Miniaturized Dual and Quad Port MIMO Antenna Variants Featuring Elevated Diversity Performance for UWB and 5G-Midband Applications
Abstract
1. Introduction
2. Dual-Port MIMO Antenna
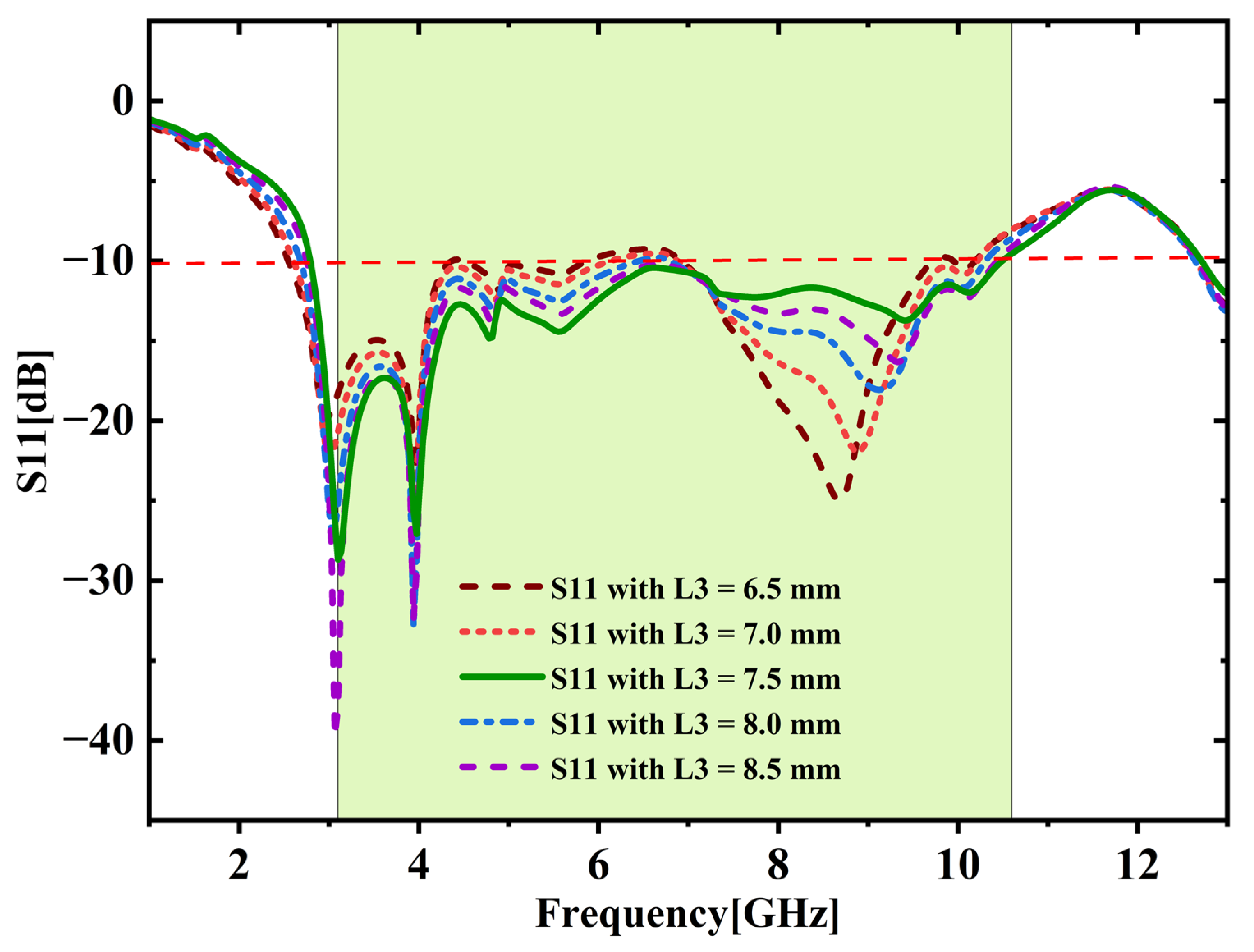
2.1. Geometry and Design Evolution
2.2. Antenna Measurements
2.3. Validation of S-Parameters: Simulation vs. Measurement (SXX and SXY)
2.4. Group Delay
2.5. Diversity Parameters
2.5.1. Envelope Correlation Coefficient (ECC)
2.5.2. Diversity Gain (DG)
2.5.3. Total Active Reflection Coefficient (TARC)
2.5.4. Mean Effective Gain (MEG)
2.6. Radiation Pattern
3. Quad-Port MIMO Antenna
3.1. Antenna Geometry and Design Evolution
3.2. Antenna Measurements
3.3. Validation of S-Parameters: Simulation vs. Measurement (SXX and SXY)
3.4. Diversity Analysis: ECC, DG, TARC and MEG
3.5. Radiation Pattern
4. Conclusions
Author Contributions
Funding
Data Availability Statement
Conflicts of Interest
References
- Xu, H.; Yang, L. Ultra-wideband technology: Yesterday, today, and tomorrow. In Proceedings of the 2008 IEEE Radio and Wireless Symposium (RWS), Orlando, FL, USA, 22–24 January 2008; pp. 715–718. [Google Scholar] [CrossRef]
- Federal Communications Commission. First Report and Order, Section IV-B. UWB Definitions: FCC 02-48: Revisions of Part 15 of the Commission’s Rules Regarding Ultrawideband Transmission Systems; Federal Communications Commission: Washington, DC, USA, 2002.
- Tarokh, V.; Naguib, A.F.; Seshadri, N.; Calderbank, A.R. Space-time codes for high data rate wireless communication: Mismatch analysis. IEEE Trans. Inf. Theory 2002, 44, 309–313. [Google Scholar] [CrossRef]
- Foschini, G.J. Layered space-time architecture for wireless communication in a fading environment when using multi-element antennas. Bell Labs Tech. J. 1996, 1, 41–59. [Google Scholar] [CrossRef]
- Tranter, J.W.; Taylor, D.P.; Ziemer, R.E.; Maxemchuk, N.F.; Mark, J.W. The Best of the Best: Fifty Years of Communications and Networking Research; IEEE Communications Society; IEEE Press: New York, NY, USA, 2007. [Google Scholar]
- Foschini, G.; Gans, M. On Limits of Wireless Communications in a Fading Environment when Using Multiple Antennas. Wirel. Pers. Commun. 1998, 6, 311–335. [Google Scholar] [CrossRef]
- Azim, R.; Mobashsher, A.; Islam, M.T.; Misran, N. Compact planar antenna for UWB applications. In Proceedings of the 2010 International Conference on Microwave and Millimeter Wave Technology (ICMMT), Chengdu, China, 8–11 May 2010; Volume 43, pp. 1987–1990. [Google Scholar] [CrossRef]
