Proton-Irradiation Effects and Reliability on GaN-Based MIS-HEMTs
Abstract
1. Introduction
2. Device Structures
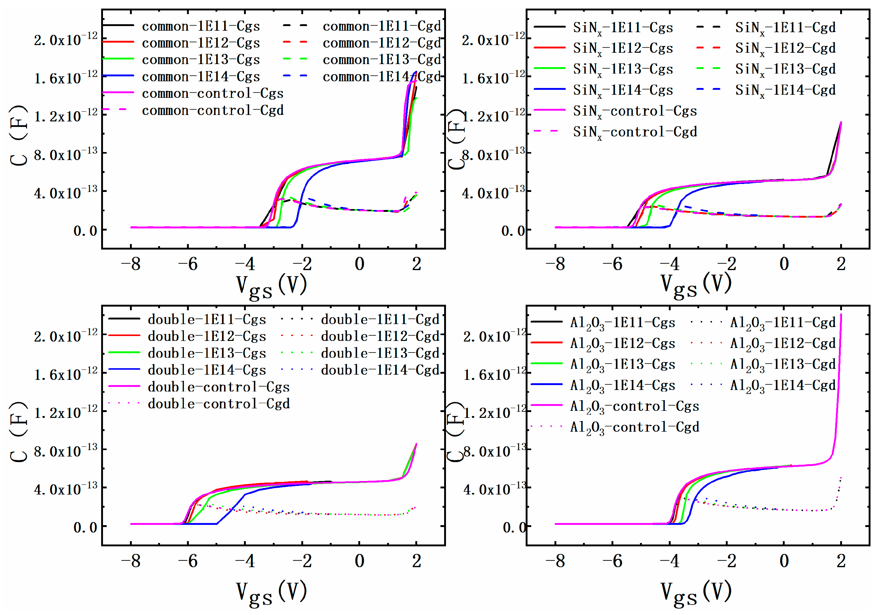
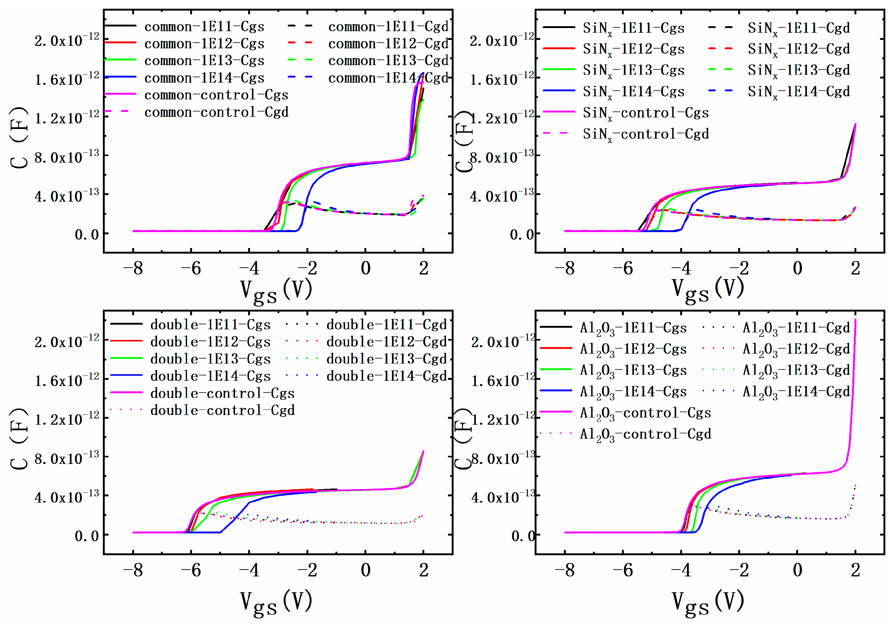
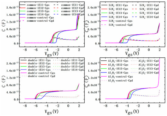
3. Results and Discussion
4. Conclusions
Author Contributions
Funding
Data Availability Statement
Acknowledgments
Conflicts of Interest
References
- Kumar, V.; Lu, W.; Schwindt, R.; Kuliev, A.; Adesida, I. AlGaN/GaN HEMTs on SiC with fT of over 120 GHz. IEEE Electron. Device Lett. 2002, 23, 455–457. [Google Scholar] [CrossRef]
- Palacios, T.; Chakraborty, A.; Rajan, S.; Poblenz, C.; Keller, S.; DenBaars, S.; Speck, J.; Mishra, U. High-power AlGaN/GaN HEMTs for Ka-band applications. IEEE Electron. Device Lett. 2005, 26, 781–783. [Google Scholar] [CrossRef]
- Ikeda, N.; Niiyama, Y.; Kambayashi, H.; Sato, Y.; Nomura, T.; Kato, S.; Yoshida, S. GaN power transistors on Si substrates for switching applications. Proc. IEEE 2010, 98, 1151–1161. [Google Scholar] [CrossRef]
- Dong-Seok, K.; Jun-Hyeok, L.; Sunmog, Y.; Jung-Hee, L. Proton Irradiation Effects on AlGaN/GaN HEMTs with Different Isolation Methods. IEEE Trans. Nucl. Sci. 2018, 65, 579–582. [Google Scholar] [CrossRef]
- Martin-Horcajo, S.; Wang, A.; Romero, M.-F.; Tadjer, M.J.; Calle, F. Simple and accurate method to estimate channel temperature and thermal resistance in AlGaN/GaN HEMTs. IEEE Trans. Electron. Devices 2013, 60, 4105–4111. [Google Scholar] [CrossRef]
- Turuvekere, S.; Rawal, D.S.; DasGupta, A.; DasGupta, N. Evidence of Fowler–Nordheim tunneling in gate leakage current of AlGaN/GaN HEMTs at room temperature. IEEE Trans. Electron. Devices 2014, 61, 4291–4294. [Google Scholar] [CrossRef]
- Killat, N.; Bajo, M.M.; Paskova, T.; Evans, K.R.; Leach, J.; Li, X.; Özgür, Ü.; Morkoç, H.; Chabak, K.D.; Crespo, A.; et al. Reliability of AlGaN/GaN high electron mobility transistors on low dislocation density bulk GaN substrate: Implications of surface step edges. Appl. Phys. Lett. 2013, 103, 193507. [Google Scholar] [CrossRef]
- Lee, J.-H.; Kim, D.-S.; Kim, J.-G.; Ahn, W.-H.; Bae, Y.; Lee, J.-H. Effect of gate dielectrics on characteristics of high-energy proton-irradiated AlGaN/GaN MISHEMTs. Radiat. Phys. Chem. 2021, 184, 109473. [Google Scholar] [CrossRef]
