The Effect of Through-Silicon-Via Thermal Stress on Metal-Oxide-Semiconductor Field-Effect Transistor Properties Under Cooling to Ultra-Low Temperatures
Abstract
1. Introduction
2. Thermal Stress Characteristics of TTSV
2.1. Simulation and Analysis Conditions
2.2. Thermal Stress Distribution of TTSV
3. Variation Analysis of Carrier Mobility
4. Electrical Performance Analysis of MOSFET
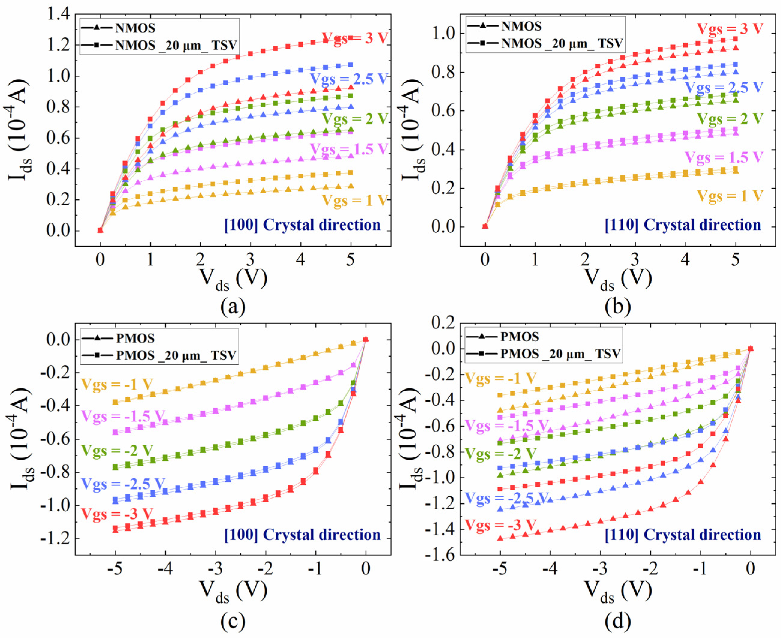
4.1. Saturation Current
4.2. Threshold Voltage
5. Conclusions
Author Contributions
Funding
Data Availability Statement
Conflicts of Interest
References
- Hao, Y.; Xiang, S.; Han, G.; Zhang, J.; Li, M. Recent progress of integrated circuits and optoelectronic chips. Sci. China Inform. Sci. 2021, 64, 201401. [Google Scholar] [CrossRef]
- Jeong, J.; Geum, D.M.; Kim, S.H. Heterogeneous and monolithic 3-D integration technology for mixed-signal ICs. Electronics 2022, 11, 3013. [Google Scholar] [CrossRef]
- Cheng, Y.Q.; Guo, X.C.; Pavlidis, V.F. Emerging monolithic 3D integration: Opportunities and challenges from the computer system perspective. Integration 2022, 85, 97–107. [Google Scholar] [CrossRef]
- Hu, R.; Yu, L. Review on 3D growth engineering and integration of nanowires for advanced nanoelectronics and sensor applications. Nanotechnology 2022, 33, 222002. [Google Scholar] [CrossRef] [PubMed]
- Yost, D.R.W.; Schwartz, M.E.; Mallek, J.; Rosenberg, D.; Stull, C.; Yoder, J.L.; Calusine, G.; Cook, M.; Das, R.; Day, A.L.; et al. Solid-state qubits integrated with superconducting through silicon vias. NPJ Quantum Inf. 2020, 6, 59. [Google Scholar] [CrossRef]
- Rosenberg, D.; Weber, S.J.; Conway, D.; Yost, D.W.; Mallek, J.; Calusine, G. Solid-state qubits: 3D integration and packaging. IEEE Microw. Mag. 2020, 21, 72–85. [Google Scholar] [CrossRef]
- Rosenberg, D.; Kim, D.; Das, R.; Yost, D.; Gustavsson, S.; Hover, D.; Krantz, P.; Melville, A.; Racz, L.; Samach, G.O.; et al. 3D integrated superconducting qubits. NPJ Quantum Inf. 2017, 3, 42. [Google Scholar] [CrossRef]
- Wang, Z.Y. Three-Dimensional Integration Technology, 1st ed.; Tsinghua University Press: Beijing, China, 2014; pp. 6–40. [Google Scholar]
- Wang, K.J.; Sun, H.C.; Li, C.L.; Wang, G.D.; Zhu, H.W. Thermal management of the hotspots in 3-D integrated circuits. Therm. Sci. 2018, 22, 1685–1690. [Google Scholar] [CrossRef]
- Chandrakar, S.; Gupta, D.; Majumder, M.K. Role of through silicon via in 3D integration: Impact on delay and power. J. Circuits Syst. Comput. 2020, 30, 2150051. [Google Scholar] [CrossRef]
- Reichl, J.; Ortiz-Rodriguez, J.M.; Hefner, A.; Lai, J. 3-D thermal component model for electrothermal analysis of multichip power modules with experimental validation. IEEE Trans. Power Electron. 2014, 30, 3300–3308. [Google Scholar] [CrossRef]
- Yang, X.; Xu, S.; Heng, K.; Wu, X. Distributed thermal modeling for power devices and modules with equivalent heat flow path extraction. IEEE J. Emerging Sel. Top. Power Electron. 2023, 11, 5863–5876. [Google Scholar] [CrossRef]