- Zhu, S.; Langley, R. Dual-band wearable textile antenna on an EBG substrate. IEEE Trans. Antennas Propag. 2009, 57, 926–935. [Google Scholar] [CrossRef]
- Jiang, Y.-T.; Zhang, H.; Xu, H.; Zhang, R.; Zeng, X.-F. A novel ultra-wideband antenna with band notch characteristic. In Proceedings of the 2012 International Conference on Microwave and Millimeter Wave Technology (ICMMT), Shenzhen, China, 5–8 May 2012; pp. 1–4. [Google Scholar] [CrossRef]
- Mishra, S.K.; Gupta, R.K.; Vaidya, A.; Mukherjee, J. A Compact Dual-Band Fork-Shaped Monopole Antenna for Bluetooth and UWB Applications. IEEE Antennas Wirel. Propag. Lett. 2011, 10, 627–630. [Google Scholar] [CrossRef]
- Sharawi, M.S.; Numan, A.B.; Khan, M.U.; Aloi, D.N. A Dual-Element Dual-Band MIMO Antenna System with Enhanced Isolation for Mobile Terminals. IEEE Antennas Wirel. Propag. Lett. 2012, 11, 1006–1009. [Google Scholar] [CrossRef]
- Li, M.; Zhong, B.G.; Cheung, S.W. Isolation Enhancement for MIMO Patch Antennas Using Near-Field Resonators as Coupling-Mode Transducers. IEEE Trans. Antennas Propag. 2019, 67, 755–764. [Google Scholar] [CrossRef]
- Kiani, S.H.; Savci, H.S.; Munir, M.E.; Sedik, A.; Mostafa, H. An Ultra-Wide Band MIMO Antenna System with Enhanced Isolation for Microwave Imaging Applications. Micromachines 2023, 14, 1732. [Google Scholar] [CrossRef]
- Jabire, A.H.; Podilchak, S.K.; Antar, Y.M.M.; Smolskiy, S. Design of a Compact UWB/MIMO Antenna with High Isolation and Gain. In Proceedings of the 2020 IEEE Microwave Theory and Techniques in Wireless Communications (MTTW), Riga, Latvia, 5–7 October 2020; pp. 72–75. [Google Scholar] [CrossRef]
- Wang, L.; Chen, Z.N.; See, T.S.P.; Wu, B.; Yang, Y. Compact UWB MIMO Antenna with High Isolation Using Fence-Type Decoupling Structure. IEEE Antennas Wirel. Propag. Lett. 2019, 18, 1641–1645. [Google Scholar] [CrossRef]
- Bahmanzadeh, F.; Mohajeri, F. Simulation and Fabrication of a High-Isolation Very Compact MIMO Antenna for Ultra-Wide Band Applications with Dual Band-Notched Characteristics. AEU-Int. J. Electron. Commun. 2021, 128, 153505. [Google Scholar] [CrossRef]
- Babu, K.V.; Anuradha, B. Design of UWB MIMO Antenna to Reduce the Mutual Coupling Using Defected Ground Structure. Wirel. Pers. Commun. 2021, 118, 3469–3484. [Google Scholar] [CrossRef]
- Chen, H.N.; Song, J.-M.; Park, J.-D. A Compact Circularly Polarized MIMO Dielectric Resonator Antenna over Electromagnetic Band-Gap Surface for 5G Applications. IEEE Access 2019, 7, 140889–140898. [Google Scholar] [CrossRef]