- Lv, L.; Ma, J.G.; Cao, Y.R.; Zhang, J.C.; Zhang, W.; Li, L.; Xu, S.R.; Ma, X.H.; Ren, X.T.; Hao, Y. Study of proton irradiation effects on AlGaN/GaN high electron mobility transistors. Microelectron. Reliab. 2011, 51, 2168–2172. [Google Scholar] [CrossRef]
- Tang, J.; Liu, G.; Zhao, G.; Xing, S.A.; Malik, S.A. Effect of proton irradiation on the mobility of two-dimensional electron in AlGaN/AlN/GaN high electron mobility transistors at low temperature. J. Vac. Sci. Technol. B 2020, 38, 023202. [Google Scholar] [CrossRef]
- Aktas, O.; Kuliev, A.; Kumar, V.; Schwindt, R.; Toshkov, S.; Costescu, D.; Stubbins, J.; Adesida, I. 60Co gamma radiation effects on DC, RF, and pulsed I–V characteristics of AlGaN/GaN HEMTs. Solid. State Electron. 2004, 48, 471–475. [Google Scholar] [CrossRef]
- Levinshtein, M.E.; Rumyantsev, S.L.; Shur, M.S. Properties of Advanced Semiconductor Materials: GaN, AIN, InN, BN, SiC, SiGe; John Wiley & Sons: Hoboken, NJ, USA, 2001. [Google Scholar]
- Yoon, Y.J.; Lee, J.S.; Kang, I.M.; Lee, E.J.; Kim, D.-S. Impact of process-dependent SiNx passivation on proton-induced degradation in GaN MIS-HEMTs. Results Phys. 2021, 31, 105013. [Google Scholar] [CrossRef]
- Liu, L.; Hwang, Y.-H.; Xi, Y.; Ren, F.; Craciun, V.; Pearton, S.J.; Yang, G.; Kim, H.-Y.; Kim, J. Study on the effects of proton irradiation on the dc characteristics of AlGaN/GaN high electron mobility transistors with source field plate. J. Vac. Sci. Technol. B 2014, 32, 022202. [Google Scholar] [CrossRef]
- Zhen, Z.; Xiao, H.; Jiang, L.; Xu, J.; Wang, Q.; Wang, X.; Feng, C. Effect of Double Insulators on the Performance Improvement of 3-MeV Proton-Irradiated AlGaN/GaN MIS-HEMTs. ECS J. Solid. State Sci. Technol. 2023, 12, 035004. [Google Scholar] [CrossRef]
- Ahn, S.; Dong, C.; Zhu, W.; Kim, B.-J.; Hwang, Y.-H.; Ren, F.; Pearton, S.J.; Yang, G.; Kim, J.; Patrick, E.; et al. Effect of proton irradiation energy on AlGaN/GaN metal-oxide semiconductor high electron mobility transistors. J. Vac. Sci. Technol. B Nanotechnol. Microelectron. Mater. Process. Meas. Phenom. 2015, 33, 051208. [Google Scholar]
- Keum, D.; Kim, H. Energy-Dependent Degradation Characteristics of AlGaN/GaN MISHEMTs with 1, 1.5, and 2 MeV Proton Irradiation. ECS J. Solid State Sci. Technol. 2018, 7, Q159. [Google Scholar] [CrossRef]
