Effect of GaN Cap Thickness on the DC Performance of AlGaN/GaN HEMTs
Abstract
1. Introduction
2. Experimental Details
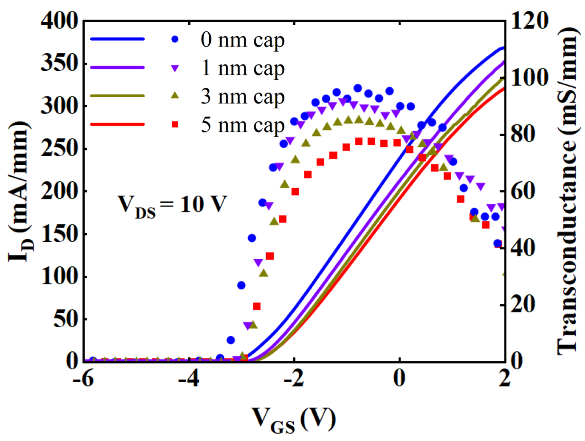
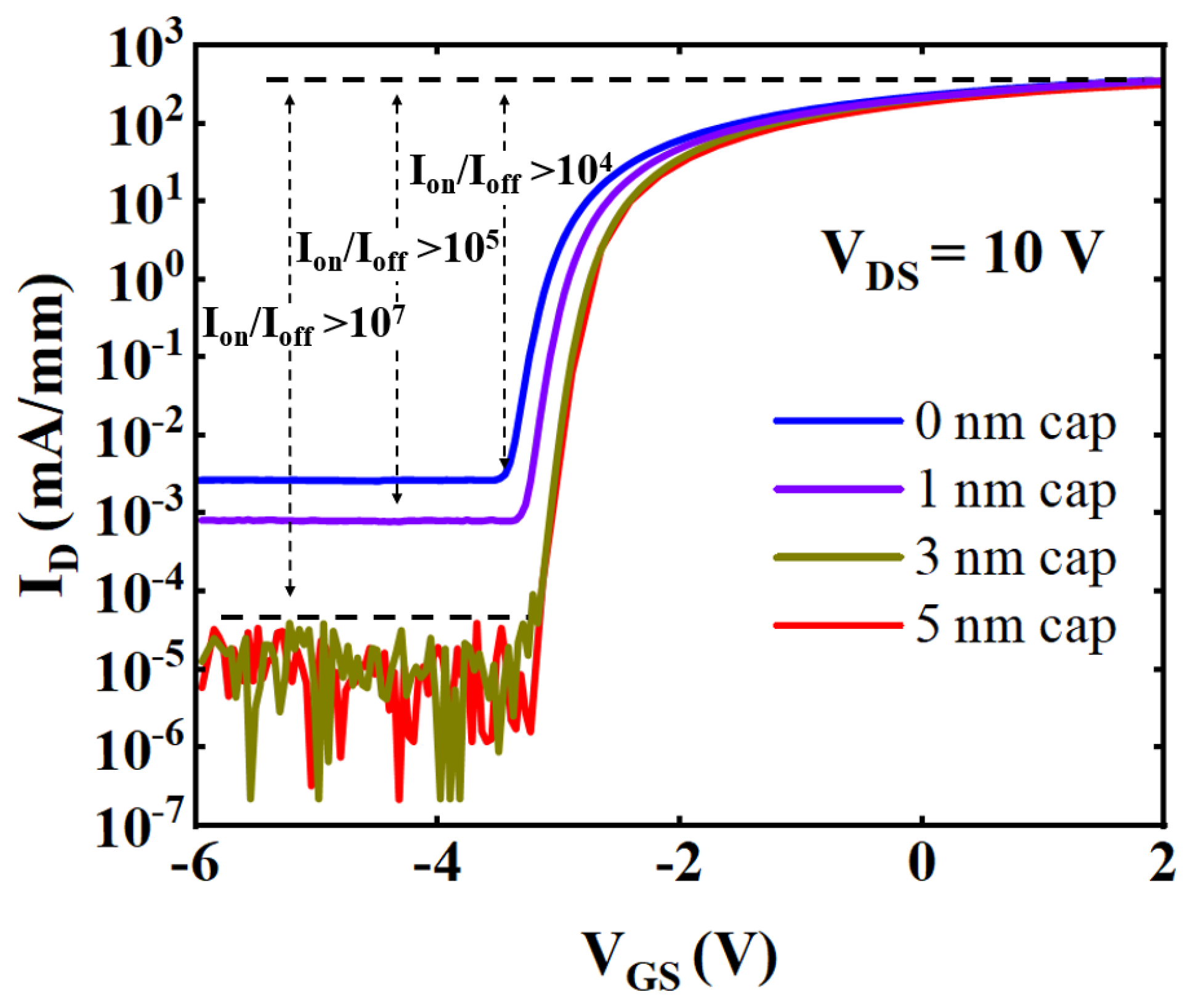
3. Results and Discussion
4. Conclusions
Author Contributions
Funding
Data Availability Statement
Conflicts of Interest
References
- Zhang, Y.; Zubair, A.; Liu, Z.; Xiao, M.; Perozek, J.; Ma, Y.; Palacios, T. GaN FinFETs and trigate devices for power and RF applications: Review and perspective. Semicond. Sci. Technol. 2021, 36, 054001. [Google Scholar] [CrossRef]
- Amano, H.; Baines, Y.; Beam, E.; Borga, M.; Bouchet, T.; Chalker, P.R.; Charles, M.; Chen, K.J.; Chowdhury, N.; Chu, R. The 2018 GaN power electronics roadmap. J. Phys. D Appl. Phys. 2018, 51, 163001. [Google Scholar] [CrossRef]
- Chen, K.J.; Häberlen, O.; Lidow, A.; lin Tsai, C.; Ueda, T.; Uemoto, Y.; Wu, Y. GaN-on-Si power technology: Devices and applications. IEEE Trans. Electron Devices 2017, 64, 779–795. [Google Scholar] [CrossRef]
- He, J.; Cheng, W.C.; Wang, Q.; Cheng, K.; Yu, H.; Chai, Y. Recent advances in GaN-based power HEMT devices. Adv. Electron. Mater. 2021, 7, 2001045. [Google Scholar] [CrossRef]
- Yu, E.; Dang, X.; Asbeck, P.; Lau, S.; Sullivan, G. Spontaneous and piezoelectric polarization effects in III–V nitride heterostructures. J. Vac. Sci. Technol. B 1999, 17, 1742–1749. [Google Scholar] [CrossRef]
- Jurkovic, M.; Gregusova, D.; Palankovski, V.; Hascik, Š.; Blaho, M.; Cico, K.; Frohlich, K.; Carlin, J.-F.; Grandjean, N.; Kuzmik, J. Schottky-barrier normally off GaN/InAlN/AlN/GaN HEMT with selectively etched access region. IEEE Electron Device Lett. 2013, 34, 432–434. [Google Scholar] [CrossRef]
- Arulkumaran, S.; Egawa, T.; Ishikawa, H. Studies on the influences of i-GaN, n-GaN, p-GaN and InGaN cap layers in AlGaN/GaN high-electron-mobility transistors. Jpn. J. Appl. Phys. 2005, 44, 2953. [Google Scholar] [CrossRef]
- Yoshida, S.; Sakaida, Y.; Asubar, J.; Tokuda, H.; Kuzuhara, M. Current collapse in AlGaN/GaN HEMTs with a GaN cap layer. In Proceedings of the 2015 IEEE International Meeting for Future of Electron Devices, Kansai (IMFEDK), Kyoto, Japan, 4–5 June 2015. [Google Scholar]
