Investigation of Machining Characteristics and Parameter Optimization for Laser-Assisted Milling of CF/PEEK Composites
Abstract
1. Introduction
2. Materials and Methods
2.1. Materials
2.2. Experimental System
2.3. Experimental Program
2.4. Measurement Methods
3. Results and Discussion
3.1. Milling Force
3.1.1. Milling Forces at Different Powers
3.1.2. Milling Forces at Different Speeds
3.2. Milling Temperature
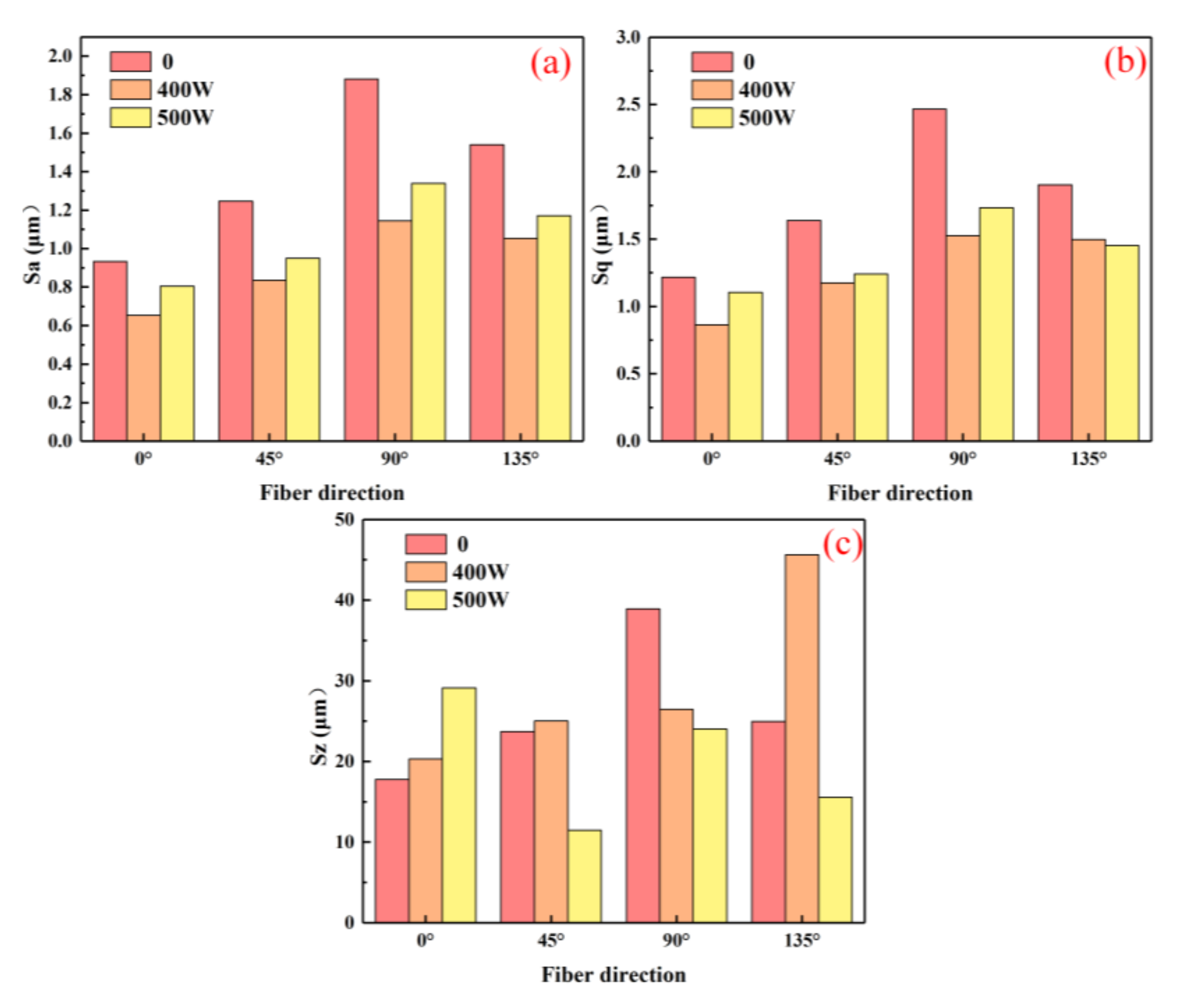
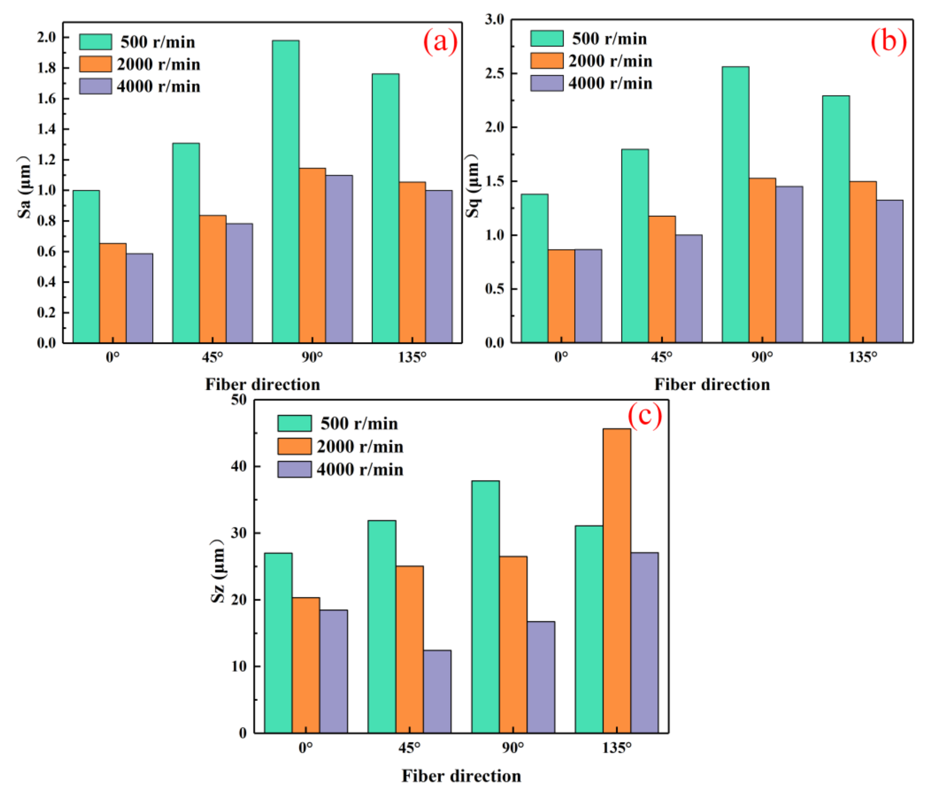
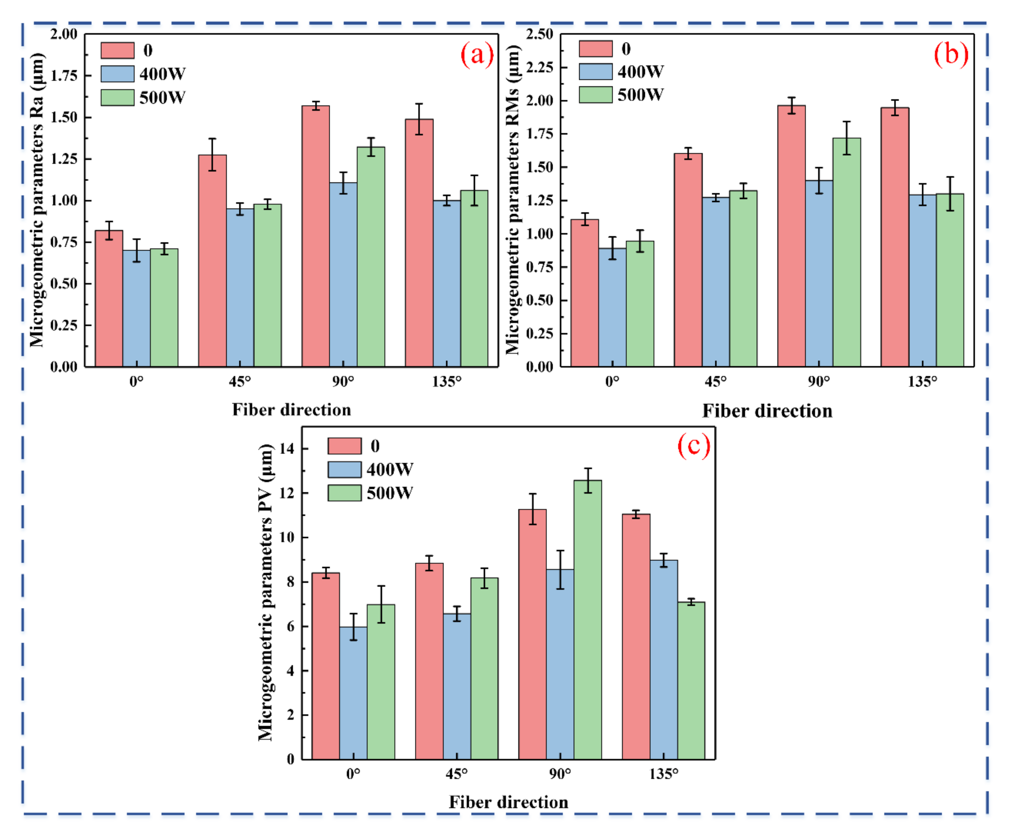
3.3. Surface Roughness
3.4. Surface Damage
4. Conclusions
- (1)
- Compared to a fiber orientation of 90°, the feed force Fx decreased by 33.2%, 25.7%, and 27.6%, and the tangential force Fy decreased by 49.9%, 60.9%, and 53.5% at 0° for conventional and laser-assisted milling with laser powers of 400 W and 500 W, respectively. Laser-assisted milling reduced the cutting forces Fx and Fy by an average of 20.5% and 9.55%, respectively, at a fiber orientation of 90°, compared to conventional milling. Increasing the spindle’s speed further reduced the cutting forces.
- (2)
- The laser removes the resin matrix, reducing the cutting resistance and friction, which leads to lower milling temperatures during laser-assisted machining. As the laser power increases, the energy per unit area of the laser beam rises, increasing milling temperatures, although they remain lower than in conventional milling. Milling temperatures at 400 W and 500 W laser powers decreased by 20.8% and 13.7%, respectively, compared to conventional milling at a fiber orientation of 0°. Increasing the spindle’s speed further raised the cutting temperatures.
- (3)
- Laser-assisted milling reduces fiber breakage and cutting force, improving surface quality and roughness. At 400 W laser power, the Ra, RMs, and PV values at 0° decreased by 14.5%, 19.7%, and 29%, respectively, compared to conventional milling. At 500 W laser power, the Ra, RMs, and PV values at 0° decreased by 13.4%, 14.8%, and 16.9%, respectively. Increasing the spindle’s speed enhanced the tool’s cutting point velocity, resulting in a smoother process and better surface quality.
- (4)