- Lee, I.; Cheong, M.; Kang, S. Highly reliable redundant TSV architecture for clustered faults. IEEE Trans. Rel. 2019, 68, 237–247. [Google Scholar] [CrossRef]
- Jain, A.; Jones, R.E.; Chatterjee, R.; Pozder, S. Analytical and numerical modeling of the thermal performance of three-dimensional integrated circuits. IEEE Trans. Compon. Packag. Technol. 2010, 33, 2067–2075. [Google Scholar] [CrossRef]
- Maity, D.K.; Roy, S.K.; Giri, C. Built-in Self-prevention (BISP) for runtime ageing effects of TSVs in 3D ICs. Integration. 2024, 94, 102088. [Google Scholar] [CrossRef]
- Lau, J.H. Overview and outlook of through-silicon via (TSV) and 3D integrations. Microelectron. Int. 2011, 28, 8–22. [Google Scholar] [CrossRef]
- Feng, W.; Kikuchi, K.; Hidaka, M.; Yamamori, H.; Araga, Y.; Makise, K.; Kawabata, S. Thermal management of a 3D packaging structure for superconducting quantum annealing machines. Appl. Phys. Lett. 2021, 118, 174004. [Google Scholar] [CrossRef]
- Wu, M. Thermal simulation analysis of TTSV in three-dimensional integrated circuits. Electr. Eng. 2023, 21, 108–110. [Google Scholar]
- West, J.; Choio, Y.S.; Vartuli, C. Practical implications of via-middle Cu TSV-induced stress in a 28 nm CMOS technology for wide-IO logic-memory interconnect. In Proceedings of the 2012 Symposium on VLSI Technology (VLSIT), Honolulu, HI, USA, 12–4 June 2012; pp. 101–102. [Google Scholar]
- Pan, Y.X.; Li, F.; He, H.; Li, J.H.; Zhu, W.H. Effects of dimension parameters and defect on TSV thermal behavior for 3D IC packaging. Microelectron. Reliab. 2017, 70, 97–102. [Google Scholar] [CrossRef]
- Liao, S.D.; Huang, C.Y.; Zhang, H.Q.; Liu, S.F. Thermal stress study of 3D IC based on TSV and verification of thermal dissipation of STI. In Proceedings of the 2021 22nd International Conference on Electronic Packaging Technology (ICEPT), Xiamen, China, 14–17 September 2021; pp. 1–5. [Google Scholar]
- Jung, M.; Mitra, J.; Pan, D.Z.; Lim, S.K. TSV stress-aware full-chip mechanical reliability analysis and optimization for 3D IC. Commun. ACM 2014, 57, 107–115. [Google Scholar] [CrossRef]
- Weber, S.J.; Samach, G.O.; Hover, D.J.; Gustavsson, S.; Kim, D.K.; Melville, A.J.; Rosenberg, D.; Sears, A.P.; Yan, F.; Yoder, J.L.; et al. Coherent coupled qubits for quantum annealing. Phys. Rev. Appl. 2017, 8, 014004. [Google Scholar] [CrossRef]
- Song, M.; Wei, Z.Q.; Wang, B.Y.; Chen, L.; Szpunar, J.A. Study on copper protrusion of through-silicon via in a 3-D integrated circuit. Mater. Sci. Eng. A (MSEA) 2019, 755, 66–74. [Google Scholar] [CrossRef]
- Dou, J.; Shen, Y.L. Chip warpage induced by tapered through-silicon vias: A numerical analysis. IEEE Trans. Device Mater. Reliab. 2015, 15, 629–632. [Google Scholar] [CrossRef]
- Completely Cryogen-Free Integrated Physical Property Measurement System-DynaCool, PPMS® DynaCool™. Available online: https://www.qd-china.com/zh/pro/detail/1912091422155 (accessed on 20 June 2024).