- Zhang, T.; Lv, Y.; Li, R.; Zhang, Y.; Zhang, Y.; Li, X.; Zhang, J.; Hao, Y. Current-collapse suppression of high-performance lateral AlGaN/GaN Schottky barrier diodes by a thick GaN cap layer. IEEE Electron Device Lett. 2021, 42, 477–480. [Google Scholar] [CrossRef]
- Hao, R.; Li, W.; Fu, K.; Yu, G.; Song, L.; Yuan, J.; Li, J.; Deng, X.; Zhang, X.; Zhou, Q. Breakdown enhancement and current collapse suppression by high-resistivity GaN cap layer in normally-off AlGaN/GaN HEMTs. IEEE Electron Device Lett. 2017, 38, 1567–1570. [Google Scholar] [CrossRef]
- Nishiguchi, K.; Nakata, K.; Nishiguchi, N.; Hashizume, T. Effects of a GaN cap layer on admittance characteristics of AlGaN/GaN MIS structures. J. Appl. Phys. 2023, 134, 055702. [Google Scholar] [CrossRef]
- Kikkawa, T.; Nagahara, M.; Okamoto, N.; Tateno, Y.; Yamaguchi, Y.; Hara, N.; Joshin, K.; Asbeck, P. Surface-charge controlled AlGaN/GaN-power HFET without current collapse and gm dispersion. In Proceedings of the International Electron Devices Meeting. Technical Digest (Cat. No. 01CH37224), Washington, DC, USA, 2–5 December 2001. [Google Scholar]
- Sfuncia, G.; Nicotra, G.; Giannazzo, F.; Pécz, B.; Gueorguiev, G.K.; Kakanakova-Georgieva, A. 2D graphitic-like gallium nitride and other structural selectivity in confinement at the graphene/SiC interface. CrystEngComm. 2023, 25, 5810–5817. [Google Scholar] [CrossRef]
- Li, Y.; Wu, Y.; Ding, S. First principle studies of oxygen absorption on GaN (0001) surface with steps. Phys. Rev. B Condens. Matter 2022, 627, 413528. [Google Scholar] [CrossRef]
- Narang, K.; Bag, R.K.; Singh, V.K.; Pandey, A.; Saini, S.K.; Khan, R.; Arora, A.; Padmavati, M.; Tyagi, R.; Singh, R. Improvement in surface morphology and 2DEG properties of AlGaN/GaN HEMT. J. Alloys Compd. 2020, 815, 152283. [Google Scholar] [CrossRef]
- Valipa, M.S.; Sriraman, S.; Aydil, E.S.; Maroudas, D. Atomic-scale analysis of fundamental mechanisms of surface valley filling during plasma deposition of amorphous silicon thin films. Surf. Sci. 2005, 574, 123–143. [Google Scholar] [CrossRef]