- The main types of surface damage are fiber fracture, fiber/matrix debonding, and fiber pull-out. Compared to conventional milling, laser-assisted milling did not alter the removal of brittle fractures in CF/PEEK composites but effectively reduced fiber/matrix debonding and resin matrix residue.
- (5)
- The optimal parameter combination for the low-damage processing of CF/PEEK composites is a 0° fiber orientation, 400 W laser power, and a spindle speed of 4000 r/min.
Author Contributions
Funding
Data Availability Statement
Conflicts of Interest
References
- Aamir, M.; Tolouei-Rad, M.; Giasin, K.; Nosrati, A. Recent advances in drilling of carbon fiber–reinforced polymers for aerospace applications: A review. Int. J. Adv. Manuf. Tech. 2019, 105, 2289–2308. [Google Scholar] [CrossRef]
- Altin Karataş, M.; Gökkaya, H. A review on machinability of carbon fiber reinforced polymer (CFRP) and glass fiber reinforced polymer (GFRP) composite materials. Def. Technol. 2018, 14, 318–326. [Google Scholar] [CrossRef]
- Lee, J.-M.; Lee, C.-J.; Kim, B.-M.; Ko, D.-C. Design of Prepreg Compression Molding for Manufacturing of CFRTP B-pillar Reinforcement with Equivalent Mechanical Properties to Existing Steel Part. Int. J. Precis. Eng. Manuf. 2020, 1, 545–556. [Google Scholar] [CrossRef]
- Lim, S.J.; Cheon, J.; Kim, M. Effect of laser surface treatments on a thermoplastic PA 6/carbon composite to enhance the bonding strength. Compos. Part A Appl. Sci. Manuf. 2020, 137, 105989. [Google Scholar] [CrossRef]
- Dongming, G. High-performance manufacturing. Int. J. Extrem. Manuf. 2024, 6, 060201. [Google Scholar] [CrossRef]
- Guo, R.; Li, C.; Niu, Y.; Xian, G. The fatigue performances of carbon fiber reinforced polymer composites—A review. J. Mater. Res. Technol. 2022, 21, 4773–4789. [Google Scholar] [CrossRef]
- Geng, D.; Liu, Y.; Shao, Z.; Lu, Z.; Cai, J.; Li, X.; Jiang, X.; Zhang, D. Delamination formation, evaluation and suppression during drilling of composite laminates: A review. Compos. Struct. 2019, 216, 168–186. [Google Scholar] [CrossRef]
- Cao, H.; Liu, L.; Wu, B.; Gao, Y.; Qu, D. Process optimization of high-speed dry milling UD-CF/PEEK laminates using GA-BP neural network. Compos. Part B-Eng. 2021, 221, 109034. [Google Scholar] [CrossRef]
