Broadband Balanced-to-Balanced Filtering Power Divider Using HMSIW-SSPP Transmission Line
Abstract
1. Introduction
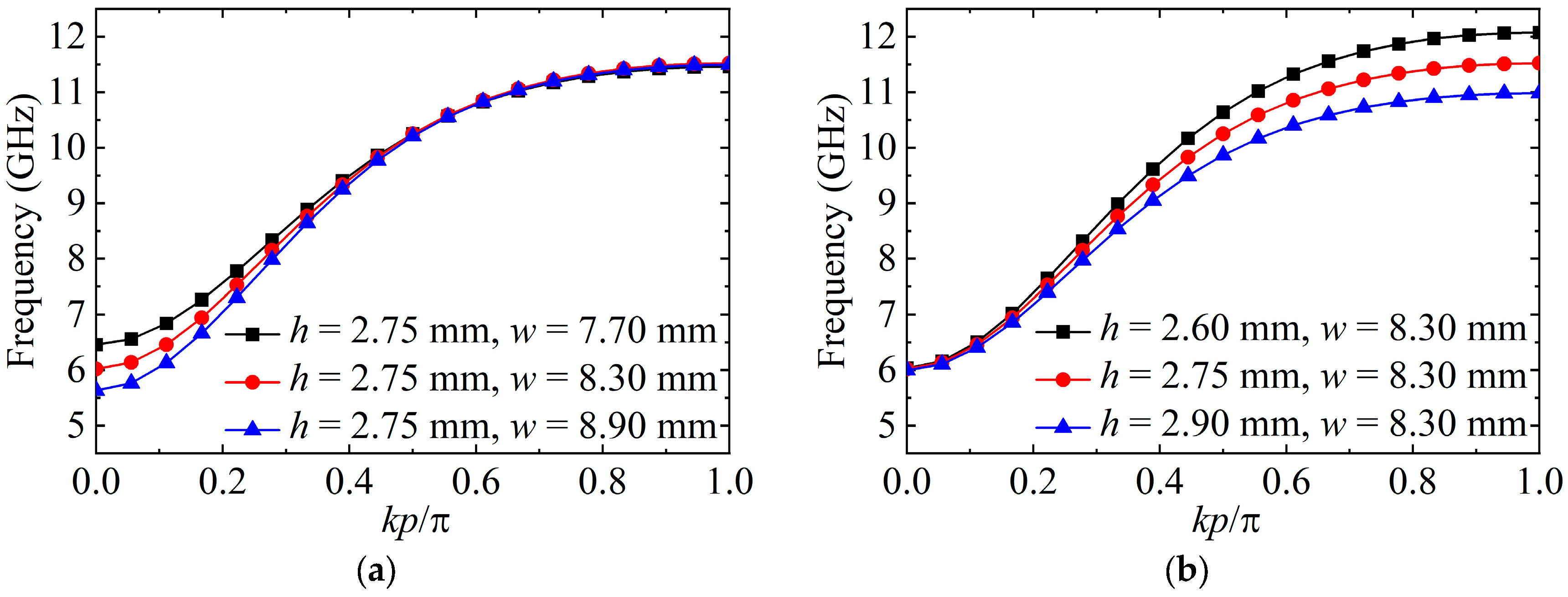
2. Characteristics of the HMSIW-SSPP
3. Design of HMSIW-SSPP BTB FPD
3.1. Design of HMSIW BTB PD
3.2. Design of HMSIW-SSPP BTB FPD I
3.3. DM Isolation Enhancement between the Output Ports
3.4. Improvement in CM Suppression between the Output Ports
- (1)
- Determine the sizes of the unit cell Type A. Based on the intended frequency response, the width w and the groove’s length h of Type A can be determined according to the independently adjustable characteristics of Type A in Figure 2.
- (2)
- Design the HMSIW BTB PD. The HMSIW BTB PD is constructed based on the width w of Type A to obtain a highpass BTB frequency response, as plotted in Figure 5.