- Du, Z.; Zhang, X.; Qin, P.; Pu, Y.; Xi, X. Introduction of the Orthogonal Mode via the Polarization Conversion Parasitic Structure for the Isolation Enhancement of MIMO Patch Antennas. Int. J. Microw. Wirel. Technol. 2024, 16, 893–901. [Google Scholar] [CrossRef]
- Thongbor, P.; Ruengwaree, A.; Pirajnanchai, V.; Naktong, W.; Fhafhiem, N. Rectangular Monopole Antenna with Arrow-Shaped Slot Etching for UWB-MIMO Application. In Proceedings of the 13th International Conference on Electrical Engineering/Electronics, Computer, Telecommunications and Information Technology (ECTI-CON), Chiang Mai, Thailand, 28 June–1 July 2016; pp. 1–4. [Google Scholar] [CrossRef]
- Liu, R.; An, X.; Zheng, H.; Wang, M.; Gao, Z.; Li, E. Neutralization Line Decoupling Tri-Band Multiple-Input Multiple-Output Antenna Design. IEEE Access 2020, 8, 27018–27026. [Google Scholar] [CrossRef]
- Malviya, L.; Chouhan, S. Multi-Cut Four-Port Shared Radiator with Stepped Ground and Diversity Effects for WLAN Application. Int. J. Microw. Wirel. Technol. 2019, 11, 1044–1053. [Google Scholar] [CrossRef]
- Mohanty, A.; Sahu, S. Integration of Coupling Resonator as Port-Isolator and MMLC-Minkowski Fractal Loop for Wi-Max Rejection in 4-Port Compact UWB MIMO Antenna. J. Electromagn. Waves Appl. 2021, 35, 1359–1377. [Google Scholar] [CrossRef]
- Chen, Z.N.; See, T.S.P.; Qing, X. Small Printed Ultrawideband Antenna with Reduced Ground Plane Effect. IEEE Trans. Antennas Propag. 2007, 55, 383–388. [Google Scholar] [CrossRef]
- Moses, A.T.Z.; Moses, N.; Janapala, D.K. An Electrically Small 4-Port Self-Decoupled MIMO Antenna Pairs Operating in n78 5G NR Band for Smartphone Applications. AEU—Int. J. Electron. Commun. 2022, 145, 154082. [Google Scholar] [CrossRef]
- Addepalli, T.; Anitha, V.R. Parametric Analysis of Compact UWB-MIMO Antenna with Improved Isolation Using Parasitic Reflectors and Protruded Ground Strips. Wirel. Pers. Commun. 2022, 123, 2209–2225. [Google Scholar] [CrossRef]
- Serghiou, D.; Khalily, M.; Singh, V.; Araghi, A.; Tafazolli, R. Sub-6 GHz Dual-Band 8×8 MIMO Antenna for 5G Smartphones. IEEE Antennas Wirel. Propag. Lett. 2020, 19, 1546–1550. [Google Scholar] [CrossRef]
- Kapure, V.R.; Rathod, S.S. A Two-Element EBG-Inspired UWB MIMO Antenna with Triple Band Notched Characteristics and High Isolation. Sādhanā 2023, 48, 7. [Google Scholar] [CrossRef]