- ares, C.; Ren, F.; Pearton, S.J.; Yang, G.; Kim, J.; Lo, C.-F.; Johnson, J.W. Effect of proton irradiation energy on SiNx/AlGaN/GaN metal-insulator semiconductor high electron mobility transistors. J. Vac. Sci. Technol. B Nanotechnol. Microelectron. Mater. Process. Meas. Phenom. 2018, 36, 052202. [Google Scholar]
- Zhen, Z.; Wang, Q.; Qin, Y.; Chen, C.; Xu, J.; Jiang, L.; Xiao, H.; Wang, Q.; Wang, X.; Tan, M.; et al. Comparative Study on Characteristics of AlGaN/GaN Metal–Insulator–Semiconductor High-Electron-Mobility Transistors. Phys. Status Solidi (A) 2022, 219, 2200010. [Google Scholar] [CrossRef]
- Strauss, S.; Erlebach, A.; Cilento, T.; Marcon, D.; Bakeroot, B. TCAD methodology for simulation of GaN-HEMT power devices. In Proceedings of the IEEE International Symposium on Power Semiconductor Devices & Ics, Waikoloa, HI, USA, 15–19 June 2014. [Google Scholar]
- Tan, X.; Lü, Y.; Gu, G.; Wang, L.; Dun, S.; Song, X.; Guo, H.; Yin, J.; Cai, S.; Feng, Z. High performance AlGaN/GaN HEMTs with AlN/SiN_x passivation. J. Semicond. 2015, 36, 074008. [Google Scholar] [CrossRef]
- Carey, P.H.; Ren, F.; Bae, J.; Kim, J.; Pearton, S.J. Proton Irradiation of High Aluminum Content AlGaN Polarization Doped Field Effect Transistors. ECS J. Solid State Sci. Technol. 2020, 9, 025003. [Google Scholar] [CrossRef]
- Yamaguchi, Y.; Oishi, T.; Otsuka, H.; Nanjo, T.; Koyama, H.; Kamo, Y.; Yamanaka, K. Modeling of frequency dispersion at low frequency for GaN HEMT. In Proceedings of the Microwave Conference, Paris, France, 7–10 September 2015. [Google Scholar]
- Chen, K.M.; Lin, C.J.; Nagarajan, V.; Chang, E.Y.; Huang, G.W. Analysis of High-Frequency Behavior of AlGaN/GaN HEMTs and MIS-HEMTs under UV Illumination. ECS J. Solid State Sci. Technol. 2021, 10, 055004. [Google Scholar] [CrossRef]








| Different Devices | The Measured 2DEG Density ns (cm−2) | The Calculated Equivalent Mobility μ (cm2/Vs) |
|---|---|---|
| Common | 8.41 × 1012 | 130.99 |
| SiNx | 6.02 × 1012 | 140.00 |
| Bilayer | 4.99 × 1012 | 251.61 |
| Al2O3 | 6.88 × 1012 | 160.55 |
| Defects | SiNx | Al2O3 | Bilayer |
|---|---|---|---|
| Total replacement | 292/ion | 285/ion | 139/ion |
