A High-Temperature-Resistant Stealth Bandpass/Bandstop-Switchable Frequency Selective Metasurface
Abstract
1. Introduction
2. Design and Analysis
2.1. FSM Element Design
2.2. FSM Stealth Property Analysis
2.3. Thermal Analysis
3. Experimental Measurements and Discussion
3.1. Bandpass/Bandstop Measurement
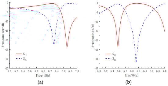
- During the transition of the FSM structure, the LM was not completely withdrawn, and residual LM droplets adhered to structures, such as pillars, causing a change in the metal pattern of the FSM structure and resulting in a rightward shift of the frequency point.
- In the LM filling process, obstructions such as pillars can lead to the formation of a portion of the bubble cavity, as shown in Figure 10. This resulted in the second circular gap of the working condition, and two double circular gaps were not fully formed, resulting in the shift of the frequency point to the right.
- Errors in the processing of FSM prototypes, such as the machining tolerances of structures and the imperfect concentricity of circular patches and metal rings, can also contribute to frequency point shifts.
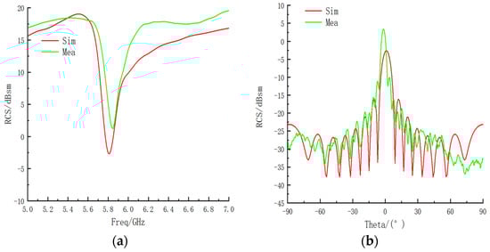
3.2. RCS Measurement
- The FSM structure had an LM residue inside the sample during case changeover, and the RCS performance was significantly influenced by the metal material, resulting in an angular shift.
- The rotation of the test table caused the sample to tilt, leading to deviations in RCS measurements.
4. Conclusions
- It easily switched between bandpass and bandstop in the C-band.
- It combined good frequency selection and reconfiguration performance, good heat dissipation performance, and RCS reduction performance. Therefore, it has great potential to cope with the future stealth and ultra-high-speed vehicle fields.
- It realized the function switching in the 200 MHz interval, but for some wideband antennas, this FSM cannot meet the working requirements, and the interlayer coupling can be realized through the design of the loaded multi-layer FSM structure in the future to widen the working window.
Author Contributions
Funding
Data Availability Statement
Conflicts of Interest
References
- Liu, W.; Li, P.; Zhang, Z.; Wang, Q.; Xu, W. Transmission-Band-Switchable Absorptive/Transmissive Frequency Selective Surface Using Liquid Metal. IEEE Antennas Wirel. Propag. Lett. 2023, 22, 144–148. [Google Scholar] [CrossRef]
- Ghosh, S.; Lim, S. A Miniaturized Bandpass Frequency Selective Surface Exploiting Three-Dimensional Printing Technique. IEEE Antenna Wirel. Propag. Lett. 2019, 18, 1322–1326. [Google Scholar] [CrossRef]
- Li, W.; Zhao, W.; Cheng, S.; Zhang, H.; Yi, Z.; Sun, T.; Wu, P.; Zeng, Q.; Raza, R. Tunable Metamaterial Absorption Device based on Fabry–Perot Resonance as Temperature and Refractive Index Sensing. Opt. Lasers Eng. 2024, 181, 108368. [Google Scholar] [CrossRef]
- Liang, S.; Xu, F.; Li, W.; Yang, W.; Cheng, S.; Yang, H.; Chen, J.; Yi, Z.; Jiang, P. Tunable smart mid infrared thermal control emitter based on phase change material VO2 thin film. Appl. Therm. Eng. 2023, 232, 121074. [Google Scholar] [CrossRef]
- Liang, S.; Cheng, S.; Zhang, H.; Yang, W.; Yi, Z.; Zeng, Q.; Tang, B.; Wu, P.; Ahmad, S.; Sun, T. Structural color tunable intelligent mid-infrared thermal control emitter. Ceram. Int. 2024, 50, 23611–23620. [Google Scholar] [CrossRef]
- Li, W.; Liu, Y.; Ling, L.; Sheng, Z.; Cheng, S.; Yi, Z.; Wu, P.; Zeng, Q.; Tang, B.; Ahmad, S. The tunable absorber films of grating structure of AlCuFe quasicrystal with high Q and refractive index sensitivity. Surf. Interfaces 2024, 48, 104248. [Google Scholar] [CrossRef]
- Yang, H.H.; Cao, X.Y.; Gao, J. Recent advances in reconfigurable metasurfaces and their applications. J. Radars 2021, 10, 206–219. [Google Scholar]
- Cui, Y.; Nauroze, S.A.; Tentzeris, M.M. Novel 3D-Printed Reconfigurable Origami Frequency Selective Surfaces with Flexible Inkjet-Printed Conductor Traces. In Proceedings of the 2019 IEEE MTT-S International Microwave Symposium, Boston, MA, USA, 2–7 June 2019; pp. 1367–1370. [Google Scholar]