- (3)
- Design the HMSIW-SSPP BTB FPD. The HMSIW-SSPP BTB FPD can be designed by loading three SSPP unit cells with the groove length of h and transition structures (Part I and Part III in Figure 6a) into HMSIW BTB PD. The initial groove lengths of unit cells in the transition structures change linearly from M1 to M4 and M6 to M9. After optimization by simulation software, good impedance matching can be achieved (Figure 6b).
- (4)
- Improvement in DM isolation between output ports. The values and positions of the isolation resistors can be obtained based on Formulas (1)–(6) and propagation constants of each unit cell calculated by eigenmode analysis.
- (5)
- Improvement in CM suppression between output ports. The initial length of output port DGS is set to three times the width of the microstrip line, and then it is further optimized to make |Scc32| approach −30 dB.
4. Experiments and Discussion
5. Conclusions
Author Contributions
Funding
Data Availability Statement
Conflicts of Interest
References
- Wu, L.-S.; Guo, Y.-X.; Mao, J.-F. Balanced-to-balanced Gysel power divider with bandpass filtering response. IEEE Trans. Microw. Theory Tech. 2013, 61, 4052–4062. [Google Scholar] [CrossRef]
- Luo, M.; Xu, X.; Tang, X.; Zhang, Y. A compact balanced-to-balanced filtering gysel power divider using λg/2 resonators and short-stub-loaded resonator. IEEE Microw. Wirel. Compon. Lett. 2017, 27, 645–647. [Google Scholar] [CrossRef]
- Liu, Q.; Wang, J.; Zhu, L.; Zhang, G.; Wu, W. Design of a new balanced-to-balanced filtering power divider based on square patch resonator. IEEE Trans. Microw. Theory Tech. 2018, 66, 5280–5289. [Google Scholar] [CrossRef]
- Zhang, Q.; Chen, C.; Chen, W.; Ding, J.; Zhang, H. Novel balanced single/dual-band bandpass filters based on a circular patch resonator. IET Microw. Antennas Propag. 2021, 15, 206–220. [Google Scholar] [CrossRef]
- Song, Y.; Zhang, A. Balanced filtering power divider based on odd-mode hybrid microstrip and slotline spoof surface plasmon polaritons. Appl. Computat. Electromagnet. Soc. J. 2023, 38, 532. [Google Scholar] [CrossRef]
- Chu, H.; Chen, J.-X.; Guo, Y.-X. Substrate integrated waveguide differential filtering power divider with good common-mode suppression and high selectivity. Electron. Lett. 2015, 51, 2115–2117. [Google Scholar] [CrossRef]
- Li, P.; Chu, H.; Chen, R. A novel differential filtering SIW power divider with high selectivity. Int. J. RF Microw. Comput. Aided Eng. 2016, 26, 182–188. [Google Scholar] [CrossRef]
- Zheng, J.; Zhou, X.; Tang, W.; Liu, Y.; Zhang, G.; Yang, H.; Yang, J. Design of balanced to balanced filtering power divider based on right triangle substrate integrated waveguide cavity. Int. J. RF Microw. Comput. Aided Eng. 2021, 31, e22766. [Google Scholar] [CrossRef]
- Wu, G.; Xu, K.; Shi, J. A planar balanced-to-balanced filtering power divider with in-band common-mode suppressions and self-isolation. Int. J. RF Microw. Comput. Aided Eng. 2022, 32, e23187. [Google Scholar] [CrossRef]