- Liu, L.; Qu, D.; Wang, J.; Zhang, J.; Cao, H.; Dong, X. Thermal-field analytical modeling of machined surface layer in high-speed-dry milling UD-CF/PEEK considering thermal anisotropy and nonlinear thermal conductivity. Compos. Part A Appl. Sci. Manuf. 2024, 176, 107864. [Google Scholar] [CrossRef]
- Song, Y.; Cao, H.; Wang, Q.; Zhang, J.; Yan, C. Surface roughness prediction model in high-speed dry milling CFRP considering carbon fiber distribution. Compos. Part B Eng. 2022, 245, 110230. [Google Scholar] [CrossRef]
- Yan, X.; Zhao, H.; Wen, Z.; Wang, Y.; Li, P.; Ding, H. Investigation on grinding temperature characteristics of CF/PEEK and material removal mechanism under temperature treatments. Compos. Sci. Technol. 2024, 252, 110621. [Google Scholar] [CrossRef]
- Boley, C.D.; Rubenchik, A.M. Modeling of laser interactions with composite materials. Appl. Opt. 2013, 52, 3329–3337. [Google Scholar] [CrossRef] [PubMed]
- Tao, N.; Chen, G.; Yu, T.; Li, W.; Fan, L. Dual-beam laser drilling process for thick carbon fiber reinforced plastic composites plates. J. Mater. Process. Technol. 2020, 281, 116590. [Google Scholar] [CrossRef]
- Leone, C.; Papa, I.; Tagliaferri, F.; Lopresto, V. Investigation of CFRP laser milling using a 30W Q-switched Yb:YAG fiber laser: Effect of process parameters on removal mechanisms and HAZ formation. Compos. Part A Appl. Sci. Manuf. 2013, 55, 129–142. [Google Scholar] [CrossRef]
- Rao, S.; Sethi, A.; Das, A.K.; Mandal, N.; Kiran, P.; Ghosh, R.; Dixit, A.R.; Mandal, A. Fiber laser cutting of CFRP composites and process optimization through response surface methodology. Mater. Manuf. Process. 2017, 32, 1612–1621. [Google Scholar] [CrossRef]
- Hossain, A.; Hossain, A.; Nukman, Y.; Hassan, M.A.; Harizam, M.Z.; Sifullah, A.M.; Parandoush, P. A Fuzzy Logic-Based Prediction Model for Kerf Width in Laser Beam Machining. Mater. Manuf. Process. 2016, 31, 679–684. [Google Scholar] [CrossRef]
- Chatterjee, S.; Mahapatra, S.S.; Bharadwaj, V.; Choubey, A.; Upadhyay, B.N.; Bindra, K.S. Quality Evaluation of Micro Drilled Hole Using Pulsed Nd: YAG Laser: A Case Study on AISI 316. Lasers Manuf. Mater. Process. 2018, 5, 248–269. [Google Scholar] [CrossRef]