- Thermal Conductivity, Efunda. Available online: https://www.efunda.com/materials/elements/TC_Table.cfm?Element_ID=Si (accessed on 13 January 2025).
- Duthil, P. Material Properties at Low Temperature. arXiv 2015, arXiv:1501.07100. [Google Scholar] [CrossRef]
- Wang, Y.; Ruan, X.; Roy, A. Two-temperature nonequilibrium molecular dynamics simulation of thermal transport across metal-nonmetal interfaces. Phys. Rev. B Condens. Matter Mater. Phys. 2012, 85, 327–334. [Google Scholar] [CrossRef]
- Rubin, T.; Altman, H.W.; Johnston, H.L. Coefficients of thermal expansion of solids at low temperatures. I. the thermal expansion of copper from 15 to 300°. J. Am. Chem. Soc. 1954, 76, 5289–5293. [Google Scholar] [CrossRef]
- Bradley, P.; Radebaugh, R. Properties of Selected Materials at Cryogenic Temperatures; NIST: Gaithersburg, MD, USA, 2013.
- Cheng, X.; Liu, C.; Silberschmidt, V.V. Numerical analysis of thermo-mechanical behavior of indium micro-joint at cryogenic temperatures. Comput. Mater. Sci. 2012, 52, 274–281. [Google Scholar] [CrossRef][Green Version]
- Simon, N.J.; Drexler, E.S.; Reed, R.P. Properties of Copper and Copper Alloys at Cryogenic Temperatures; Final report; NIST: Gaithersburg, MD, USA, 1992.
- Liu, Z.P. Temperature-dependent elastic constants and Young’s modulus of silicon single crystal. In Proceedings of the International Conference on Mechanical Engineering Design of Synchrotron Radiation Equipment and Instrumentation (MEDSI2020), Chicago, IL, USA, 24–29 July 2021; pp. 324–326. [Google Scholar]
- Ledbetter, H.M.; Naimon, E.R. Elastic properties of metals and alloys. II. Copper. J. Phys. Chem. Ref. Data 1974, 3, 897–935. [Google Scholar] [CrossRef]
- Umezawa, O. Tensile properties and conductivities of a precipitation hardened and cold-rolled Cu-0.3Cr-0.1Zr alloy at cryogenic temperature. IOP Conf. Ser. Mater. Sci. Eng. 2015, 102, 012006. [Google Scholar] [CrossRef]
- Nahian, S.; Nahid, S.M.; Motalab, M.; Bose, P. Mechanical properties of Au coated Si nanowafer an atomistic study. arXiv 2020, arXiv:2012.01327v1. [Google Scholar] [CrossRef]
- Ryu, S.K.; Lu, K.; Jiang, T.F.; Im, J.H.; Huang, R.; Ho, P.S. Effect of thermal stresses on carrier mobility and keep-Out zone around through-silicon vias for 3-D integration. IEEE Trans. Device Mater. Rel. 2012, 12, 255–262. [Google Scholar] [CrossRef]
- Song, C.S.; He, R.; Yu, D.Q.; Wan, L.X. Comprehensive analysis of thermal mechanical stress induced by Cu TSV and its impact on device performance. In Proceedings of the 13th International Conference on Electronic Packaging Technology & High Density Packaging (ICEPT-HDP), Guilin, China, 13–16 August 2012; pp. 85–89. [Google Scholar]
- Marella, S.K.; Sapatnekar, S.S. A holistic analysis of circuit performance variations in 3-D ICs with thermal and TSV-induced stress considerations. IEEE Trans. VLSI Syst. 2014, 23, 1308–1321. [Google Scholar] [CrossRef]