- Sharma, N.; Thomas, P.; Tricker, D.; Humphreys, C. Chemical mapping and formation of V-defects in InGaN multiple quantum wells. Appl. Phys. Lett. 2000, 77, 1274–1276. [Google Scholar] [CrossRef]
- Katz, O.; Horn, A.; Bahir, G.; Salzman, J. Electron mobility in an AlGaN/GaN two-dimensional electron gas. I. Carrier concentration dependent mobility. IEEE Trans. Electron Devices 2003, 50, 2002–2008. [Google Scholar] [CrossRef]
- Lee, G.Y.; Tu, P.T.; Chyi, J.I. Improving the off-state characteristics and dynamic on-resistance of AlInN/AlN/GaN HEMTs with a GaN cap layer. Appl. Phys. Express 2015, 8, 064102. [Google Scholar] [CrossRef]
- Yaita, J.; Yamada, A.; Nakamura, N.; Kotani, J. Probing the effects of surface roughness and barrier layer thickness in InAlGaN/GaN HEMTs to improve carrier mobility. Appl. Phys. Express 2021, 14, 031005. [Google Scholar] [CrossRef]
- Zhao, J.-T.; Lin, Z.-J.; Luan, C.-B.; Lü, Y.-J.; Feng, Z.-H.; Yang, M. Effects of GaN cap layer thickness on an AlN/GaN heterostructure. Chin. Phys. B 2014, 23, 127104. [Google Scholar] [CrossRef]
- Sarkar, S.; Khade, R.P.; DasGupta, A.; DasGupta, N. Effect of GaN cap layer on the performance of AlInN/GaN-based HEMTs. Microelectron. Eng. 2022, 258, 111756. [Google Scholar] [CrossRef]
- Wuerfl, J.; Bahat-Treidel, E.; Brunner, F.; Cho, E.; Hilt, O.; Ivo, P.; Knauer, A.; Kurpas, P.; Lossy, R.; Schulz, M. Reliability issues of GaN based high voltage power devices. Microelectron. Reliab. 2011, 51, 1710–1716. [Google Scholar] [CrossRef]
- Duan, B.; Yang, L.; Wang, Y.; Yang, Y. Experimental results for AlGaN/GaN HEMTs improving breakdown voltage and output current by electric field modulation. IEEE Trans. Electron Devices 2021, 68, 2240–2245. [Google Scholar] [CrossRef]
- Yang, L.; Duan, B.; Dong, Z.; Wang, Y.; Yang, Y. The analysis model of AlGaN/GaN HEMTs with electric field modulation effect. IETE Tech. Rev. 2020, 37, 553–564. [Google Scholar] [CrossRef]