- Khalil, M.I.; Elkamchouchi, H.M.; Elhennawy, H.M. A Flower-Shaped Miniaturized UWB-MIMO Antenna with High Isolation. Electronics 2022, 11, 2190. [Google Scholar] [CrossRef]
- Agarwal, M.; Dhanoa, J.K.; Khandelwal, M.K. Ultrawide Band Two-Port MIMO Diversity Antenna with Triple Notch Bands, Stable Gain and Suppressed Mutual Coupling. AEU Int. J. Electron. Commun. 2020, 120, 153225. [Google Scholar] [CrossRef]
- Kumari, T.; Das, G.; Sharma, A.; Gangwar, R.K. Design Approach for Dual Element Hybrid MIMO Antenna Arrangement for Wideband Applications. Int. J. RF Microw. Comput.-Aided Eng. 2019, 29, e21486. [Google Scholar] [CrossRef]
- Kumar, A.; Ansari, A.Q.; Kanaujia, B.K.; Kishor, J.; Tewari, N. Design of Triple-Band MIMO Antenna with One Band-Notched Characteristic. Prog. Electromagn. Res. C 2018, 86, 41–53. [Google Scholar] [CrossRef]
- Bhatti, R.A.; Choi, J.-H.; Park, S.-O. Quad-Band MIMO Antenna Array for Portable Wireless Communications Terminals. IEEE Antennas Wirel. Propag. Lett. 2009, 8, 129–132. [Google Scholar] [CrossRef]
- Ghosh, P.; Gorai, A.; Behera, S.; Ghatak, R. Design of Compact UWB Antenna Using Characteristic Mode Analysis and Its Quad-Port MIMO Realization with Novel Isolation Technique. J. Electromagn. Waves Appl. 2024, 38, 443–459. [Google Scholar] [CrossRef]
- Ahmad, S.; Ullah, U.; Khan, M.J.; Ali, A.; Alibakhshikenari, M.; See, C.H.; Abd-Alhameed, R.A. A Compact CPW-Fed Ultra-Wideband Multi-Input-Multi-Output (MIMO) Antenna for Wireless Communication Networks. IEEE Access 2022, 10, 25278–25289. [Google Scholar] [CrossRef]
- Wu, A.; Zhao, M.; Zhang, P.; Zhang, Z. A Compact Four-Port MIMO Antenna for UWB Applications. Sensors 2022, 22, 5788. [Google Scholar] [CrossRef]
- Rekha, V.S.D.; Pardhasaradhi, P.; Madhav, B.T.P.; Devi, Y.U. Dual Band Notched Orthogonal 4-Element MIMO Antenna with Isolation for UWB Applications. IEEE Access 2020, 8, 145871–145880. [Google Scholar] [CrossRef]
- Raheja, D.K.; Kanaujia, B.K.; Kumar, S. Compact Four-Port MIMO Antenna on Slotted-Edge Substrate with Dual-Band Rejection Characteristics. Int. J. RF Microw. Comput.-Aided Eng. 2019, 29, e21756. [Google Scholar] [CrossRef]
- Kayabasi, A.; Toktas, A.; Yigit, E.; Sabanci, K. Triangular Quad-Port Multi-Polarized UWB MIMO Antenna with Enhanced Isolation Using Neutralization Ring. AEU—Int. J. Electron. Commun. 2018, 85, 47–53. [Google Scholar] [CrossRef]
- Kiem, N.K.; Phuong, H.N.B.; Chien, D.N. Design of Compact 4 × 4 UWB-MIMO Antenna with WLAN Band Rejection. Int. J. Antennas Propag. 2014, 2014, 539094. [Google Scholar] [CrossRef]

