- Chi, P.-L.; Chen, Y.-M.; Yang, T. Single-layer dual-band balanced substrate-integrated waveguide filtering power divider for 5G millimeterwave applications. IEEE Microw. Wirel. Compon. Lett. 2020, 30, 585–588. [Google Scholar] [CrossRef]
- Liu, Y.; Zhang, G.; Zheng, J.; Li, Y.; Li, Z.; Li, M.; Wang, E. Design of a multilayer dual-band balanced-to-balanced SIW filtering power divider. Electron. Lett. 2020, 56, 1183–1186. [Google Scholar] [CrossRef]
- Guan, D.-F.; You, P.; Zhang, Q.; Xiao, K.; Yong, S.-W. Hybrid spoof surface plasmon polariton and substrate integrated waveguide transmission line and its application in filter. IEEE Trans. Microw. Theory Tech. 2017, 65, 4925–4932. [Google Scholar] [CrossRef]
- Chen, P.; Li, L.; Yang, K.; Chen, Q. Hybrid spoof surface plasmon polariton and substrate integrated waveguide broadband bandpass filter with wide out-of-band rejection. IEEE Microw. Wirel. Compon. Lett. 2018, 28, 984–986. [Google Scholar] [CrossRef]
- Ye, L.; Chen, Y.; Xu, K.D.; Li, W.; Liu, Q.H.; Zhang, Y. Substrate integrated plasmonic waveguide for microwave bandpass filter applications. IEEE Access 2019, 7, 75957–75964. [Google Scholar] [CrossRef]
- Guo, Y.-J.; Xu, K.-D.; Deng, X.; Cheng, X.; Chen, Q. Millimeter-wave on-chip bandpass filter based on spoof surface plasmon polaritons. IEEE Electron. Device Lett. 2020, 41, 1165–1168. [Google Scholar] [CrossRef]
- Zhang, D.; Zhang, K.; Wu, Q.; Jiang, T. Efficient propagation of spoof surface plasmon polaritons supported by substrate integrated waveguide with bandpass features. J. Phys. D Appl. Phys. 2020, 53, 425104. [Google Scholar] [CrossRef]
- Ye, L.; Chen, Z.; Zhang, Y.; Li, W.; Zhang, Y.; Wei, K. High performance multiple passband substrate integrated plasmonic filters. IEEE Trans. Circuits Syst. II Exp. Pap. 2022, 70, 1445–1449. [Google Scholar] [CrossRef]
- Liu, H.; Xue, B.; Xu, J. Broadband balanced filter with high common-mode suppression and wide stopband based on SIW and SSPP. IEICE Electron. Express 2024, 21, 20230485. [Google Scholar] [CrossRef]
- Pan, B.C.; Yu, P.; Liao, Z.; Zhu, F.; Luo, G.Q. A compact filtering power divider based on spoof surface plasmon polaritons and substrate integrated waveguide. IEEE Microw. Wirel. Compon. Lett. 2021, 32, 101–104. [Google Scholar] [CrossRef]
- Moznebi, A.-R.; Afrooz, K. Bandwidth enhancement of a half-mode substrate integrated waveguide filtering power divider using spoof surface plasmon polariton. J. Phys. D Appl. Phys. 2021, 55, 025103. [Google Scholar] [CrossRef]
- Wang, X.; Li, Y.; Li, H.; Wu, W. Broadband filtering balun employing spoof surface plasmon polariton and substrate integrated waveguide. AEU-Int. J. Electron. Commun. 2023, 160, 154511. [Google Scholar] [CrossRef]
- Cui, Y.; Xu, K.-D.; Guo, Y.-J.; Chen, Q. Half-mode substrate integrated plasmonic waveguide for filter and diplexer designs. J. Phys. D Appl. Phys. 2021, 55, 125104. [Google Scholar] [CrossRef]
- Liu, H.; Xue, B.; Xu, J. Design of filtering magic-T with wideband and wide stopband based on HMSIW and spoof surface plasmon polaritons. Electronics 2022, 11, 2699. [Google Scholar] [CrossRef]