- Goyal, A.; Yadav, B.S.; Raman, R.; Kumar, A.; Dalal, S.; Tyagi, R.; Kumar, V.; Kapoor, A.K. Non Destructive Evaluation of AlGaN/GaN HEMT structure by cathodoluminescence spectroscopy. J. Lumin. 2021, 232, 117834. [Google Scholar] [CrossRef]
- Wu, N.; Luo, L.; Xing, Z.; Li, S.; Zeng, F.; Cao, B.; Wu, C.; Li, G. Enhanced Performance of Low-Leakage-Current Normally off p-GaN Gate HEMTs Using NH3 Plasma Pretreatment. IEEE Trans. Electron Devices 2023, 68, 2240–2245. [Google Scholar] [CrossRef]
- Tajima, M.; Kotani, J.; Hashizume, T. Effects of surface oxidation of AlGaN on DC characteristics of AlGaN/GaN high-electron-mobility transistors. Jpn. J. Appl. Phys. 2009, 48, 020203. [Google Scholar] [CrossRef]









Disclaimer/Publisher’s Note: The statements, opinions and data contained in all publications are solely those of the individual author(s) and contributor(s) and not of MDPI and/or the editor(s). MDPI and/or the editor(s) disclaim responsibility for any injury to people or property resulting from any ideas, methods, instructions or products referred to in the content. |
© 2024 by the authors. Licensee MDPI, Basel, Switzerland. This article is an open access article distributed under the terms and conditions of the Creative Commons Attribution (CC BY) license (https://creativecommons.org/licenses/by/4.0/).
Share and Cite
Nie, Z.; Wang, K.; Liu, X.; Wang, H. Effect of GaN Cap Thickness on the DC Performance of AlGaN/GaN HEMTs. Micromachines 2024, 15, 571. https://doi.org/10.3390/mi15050571
Nie Z, Wang K, Liu X, Wang H. Effect of GaN Cap Thickness on the DC Performance of AlGaN/GaN HEMTs. Micromachines. 2024; 15(5):571. https://doi.org/10.3390/mi15050571
Chicago/Turabian StyleNie, Zuorong, Kai Wang, Xiaoyi Liu, and Hong Wang. 2024. "Effect of GaN Cap Thickness on the DC Performance of AlGaN/GaN HEMTs" Micromachines 15, no. 5: 571. https://doi.org/10.3390/mi15050571
APA StyleNie, Z., Wang, K., Liu, X., & Wang, H. (2024). Effect of GaN Cap Thickness on the DC Performance of AlGaN/GaN HEMTs. Micromachines, 15(5), 571. https://doi.org/10.3390/mi15050571