- Nauroze, S.A.; Tentzeris, M.M. A Thermally Actuated Fully Inkjet-Printed Origami-Inspired Multilayer Frequency Selective Surface With Continuous-Range Tunability Using Polyester-Based Substrates. IEEE Trans. Microw. Theory Tech. 2019, 67, 4944–4954. [Google Scholar] [CrossRef]
- Chen, Y.D.; Liu, C.H. Rotationally tunable frequency selective surfaces for large areas via linkage mechanisms. In Proceedings of the 2017 IEEE International Symposium on Antennas and Propagation & USNC/URSI National Radio Science Meeting, San Diego, CA, USA, 9–14 July 2017; pp. 265–266. [Google Scholar]
- Azemi, S.N.; Ghorbani, K.; Rowe, W. A Reconfigurable FSS Using a Spring Resonator Element. IEEE Antennas Wirel. Propag. Lett. 2013, 12, 781–784. [Google Scholar] [CrossRef]
- Azemi, S.N.; Ghorbani, K.; Rowe, W. Mechanically Tunable and Reconfigurable FSS Using Spring Loaded Ring Resonators. In Proceedings of the European Microwave Conference, Nuremberg, Germany, 6–10 October 2013. [Google Scholar]
- Jiang, S.L.; Kong, X.K.; Kong, L.Q. Reconfigurable Absorptive Frequency-Selective Reflection Structure Based on Magnetic Material. In Proceedings of the IEEE 3rd International Conference on Electronic Information and Communication Technology, Shenzhen, China, 13–15 November 2020. [Google Scholar]
- Han, Y.; Che, W.; Xiu, X.; Yang, W.; Christopoulos, C. Switchable low-profile broadband frequency-selective rasorber/absorber based on slot arrays. IEEE Trans. Antennas Propag. 2017, 65, 6998–7008. [Google Scholar] [CrossRef]
- Bouslama, M.; Traii, M.; Gharsallah, A. Reconfigurable Dual-Band 3D Frequency Selective Surface Unit-Cell. In Proceedings of the IEEE International Symposium on Antennas and Propagation & USNC/URSI National Radio Science Meeting, Vancouver, BC, Canada, 19–24 July 2015. [Google Scholar]
- Safari, M.; Shafai, C.; Shafai, L. X-Band Tunable Frequency Selective Surface Using MEMS Capacitive Loads. IEEE Trans. Antennas Propag. 2015, 63, 1014–1021. [Google Scholar] [CrossRef]
- Bahret, W.F. The Beginnings of Stealth Technology. IEEE Trans. Antennas Electron. Syst. 1993, 29, 1377–1385. [Google Scholar] [CrossRef]
- Liao, W.J.; Zhang, W.Y. An FSS Integrated Low RCS Radome Design. IEEE Antennas Wirel. Propag. Lett. 2019, 18, 2076–2080. [Google Scholar] [CrossRef]
- Ji, K.F.; Cao, X.Y. Design of Low Profile ATFSS and Antenna with In-Band and Out of Band RCS Reduction. IEEE Trans. Electromagn. Compat. 2022, 70, 11537–11547. [Google Scholar] [CrossRef]
- Gao, X.Z.; Zhang, J.; Cui, F.D. Research into Ceramic-Based Frequency Selective Surface Microwave Transparent Materials. J. Air Force Eng. Univ. 2021, 22, 11–17. [Google Scholar]
- Li, P.; Liu, W.G.; Ren, Z.M.; Meng, W.J.; Song, L.W. A High-Temperature and Frequency-Reconfigurable Multilayer Frequency Selective Surface Using Liquid Metal. IEEE Access 2022, 10, 9446–9454. [Google Scholar] [CrossRef]
- Song, L.; Gao, W.; Rahmat-Samii, Y. 3-D Printed Microfluidics Channelizing Liquid Metal for Multipolarization Reconfigurable Extended E-Shaped Patch Antenna. IEEE Trans. Antennas Propag. 2020, 68, 6867–6878. [Google Scholar] [CrossRef]
- Lei, B.J.; Zamora, A.; Chun, T.F.; Ohta, A.T.; Shiroma, W.A. A Wideband, Pressure-Driven, Liquid-Tunable Frequency Selective Surface. IEEE Microw. Wirel. Compon. Lett. 2011, 21, 465–467. [Google Scholar] [CrossRef]
- Yan, X.; Kong, X.; Wang, Q.; Xing, L.; Xue, F.; Xu, Y.; Jiang, S.; Liu, X. Water-based reconfigurable frequency selective rasorber with thermally tunable absorption band. IEEE Trans. Antennas Propag. 2020, 68, 6162–6171. [Google Scholar] [CrossRef]
- Choi, J.; Ahn, J.; Kim, J.; Kim, Y.; Lee, J.; Oh, I. An Electroactive, Tunable, and Frequency Selective Surface Utilizing Highly Stretchable Dielectric Elastomer Actuators Based on Functionally Antagonistic Aperture Control. Small 2016, 14, 1840–1846. [Google Scholar] [CrossRef]
