Flow-Independent Thermal Conductivity and Volumetric Heat Capacity Measurement of Pure Gases and Binary Gas Mixtures Using a Single Heated Wire
Abstract
1. Introduction
2. Design, Theory, and Simulation
- With DC excitation under stagnant flow conditions, the two terms on the left side of the energy equation can be ignored, resulting in , which is only dependent on k.
- With AC excitation and stagnant flow conditions, only the second term on the left side of the energy equation can be neglected. Then, the equation becomes , which is dependent on both k and .
2.1. Thermal Conductivity
2.2. Volumetric Heat Capacity
3. Fabrication
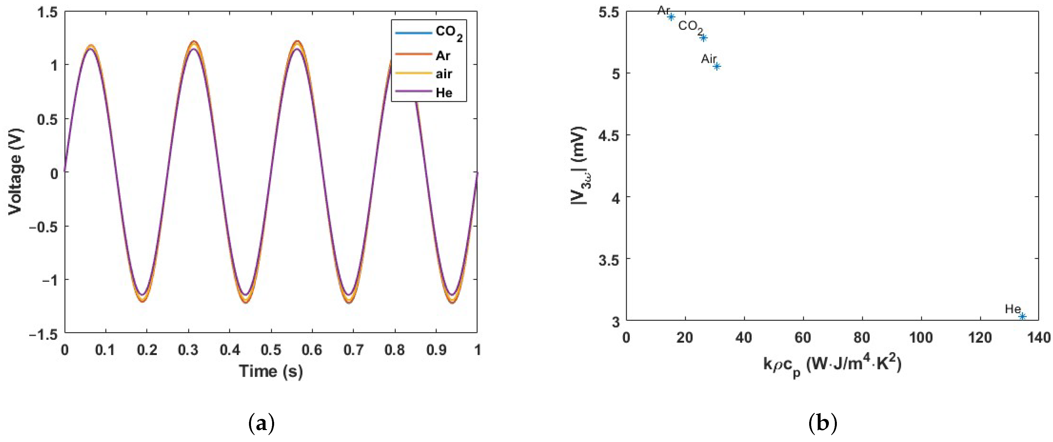
4. Results and Discussion
5. Conclusions
Author Contributions
Funding
Data Availability Statement
Conflicts of Interest
References
- Balakrishnan, V.; Phan, H.-P.; Dinh, T.; Dao, D.V.; Nguyen, N.-T. Thermal Flow Sensors for Harsh Environments. Sensors 2017, 17, 2061. [Google Scholar] [CrossRef] [PubMed]
- Khan, B. A Comparative Analysis of Thermal Flow Sensing In Biomedical Applications. Int. J. Biomed. Eng. Sci. 2016, 3, 1–7. [Google Scholar] [CrossRef]
- de Bree, H.E.; Jansen, H.i.V.; Lammerink, T.S.J.; Krijnen, G.J.M.; Elwenspoek, M. Bi-directional fast flow sensor with a large dynamic range. J. Micromech. Microeng. 1998, 9, 186–189. [Google Scholar] [CrossRef]
- Van Oudheusden, B.W. Silicon Thermal Flow Sensors. Sens. Actuators A Phys. 1992, 30, 5–26. [Google Scholar] [CrossRef]
- Ejeian, F.; Azadi, S.; Razmjou, A.; Orooji, Y.; Kottapalli, A.; Warkiani, M.E.; Asadnia, M. Design and applications of MEMS flow sensors: A review. Sens. Actuators Phys. 2019, 295, 483–502. [Google Scholar] [CrossRef]
- Kuo, J.T.W.; Yu, L.; Meng, E. Micromachined Thermal Flow Sensors: A Review. Micromachines 2012, 3, 550–573. [Google Scholar] [CrossRef]
- Elwenspoek, M. Thermal Flow Micro Sensors. In Proceedings of the 1999 International Semiconductor Conference (Cat. No. 99TH8389), Sinaia, Romania, 5–9 October 1999; Volume 17, pp. 423–435. [Google Scholar]
- Chung, W.S.; Kwon, O.; Park, S.; Choi, Y.K.; Lee, J.S. Tunable AC Thermal Anemometry. Superlattices Microstruct. 2004, 35, 325–338. [Google Scholar] [CrossRef]
- Heyd, R.; Hadaoui, A.; Fliyou, M.; Koumina, A.; Ameziane, E.L.; Outzourit, A.; Saboungi, M. Development of Absolute Hot-wire Anemometry by the 3ω Method. Rev. Sci. Instrum. 2010, 81, 1–6. [Google Scholar] [CrossRef] [PubMed]
- Gauthier, S.; Giani, A.; Combette, P. Gas thermal conductivity measurement using the three-omega method. Sens. Actuators A 2013, 195, 50–55. [Google Scholar] [CrossRef]
- Kuntner, J.; Kohl, F.; Jakoby, B. Simultaneous Thermal Conductivity and Diffusivity Sensing in Liquids Using a Micromachined Device. Sens. Actuators Phys. 2006, 130, 62–67. [Google Scholar] [CrossRef]
- Beigelbeck, R.; Kohl, F.; Cerimovic, S.; Talic, A.; Kelinger, F.; Jakoby, B. Thermal Property Determination of Laminar-flowing Fluids Utilizing the Frequency Response of a Calorimetric Flow Sensor. In Proceedings of the SENSORS, 2008 IEEE, Lecce, Italy, 26–29 October 2008. [Google Scholar]
- Beigelbeck, R.; Nachtnebel, H.; Kohl, F.; Jakoby, B. A Novel Measurement Method for the Thermal Properties of Liquids by Utilizing a Bridge-based Micromachined Sensor. Meas. Sci. Technol. 2011, 22, 1–9. [Google Scholar] [CrossRef]
- Reyes, D.F. Development of a Medium Independent Flow Measurement Technique Based on Oscillatory Thermal Excitation. Ph.D. Thesis, Albert-Ludwigs-Universität Freiburg, Breisgau, Germany, 2014. [Google Scholar]
- Bernhardsgrütter, R.E.; Hepp, C.J.; Wöllenstein, J.; Schmitt, K. Fluid-compensated thermal flow sensor: A combination of the 3ω-method and constant temperature anemometry. Sens. Actuators Phys. 2023, 350, 114116. [Google Scholar] [CrossRef]
- Hepp, C.J.; Krogmann, F.T.; Urban, G.A. Flow rate independent sensing of thermal conductivity in a gas stream by a thermal MEMS-sensor—Simulation and experiments. Sens. Actuators A 2017, 253, 136–145. [Google Scholar] [CrossRef]