- Li, H.N.; Wang, J.P.; Wu, C.Q.; Zhao, Y.J.; Xu, J.; Liu, X.; Zhu, W.Q. Damage behaviors of unidirectional CFRP in orthogonal cutting: A comparison between single- and multiple-pass strategies. Compos. Part B-Eng. 2020, 185, 107774. [Google Scholar] [CrossRef]
- Li, M.; Chen, L.; Yang, X. A feasibility study on high-power fiber laser cutting of t-hick CFRP laminates using single-pass strategy. Opt. Laser Technol. 2021, 138, 106889. [Google Scholar] [CrossRef]
- Dong, X.; Shin, Y.C. Improved machinability of SiC/SiC ceramic matrix composite via laser-assisted micromachining. Int. J. Adv. Manuf. Technol. 2017, 90, 731–739. [Google Scholar] [CrossRef]
- Li, R.R.; Cao, P.X.; Zhang, S.B.; Xu, W.; Ekevad, M.; Guo, X.L. Prediction of Cutting Force During Gypsum Fiber Composite Milling Process Using Response Surface Methodology. Technol. Bus. J. 2017, 49, 453–460. [Google Scholar]
- Zhang, J.; Luo, T.M.; Ye, Z.M.; Deng, C.J.; Luo, D.X.; Tao, G.B.; Cao, H.J. Investigation on fiber fracture mechanism and milling force model of CF/ PEEK by ultrasonic milling. Tribol. Int. 2024, 198, 109893. [Google Scholar] [CrossRef]
- Tomov, M.; Kuzinovski, M.; Cichosz, P. Modeling and prediction of surface roughness profile in longitudinal turning. J. Manuf. Process. 2016, 24, 231–255. [Google Scholar] [CrossRef]
- He, Y.; Xiao, G.J.; Liu, Z.Y.; Ni, Y.H.; Liu, S. Subsurface damage in laser-assisted machining titanium alloys. Int. J. Mech. Sci. 2023, 258, 108576. [Google Scholar] [CrossRef]
- Kong, X.J.; Meng, F.B.; Liu, X.L.; Hou, N.; Zheng, Y.H.; Wang, M.H. Enhancing machinability and removal mechanism of SiCf/SiC composites in laser ablation assisted step milling. Ceram. Int. 2024, 50, 34559–34572. [Google Scholar] [CrossRef]
- Kong, X.J.; Wang, Y.D.; Liu, X.L.; Dang, Z.P.; Wang, M.H. Research on the removal mechanism and surface damage of laser assisted cutting of CFRP materials. J. Manuf. Process. 2024, 124, 196–211. [Google Scholar] [CrossRef]
- He, Y.; Xiao, G.J.; Zhu, S.W.; Liu, G.; Liu, Z.Y.; Deng, Z.C. Surface formation in laser as-sisted grinding high-strength alloys. Int. J. Mach. Tools Manuf. 2023, 186, 104002. [Google Scholar] [CrossRef]