- Song, K.; Luo, Z.; Guo, S.; Fan, M.; Zhou, Y. Modified Y-junction SIW power divider/combiner circuit. Int. J. Microw. Wirel. Technol. 2018, 10, 877–882. [Google Scholar] [CrossRef]
- Feng, W.; Che, W.; Xue, Q. The proper balance: Overview of microstrip wideband balance circuits with wideband common mode suppression. IEEE Microw. Mag. 2015, 16, 55–68. [Google Scholar] [CrossRef]











| Unit Cell | h | hd | hs | g1 | p |
|---|---|---|---|---|---|
| M1 (M9) | 1.20 | - | - | 0.50 | 3.50 |
| M2 (M8) | 1.50 | 1.00 | - | 0.50 | 3.50 |
| M3 (M7) | 2.14 | 2.30 | 1.45 | 0.50 | 3.50 |
| M4–M6 | 2.75 | 2.30 | 1.75 | 0.50 | 3.50 |
| k0 | k1, k9 | k2, k8 | k3, k7 | k4, k5,k6 |
|---|---|---|---|---|
| 0.186 | 0.197 | 0.208 | 0.246 | 0.294 |
| Reference | f0 (GHz) | 3 dB FBW (%) | IL (dB) | RL (dB) | CMS (dB) | ISO (dB) | Difference (dB/°) | ICOCF | Size (λg × λg) |
|---|---|---|---|---|---|---|---|---|---|
| Microstrip Resonators [2] | 2.39 | 7 | 2.21 | - | 60 | 20 | -/- | No | 0.46 × 0.40 |
| Patch Resonators [3]-1 | 1.8 | 18.2 | 1.08 | - | 52 | 29.5 | 0.05/0.2 | No | 0.55 × 0.55 |
| Patch Resonators [4] | 2.63 | 15.7 | 1.50 | 17.5 | 46 | - | -/- | No | 0.59 × 0.59 |
| SSPP [5] | 4.0 | 152 | 1.6 | 5.2 | 35 | 6 [S] | -/- | Yes | 1.45 × 1.27 |
| SIW Resonators [6] | 10 | 3.5 | 1.9 | 15 | 35 | - | -/0.6 | No | 3.35 × 3.35 |
| SIW Resonators [7] | 10.6 | 4.62 | 1.01 | 16 | 40 | - | 0.3/4 | No | 3.82 × 2.12 |
| SIW Resonators [8] | 14.91 | 4.1 | 1.3 | 17 | 42 | 16.1 | 0.2/2 | No | 0.59 × 0.71 |
| SIW + HMSIW Resonators [9] | 10.5 | 6.8 | 1.2 | 14 | 26 | 15.0 | -/1.5 | No | - |
| HMSIW-SSPP TL (This) | 9.1 | 52.31 | 1 | 11.57 | 34.05 | 14.25 | 0.16/1.1 | Yes | 3.28 × 1.67 |
Disclaimer/Publisher’s Note: The statements, opinions and data contained in all publications are solely those of the individual author(s) and contributor(s) and not of MDPI and/or the editor(s). MDPI and/or the editor(s) disclaim responsibility for any injury to people or property resulting from any ideas, methods, instructions or products referred to in the content. |
© 2024 by the authors. Licensee MDPI, Basel, Switzerland. This article is an open access article distributed under the terms and conditions of the Creative Commons Attribution (CC BY) license (https://creativecommons.org/licenses/by/4.0/).
Share and Cite
Liu, H.; Xue, B.; Xu, J. Broadband Balanced-to-Balanced Filtering Power Divider Using HMSIW-SSPP Transmission Line. Micromachines 2024, 15, 358. https://doi.org/10.3390/mi15030358
Liu H, Xue B, Xu J. Broadband Balanced-to-Balanced Filtering Power Divider Using HMSIW-SSPP Transmission Line. Micromachines. 2024; 15(3):358. https://doi.org/10.3390/mi15030358
Chicago/Turabian StyleLiu, Hao, Bing Xue, and Jun Xu. 2024. "Broadband Balanced-to-Balanced Filtering Power Divider Using HMSIW-SSPP Transmission Line" Micromachines 15, no. 3: 358. https://doi.org/10.3390/mi15030358
APA StyleLiu, H., Xue, B., & Xu, J. (2024). Broadband Balanced-to-Balanced Filtering Power Divider Using HMSIW-SSPP Transmission Line. Micromachines, 15(3), 358. https://doi.org/10.3390/mi15030358