- van Baar, J.J.; Wiegerink, R.J.; Lammerink, T.S.J.; Krijnen, G.J.M.; Elwenspoek, M. Micromachined structures for thermal measurements of fluid and flow parameters. J. Micromech. Microeng. 2001, 11, 311–318. [Google Scholar] [CrossRef]
- Wang, J.; Liu, Y.; Zhou, H.; Wang, Y.; Wu, M.; Huang, G.; Li, T. Thermal Conductivity Gas Sensor with Enhanced Flow-Rate Independence. Sensors 2022, 22, 1308. [Google Scholar] [CrossRef]
- Joost, C.; Lammerink, T.S.; Groenesteijn, J.; Haneveld, J.; Wiegerink, R.J. Integrated Thermal and Microcoriolis Flow Sensing System with a Dynamic Flow Range of More Than Five Decades. Micromachines 2012, 3, 194–203. [Google Scholar] [CrossRef]
- Lötters, J.C.; Wouden, E.v.; Groenesteijn, J.; Sparreboom, W.; Lammerink, T.S.J.; Wiegerink, R.J. Integrated Multi-Parameter Flow Measurement System. In Proceedings of the 2014 IEEE 27th International Conference on Micro Electro Mechanical Systems (MEMS), San Francisco, CA, USA, 26–30 January 2014. [Google Scholar]
- Wouden, E.V.; Groenesteijn, J.; Wiegerink, R.; Lötters, J.; der Wouden, E.V. Multi Parameter Flow Meter for On-Line Measurement of Gas Mixture Composition. Micromachines 2015, 6, 452–461. [Google Scholar] [CrossRef]
- Kenari, S.A.; Wiegerink, R.J.; Sanders, R.G.P.; Lötters, J.C. Velocity-independent thermal conductivity and volumetric heat capacity measurement of binary gas mixtures. In Proceedings of the 5th Conference on MicroFluidic Handling Systems (MFHS), Munich, Germany, 21–23 February 2024. [Google Scholar]
- Kenari, S.A.; Wiegerink, R.J.; Sanders, R.G.P.; Lötters, J.C. Thermal Flow Meter with Integrated Thermal Conductivity Sensor. Micromachines 2023, 14, 1280. [Google Scholar] [CrossRef] [PubMed]
- Available online: https://www.fluidat.com/default.asp (accessed on 20 January 2024).













| Parameter | Symbol | Value |
|---|---|---|
| Beam length | l | 2 mm |
| Beam width | w | 3 m |
| Beam thickness | t | 400 nm |
| V-groove width | 80 m | |
| V-groove depth | d | 58 m |
| Fluid | CO2 | Ar | Air | He | |
|---|---|---|---|---|---|
| Max error (%) | DC | <0.03 | <0.04 | <0.008 | <1.5 |
| AC | <0.3 | <0.4 | <0.3 | <6 |
Disclaimer/Publisher’s Note: The statements, opinions and data contained in all publications are solely those of the individual author(s) and contributor(s) and not of MDPI and/or the editor(s). MDPI and/or the editor(s) disclaim responsibility for any injury to people or property resulting from any ideas, methods, instructions or products referred to in the content. |
© 2024 by the authors. Licensee MDPI, Basel, Switzerland. This article is an open access article distributed under the terms and conditions of the Creative Commons Attribution (CC BY) license (https://creativecommons.org/licenses/by/4.0/).
Share and Cite
Kenari, S.A.; Wiegerink, R.J.; Sanders, R.G.P.; Lötters, J.C. Flow-Independent Thermal Conductivity and Volumetric Heat Capacity Measurement of Pure Gases and Binary Gas Mixtures Using a Single Heated Wire. Micromachines 2024, 15, 671. https://doi.org/10.3390/mi15060671
Kenari SA, Wiegerink RJ, Sanders RGP, Lötters JC. Flow-Independent Thermal Conductivity and Volumetric Heat Capacity Measurement of Pure Gases and Binary Gas Mixtures Using a Single Heated Wire. Micromachines. 2024; 15(6):671. https://doi.org/10.3390/mi15060671
Chicago/Turabian StyleKenari, Shirin Azadi, Remco J. Wiegerink, Remco G. P. Sanders, and Joost C. Lötters. 2024. "Flow-Independent Thermal Conductivity and Volumetric Heat Capacity Measurement of Pure Gases and Binary Gas Mixtures Using a Single Heated Wire" Micromachines 15, no. 6: 671. https://doi.org/10.3390/mi15060671
APA StyleKenari, S. A., Wiegerink, R. J., Sanders, R. G. P., & Lötters, J. C. (2024). Flow-Independent Thermal Conductivity and Volumetric Heat Capacity Measurement of Pure Gases and Binary Gas Mixtures Using a Single Heated Wire. Micromachines, 15(6), 671. https://doi.org/10.3390/mi15060671