- Wang, X.Y. Research on Carrier Mobility of Strained Si. Ph.D. Thesis, Xidian University, Xi’an, China, 2012. [Google Scholar]
- Lim, J.S.; Thompson, S.; Fossum, J.G. Comparison of threshold-voltage shifts for uniaxial and biaxial tensile-stressed n-MOSFETs. IEEE Electron Device Lett. 2004, 25, 731–733. [Google Scholar] [CrossRef]
- Yang, J.S.; Athikulwongse, K.; Lee, Y.J.; Lim, S.K.; David, Z. TSV stress aware timing analysis with applications to 3D-IC layout optimization. In Proceedings of the 47th Annual Design Automation Conference, Anaheim, CA, USA, 13–18 June 2010; pp. 803–806. [Google Scholar]

















| Type | Gate Length (nm) | Thickness of Gate Oxide Layer (nm) | Doping Concentration (cm−3) | Junction Depth (nm) | |||
|---|---|---|---|---|---|---|---|
| Channel | Zone A | Zone B | Zone A | Zone B | |||
| NMOS | 45 | 15.37 | −2.00 × 1018 | 7.34 × 1019 | 1.61 × 1019 | 87.95 | 18.14 |
| PMOS | 45 | 15.12 | 1.00 × 1016 | −6.86 × 1019 | −1.61 × 1019 | 77.20 | 15.78 |
Disclaimer/Publisher’s Note: The statements, opinions and data contained in all publications are solely those of the individual author(s) and contributor(s) and not of MDPI and/or the editor(s). MDPI and/or the editor(s) disclaim responsibility for any injury to people or property resulting from any ideas, methods, instructions or products referred to in the content. |
© 2025 by the authors. Licensee MDPI, Basel, Switzerland. This article is an open access article distributed under the terms and conditions of the Creative Commons Attribution (CC BY) license (https://creativecommons.org/licenses/by/4.0/).
Share and Cite
Xie, W.; Chen, X.; Zhang, L.; Lu, X.; Ding, B.; Xie, A. The Effect of Through-Silicon-Via Thermal Stress on Metal-Oxide-Semiconductor Field-Effect Transistor Properties Under Cooling to Ultra-Low Temperatures. Micromachines 2025, 16, 221. https://doi.org/10.3390/mi16020221
Xie W, Chen X, Zhang L, Lu X, Ding B, Xie A. The Effect of Through-Silicon-Via Thermal Stress on Metal-Oxide-Semiconductor Field-Effect Transistor Properties Under Cooling to Ultra-Low Temperatures. Micromachines. 2025; 16(2):221. https://doi.org/10.3390/mi16020221
Chicago/Turabian StyleXie, Wenting, Xiaoting Chen, Liting Zhang, Xiangjun Lu, Bing Ding, and An Xie. 2025. "The Effect of Through-Silicon-Via Thermal Stress on Metal-Oxide-Semiconductor Field-Effect Transistor Properties Under Cooling to Ultra-Low Temperatures" Micromachines 16, no. 2: 221. https://doi.org/10.3390/mi16020221
APA StyleXie, W., Chen, X., Zhang, L., Lu, X., Ding, B., & Xie, A. (2025). The Effect of Through-Silicon-Via Thermal Stress on Metal-Oxide-Semiconductor Field-Effect Transistor Properties Under Cooling to Ultra-Low Temperatures. Micromachines, 16(2), 221. https://doi.org/10.3390/mi16020221