| Material Properties | Values |
|---|---|
| Density | 1.570 g/cm3 |
| Tensile strength | 2200 MPa |
| Compressive strength | 1200 MPa |
| Bending strength | 2000 MPa |
| Material Properties | Values |
|---|---|
| Density | 1.80 g/cm3 |
| Elongation at break | 2.0% |
| Tensile modulus | 230 GPa |
| Tensile strength | 4900 MPa |
| Material Properties | Values |
|---|---|
| Density | 1.3 g/cm3 |
| Tensile strength | 95 MPa |
| Melting temperature | 343 °C |
| Glass transition temperature | 143 °C |
Disclaimer/Publisher’s Note: The statements, opinions and data contained in all publications are solely those of the individual author(s) and contributor(s) and not of MDPI and/or the editor(s). MDPI and/or the editor(s) disclaim responsibility for any injury to people or property resulting from any ideas, methods, instructions or products referred to in the content. |
© 2025 by the authors. Licensee MDPI, Basel, Switzerland. This article is an open access article distributed under the terms and conditions of the Creative Commons Attribution (CC BY) license (https://creativecommons.org/licenses/by/4.0/).
Share and Cite
Wang, Q.; Fu, L.; Wang, M.; Xiao, K.; Wang, X. Investigation of Machining Characteristics and Parameter Optimization for Laser-Assisted Milling of CF/PEEK Composites. Micromachines 2025, 16, 151. https://doi.org/10.3390/mi16020151
Wang Q, Fu L, Wang M, Xiao K, Wang X. Investigation of Machining Characteristics and Parameter Optimization for Laser-Assisted Milling of CF/PEEK Composites. Micromachines. 2025; 16(2):151. https://doi.org/10.3390/mi16020151
Chicago/Turabian StyleWang, Qijia, Li Fu, Minghai Wang, Kang Xiao, and Xuezhi Wang. 2025. "Investigation of Machining Characteristics and Parameter Optimization for Laser-Assisted Milling of CF/PEEK Composites" Micromachines 16, no. 2: 151. https://doi.org/10.3390/mi16020151
APA StyleWang, Q., Fu, L., Wang, M., Xiao, K., & Wang, X. (2025). Investigation of Machining Characteristics and Parameter Optimization for Laser-Assisted Milling of CF/PEEK Composites. Micromachines, 16(2), 151. https://doi.org/10.3390/mi16020151