| Parameters | Measurement (mm) | Parameters | Measurement (mm) | Parameters | Measurement (mm) |
|---|---|---|---|---|---|
| L | 30 | L10 | 17 | W5 | 1 |
| L1 | 7.5 | L11 | 19 | W6 | 3 |
| L2 | 3.5 | L12 | 5 | W7 | 5 |
| L3 | 1 | L13 | 11 | W8 | 1.5 |
| L4 | 3 | L14 | 0.5 | W9 | 1 |
| L5 | 0.5 | W | 41 | W10 | 4 |
| L6 | 12 | W1 | 12 | W11 | 12 |
| L7 | 2 | W2 | 1 | W12 | 1 |
| L8 | 2 | W3 | 0.5 | W13 | 2 |
| L9 | 7 | W4 | 2.5 |
| Ref No/Published Year | Size (mm3) | UWB Bandwidth (GHz) | Isolation (dB) | ECC | DG (dB) | TARC (dB) | MEG (dB) | Peak Gain (dBi) | No. of Ports |
|---|---|---|---|---|---|---|---|---|---|
| [28]/2023 | 47 × 38 × 0.8 | 2.9–11.0 | 20 | 0.003 | 9.99 | <0 | ≈1 | 4.1 | 2 |
| [29]/2022 | 30 × 18 × 1.6 | 4.3–15.63 | 20 | <0.007 | 9.96 | NR * | NR | 5.3 | 2 |
| [30]/2020 | 38.5 × 38.5 × 1.6 | 3.0–11.0 | 25 | 0.047 | 9.8 | NR | NR | 6.0 | 2 |
| [31]/2019 | 59 × 55 × 8.1 | 3.0–7.0 | 18 | <0.21 | 9.64 | NR | NR | 4 | 2 |
| [32]/2018 | 50 × 30 × 1.6 | 3.0–16.0 | 16 | <0.01 | NR | <0 | ≈1 | 3.0 | 2 |
| [33]/2009 | 50 × 100 × 1.6 | 2.0–6.0 | 15 | <0.01 | 9.6 | NR | ≈1 | 6.0 | 2 |
| P.A. 1 | 30 × 41 × 1.6 | 2.6–10.8 | 20 | <0.007 | 9.96 | <−10 | 0.3 | 6.3 | 2 |
| Diversity Parameters | Selected Frequencies (GHz) | |||||
|---|---|---|---|---|---|---|
| 4 | 5 | 7 | 8 | 9 | 10 | |
| ECC | 0.00234 | 0.00096 | 0.0008 | 0.00203 | 0.00318 | 0.00582 |
| TARC [dB] | −11.957 | −14.048 | −16.337 | −15.537 | −16.449 | −16.462 |
| MEG [dB] | 0.1872 | 0.04518 | −0.3100 | 0.0050 | 0.1260 | 0.13069 |
| DG [dB] | 9.98827 | 9.99519 | 9.99558 | 9.98983 | 9.98411 | 9.97085 |
| Parameters | Measurement (mm) | Parameters | Measurement (mm) | Parameters | Measurement (mm) |
|---|---|---|---|---|---|
| L1 | 60 | L10 | 6 | W6 | 1 |
| L2 | 12 | L11 | 38 | W7 | 3 |
| L3 | 7.5 | L12 | 4 | W8 | 2 |
| L4 | 3 | L13 | 0.5 | W9 | 4 |
| L5 | 0.5 | W1 | 41 | W10 | 2 |
| L6 | 1 | W2 | 40 | W11 | 5 |
| L7 | 11 | W3 | 12 | W12 | 1 |
| L8 | 5 | W4 | 0.5 | W13 | 16 |
| L9 | 17 | W5 | 2.5 |
| Ref No/Published Year | Size (mm3) | UWB Bandwidth (GHz) | Isolation (dB) | ECC | DG (dB) | TARC (dB) | MEG (dB) | Gain (dBi) | No. of Ports |
|---|---|---|---|---|---|---|---|---|---|
| [34]/2024 | 40 × 40 × 1.6 | 2.51–18 | 16 | <0.1 | ≈10 | NR * | NR | 3.5 | 4 |
| [35]/2022 | 60 × 60 × 1.6 | 3.0–11.0 | 20 | <0.02 | 9.98 | <−10 | NR | 3.4 | 4 |
| [36]/2022 | 45 × 45 × 1.6 | 3.1–13.1 | 17 | <0.02 | 9.9985 | <−25 | NR | 4 | 4 |
