions of the Creative Commons Attribution (CC BY) license (https://creativecommons.org/licenses/by/4.0/).
Share and Cite
Eftimov, T.; Ghaffari, S.S.; Dyankov, G.; Vladev, V.; Arapova, A. Pulsed CO2 Laser-Fabricated Cascades of Double Resonance Long Period Gratings for Sensing Applications. Micromachines 2025, 16, 959. https://doi.org/10.3390/mi16080959
Eftimov T, Ghaffari SS, Dyankov G, Vladev V, Arapova A. Pulsed CO2 Laser-Fabricated Cascades of Double Resonance Long Period Gratings for Sensing Applications. Micromachines. 2025; 16(8):959. https://doi.org/10.3390/mi16080959
Chicago/Turabian StyleEftimov, Tinko, Sanaz Shoar Ghaffari, Georgi Dyankov, Veselin Vladev, and Alla Arapova. 2025. "Pulsed CO2 Laser-Fabricated Cascades of Double Resonance Long Period Gratings for Sensing Applications" Micromachines 16, no. 8: 959. https://doi.org/10.3390/mi16080959
APA StyleEftimov, T., Ghaffari, S. S., Dyankov, G., Vladev, V., & Arapova, A. (2025). Pulsed CO2 Laser-Fabricated Cascades of Double Resonance Long Period Gratings for Sensing Applications. Micromachines, 16(8), 959. https://doi.org/10.3390/mi16080959