- Yahya, R.; Nakamura, A.; Itami, M. Reconfigurable ultra-wideband frequency selective surface. In Proceedings of the 2016 IEEE International Symposium on Antennas and Propagation (APSURSI), Fajardo, PR, USA, 26 June–1 July 2016. [Google Scholar]
- Ghosh, S.; Lim, S. A multifunctional reconfigurable frequencyselective surface using liquid-metal alloy. IEEE Trans. Antennas Propag. 2018, 66, 4953–4957. [Google Scholar] [CrossRef]












| Material | Permittivity | Loss Tangent |
|---|---|---|
| Rogers RT/Duroid 5880 | 2.2 | 0.0009 |
| PMMA | 2.7 | 0.0078 |
| Structural Parameters | P | R1 | R2 | R3 | W1 | W2 | W3 | H | H1 | H2 | HB |
| Value/mm | 15 | 4.56 | 6.44 | 6.1 | 0.21 | 0.8 | 0.8 | 2 | 2.5 | 0.2 | 1.5 |
| Case I | Case II | ||
|---|---|---|---|
| Frequency of Extreme Point (GHz) | 5.80 | 5.67 | |
| RCS Minimum (dBsm) | −2.571 | −17.25 | |
| Equal Frequency Metal Plate RCS Value (dBsm) | 19.774 | 19.544 | |
| Forward RCS Value (dBsm) | Phi = 0° | −2.798 | −12.08 |
| Phi = 90° | −2.571 | −12.38 | |
| Lateral RCS Value (dBsm) | Phi = 0° | −49.45 | −34.05 |
| Phi = 90° | −23.120 | −33.56 | |
| Material | Densities kg/m3 | Specific Heat of Mass J/(kg·K) | Heat Conductivity W/(m·K) | Stickiness Pa·s |
|---|---|---|---|---|
| EgaIn | 6363 | 366 | 16.5 | 2.4 × 10−3 |
| Air | 1.293 | 1005 | 0.0261 | 1.79 × 10−5 |
| Air 0.1 m/s | Liquid Metal 0.1 m/s | Liquid Metal 0.2 m/s | Liquid Metal 0.3 m/s | |
|---|---|---|---|---|
| Average temperature/°C | 1570.8 | 91.961 | 55.625 | 43.423 |
| Highest temperature/°C | 3538.5 | 211.42 | 123.28 | 91.271 |
| Ref. | Object of Study | Reconfiguration Category | Control Method | RCS Reduction Performance | Thermal Performance | Frequency/GHz |
|---|---|---|---|---|---|---|
| [26] | Antenna | Polarization | EGaIn | Not mentioned | Not mentioned | 2.4 |
| [21] | FSM | Frequency | EGaIn | Not mentioned | 1000 °C down to 62 °C | 5–13 |
| [23] | FSM | Frequency | Hg | Not mentioned | Not mentioned | 4.08–16.96 |
| [24] | FSM | Frequency | Water | Not mentioned | Room temperature (25 °C) | 5.2–7.0 |
| [25] | FSM | Frequency | High-voltage current | Not mentioned | Not mentioned | 8–12 |
| [27] | FSM | Bandpass/Bandstop | Conduction/disconnection of transmission lines | Not mentioned | Not mentioned | 4–10.5 |
| [22] | FSM | Allpass to Bandpass/Bandstop | EGaIn | Not mentioned | Not mentioned | 1.36–2.63 |
| This work | FSM | Bandpass/Bandstop | EGaIn | RCS reduction performance was good | 1000 °C down to 91.961 °C | 5.53–5.76 |
Disclaimer/Publisher’s Note: The statements, opinions and data contained in all publications are solely those of the individual author(s) and contributor(s) and not of MDPI and/or the editor(s). MDPI and/or the editor(s) disclaim responsibility for any injury to people or property resulting from any ideas, methods, instructions or products referred to in the content. |
© 2024 by the authors. Licensee MDPI, Basel, Switzerland. This article is an open access article distributed under the terms and conditions of the Creative Commons Attribution (CC BY) license (https://creativecommons.org/licenses/by/4.0/).
Share and Cite
Bao, G.; Li, P.; Sun, J.; Chen, E.; Li, S. A High-Temperature-Resistant Stealth Bandpass/Bandstop-Switchable Frequency Selective Metasurface. Micromachines 2024, 15, 948. https://doi.org/10.3390/mi15080948
Bao G, Li P, Sun J, Chen E, Li S. A High-Temperature-Resistant Stealth Bandpass/Bandstop-Switchable Frequency Selective Metasurface. Micromachines. 2024; 15(8):948. https://doi.org/10.3390/mi15080948
Chicago/Turabian StyleBao, Gengyuan, Peng Li, Jing Sun, Erzhan Chen, and Shaojie Li. 2024. "A High-Temperature-Resistant Stealth Bandpass/Bandstop-Switchable Frequency Selective Metasurface" Micromachines 15, no. 8: 948. https://doi.org/10.3390/mi15080948
APA StyleBao, G., Li, P., Sun, J., Chen, E., & Li, S. (2024). A High-Temperature-Resistant Stealth Bandpass/Bandstop-Switchable Frequency Selective Metasurface. Micromachines, 15(8), 948. https://doi.org/10.3390/mi15080948