| [37]/2020 | 80 × 80 × 1.6 | 2.1–20 | 25 | <0.02 | 9.99 | NR | NR | 5.8 | 4 |
| [38]/2019 | 58 × 58 × 1.6 | 3.0–13.5 | 22 | <0.008 | ≈10 | NR | NR | 2.9 | 4 |
| [39]/2018 | 75.19 × 75.19 × 1.6 | 3.1–17.3 | 13 | <0.1 | NR | NR | NR | 5.5 | 4 |
| [40]/2014 | 60 × 60 × 1.6 | 2.7–10.6 | 15 | <0.063 | NR | NR | NR | 3.5 | 4 |
| P.A. 1 | 60 × 41 × 1.6 | 2.6–10.8 | 15 | <0.05 | 9.65 | <−10 | 0.3 | 6.12 | 4 |
| Diversity Parameters | Selected Frequencies (GHz) | |||||
|---|---|---|---|---|---|---|
| 4 | 5 | 7 | 8 | 9 | 10 | |
| ECC12 | 0.00002 | 0.00074 | 0.00017 | 0.00006 | 0.00286 | 0.00942 |
| TARC [dB] | −14.697 | −21.360 | −18.238 | −15.949 | −27.040 | −14.773 |
| MEG12 [dB] | 0.1872 | 0.0451 | −0.3100 | 0.0276 | 0.1260 | 0.1306 |
| DG12 [dB] | 9.9998 | 9.99626 | 9.9991 | 9.9996 | 9.9857 | 9.9528 |
Disclaimer/Publisher’s Note: The statements, opinions and data contained in all publications are solely those of the individual author(s) and contributor(s) and not of MDPI and/or the editor(s). MDPI and/or the editor(s) disclaim responsibility for any injury to people or property resulting from any ideas, methods, instructions or products referred to in the content. |
© 2025 by the authors. Licensee MDPI, Basel, Switzerland. This article is an open access article distributed under the terms and conditions of the Creative Commons Attribution (CC BY) license (https://creativecommons.org/licenses/by/4.0/).
Share and Cite
Ramanathan, K.; Gopalakrishnan, S.; Chandrakanthan, T. Miniaturized Dual and Quad Port MIMO Antenna Variants Featuring Elevated Diversity Performance for UWB and 5G-Midband Applications. Micromachines 2025, 16, 716. https://doi.org/10.3390/mi16060716
Ramanathan K, Gopalakrishnan S, Chandrakanthan T. Miniaturized Dual and Quad Port MIMO Antenna Variants Featuring Elevated Diversity Performance for UWB and 5G-Midband Applications. Micromachines. 2025; 16(6):716. https://doi.org/10.3390/mi16060716
Chicago/Turabian StyleRamanathan, Karthikeyan, Srivatsun Gopalakrishnan, and Thrisha Chandrakanthan. 2025. "Miniaturized Dual and Quad Port MIMO Antenna Variants Featuring Elevated Diversity Performance for UWB and 5G-Midband Applications" Micromachines 16, no. 6: 716. https://doi.org/10.3390/mi16060716
APA StyleRamanathan, K., Gopalakrishnan, S., & Chandrakanthan, T. (2025). Miniaturized Dual and Quad Port MIMO Antenna Variants Featuring Elevated Diversity Performance for UWB and 5G-Midband Applications. Micromachines, 16(6), 716. https://doi.org/10.3390/mi16060716