| Total vacancy | 282.3/ion | 295/ion | 142/ion |
| Replacement collision | 10/ion | 10/ion | 3/ion |
| Different Devices | Degradation of the Maximum On-Current |
|---|---|
| Common | 78.5% |
| SiNx | 18.8% |
| Bilayer | 7.5% |
| Al2O3 | 38.0% |
| Fluence | Degradation Rate of Vth (%) | |||
|---|---|---|---|---|
| Common | SiNx | Bilayer | Al2O3 | |
| 1 × 1011 | 16.3 | 11.4 | 6.7 | 11.0 |
| 1 × 1012 | 20.5 | 14.9 | 10.3 | 14.3 |
| 1 × 1013 | 25.5 | 19.8 | 15.5 | 19.5 |
| 1 × 1014 | 44.8 | 35.9 | 32.6 | 35.2 |
| Different Devices | Degradation of Gmmax (Simulation) | Degradation of Gmmax (Experiment) |
|---|---|---|
| Common | 34.58% | 9.6% |
| SiNx | 12.28% | 6.0% |
| Bilayer | 9.7% | 5.6% |
| Al2O3 | 19.87% | 6.3% |
| Different Devices | Degradation of Cutoff Frequency |
|---|---|
| Common | 33.7% |
| SiNx | 12.4% |
| Bilayer | 9.5% |
| Al2O3 | 18.9% |
Disclaimer/Publisher’s Note: The statements, opinions and data contained in all publications are solely those of the individual author(s) and contributor(s) and not of MDPI and/or the editor(s). MDPI and/or the editor(s) disclaim responsibility for any injury to people or property resulting from any ideas, methods, instructions or products referred to in the content. |
© 2024 by the authors. Licensee MDPI, Basel, Switzerland. This article is an open access article distributed under the terms and conditions of the Creative Commons Attribution (CC BY) license (https://creativecommons.org/licenses/by/4.0/).
Share and Cite
Zhen, Z.; Feng, C.; Xiao, H.; Jiang, L.; Li, W. Proton-Irradiation Effects and Reliability on GaN-Based MIS-HEMTs. Micromachines 2024, 15, 1091. https://doi.org/10.3390/mi15091091
Zhen Z, Feng C, Xiao H, Jiang L, Li W. Proton-Irradiation Effects and Reliability on GaN-Based MIS-HEMTs. Micromachines. 2024; 15(9):1091. https://doi.org/10.3390/mi15091091
Chicago/Turabian StyleZhen, Zixin, Chun Feng, Hongling Xiao, Lijuan Jiang, and Wei Li. 2024. "Proton-Irradiation Effects and Reliability on GaN-Based MIS-HEMTs" Micromachines 15, no. 9: 1091. https://doi.org/10.3390/mi15091091
APA StyleZhen, Z., Feng, C., Xiao, H., Jiang, L., & Li, W. (2024). Proton-Irradiation Effects and Reliability on GaN-Based MIS-HEMTs. Micromachines, 15(9), 1091. https://doi.org/10.3390/mi15091091

