Effect of CuO Nanoparticles on the Optical, Structural, and Electrical Properties in the PMMA/PVDF Nanocomposite
Abstract
1. Introduction
2. Experimental Work
2.1. Materials
2.2. Method of Preparation of PMMA/PVDF/CuO NPs
2.3. Measurements Tools
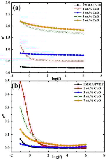
3. Results and Discussions
4. Conclusions
Author Contributions
Funding
Data Availability Statement
Acknowledgments
Conflicts of Interest
References
- Sun, X.; Huang, C.; Wang, L.; Liang, L.; Cheng, Y.; Fei, W.; Li, Y. Recent progress in graphene/polymer nanocomposites. Adv. Mater. 2021, 33, 2001105. [Google Scholar] [CrossRef] [PubMed]
- Chow, W.S.; Mohd Ishak, Z.A. Smart polymer nanocomposites: A review. Express Polym. Lett. 2020, 14, 416–435. [Google Scholar] [CrossRef]
- Alateyah, A.I.; Dhakal, H.N.; Zhang, Z.Y. Processing, properties, and applications of polymer nanocomposites based on layer silicates: A review. Adv. Polym. Technol. 2013, 32, 4. [Google Scholar] [CrossRef]
- Darwish, M.S.; Mostafa, M.H.; Al-Harbi, L.M. Polymeric nanocomposites for environmental and industrial applications. Int. J. Mol. Sci. 2022, 23, 1023. [Google Scholar] [CrossRef]
- Müller, K.; Bugnicourt, E.; Latorre, M.; Jorda, M.; Echegoyen Sanz, Y.; Lagaron, J.M.; Miesbauer, O.; Bianchin, A.; Hankin, S.; Bölz, U.; et al. Review on the processing and properties of polymer nanocomposites and nanocoatings and their applications in the packaging, automotive and solar energy fields. Nanomaterials 2017, 7, 74. [Google Scholar] [CrossRef] [PubMed]
- Bitinis, N.; Hernández, M.; Verdejo, R.; Kenny, J.M.; Lopez-Manchado, M.A. Recent advances in clay/polymer nanocomposites. Adv. Mater. 2011, 23, 5229–5236. [Google Scholar] [CrossRef] [PubMed]
- Guo, N.; Di Benedetto, S.A.; Tewari, P.; Lanagan, M.T.; Ratner, M.A.; Marks, T.J. Nanoparticle, size, shape, and interfacial effects on leakage current density, permittivity, and breakdown strength of metal oxide-polyolefin nanocomposites: Experiment and theory. Chem. Mater. 2010, 22, 1567–1578. [Google Scholar] [CrossRef]
- Sarkar, S.; Guibal, E.; Quignard, F.; SenGupta, A.K. Polymer-supported metals and metal oxide nanoparticles: Synthesis, characterization, and applications. J. Nanoparticle Res. 2012, 14, 715. [Google Scholar] [CrossRef]
- Vidovix, T.B.; Quesada, H.B.; Januário, E.F.D.; Bergamasco, R.; Vieira, A.M.S. Green synthesis of copper oxide nanoparticles using Punica granatum leaf extract applied to the removal of methylene blue. Mater. Lett. 2019, 257, 126685. [Google Scholar] [CrossRef]
- Dagher, S.; Haik, Y.; Ayesh, A.I.; Tit, N. Synthesis and optical properties of colloidal CuO nanoparticles. J. Lumin. 2014, 151, 149–154. [Google Scholar] [CrossRef]
- Jiang, T.; Wang, Y.; Meng, D.; Wu, X.; Wang, J.; Chen, J. Controllable fabrication of CuO nanostructure by hydrothermal method and its properties. Appl. Surf. Sci. 2014, 311, 602–608. [Google Scholar] [CrossRef]
- Mahmoud, M.E.; El-Sharkawy, R.M.; Allam, E.A.; Elsaman, R.; El-Taher, A. Fabrication and characterization of phosphotungstic acid-Copper oxide nanoparticles-Plastic waste nanocomposites for enhanced radiation-shielding. J. Alloys Compd. 2019, 803, 768–777. [Google Scholar]
- Gvozdenko, A.A.; Siddiqui, S.A.; Blinov, A.V.; Golik, A.B.; Nagdalian, A.A.; Maglakelidze, D.G.; Statsenko, E.N.; Pirogov, M.A.; Blinova, A.A.; Ibrahim, S.A.; et al. Synthesis of CuO nanoparticles stabilized with gelatin for potential use in food packaging applications. Sci. Rep. 2022, 12, 12843. [Google Scholar] [CrossRef] [PubMed]
- Katowah, D.F.; Alqarni, S.; Mohammed, G.I.; Al Sheheri, S.Z.; Alam, M.M.; Ismail, S.H.; Asiri, A.M.; Hussein, M.A.; Rahman, M.M. Selective Hg2+sensor performance based various carbon-nanofillers into CuO-PMMA nanocomposites. Polym. Adv. Technol. 2020, 31, 1946–1962. [Google Scholar] [CrossRef]
- Rabee, B.H.; Al-Kareem, B.A. Study of optical properties of (PMMA-CuO) nanocomposites. Int. J. Sci. Res. 2016, 5, 879–883. [Google Scholar]
- Alghunaim, N.S. In situ synthesis and investigation poly (methyl methacrylate)/polycarbonate nanocomposites incorporated with copper oxide nanoparticles. Results Phys. 2020, 19, 103368. [Google Scholar] [CrossRef]
- Abdullah, O.G.; Aziz, S.B.; Omer, K.M.; Salih, Y.M. Reducing the optical band gap of polyvinyl alcohol (PVA) based nanocomposite. J. Mater. Sci. Mater. Electron. 2015, 26, 5303–5309. [Google Scholar] [CrossRef]
- Subashini, K.; Prakash, S.; Sujatha, V. Polymer nanocomposite prepared using copper oxide nanoparticles derived from Sterculia foetida leaf extract with biological applications. Mater. Res. Express 2020, 7, 115308. [Google Scholar] [CrossRef]
- Manjunath, A.; Irfan, M.; Anushree, K.P.; Vinutha, K.M.; Yamunarani, N. Synthesis and characterization of CuO nanoparticles and CuO doped PVA nanocomposites. Adv. Mater. Phys. Chem. 2016, 6, 263. [Google Scholar] [CrossRef]
- Jeedi, V.R.; Narsaiah, E.L.; Yalla, M.; Swarnalatha, R.; Reddy, S.N.; Sadananda Chary, A. Structural and electrical studies of PMMA and PVdF based blend polymer electrolyte. SN Appl. Sci. 2020, 2, 2093. [Google Scholar] [CrossRef]
- Alhusaiki-Alghamdi, H.M. Thermal and electrical properties of graphene incorporated into polyvinylidene fluoride/polymethyl methacrylate nanocomposites. Polym. Compos. 2017, 38, E246–E253. [Google Scholar] [CrossRef]
- Gaabour, L.H. Analysis of Spectroscopic, Optical and Magnetic Behaviour of PVDF/PMMA Blend Embedded by Magnetite (Fe3O4) Nanoparticles. Opt. Photonics J. 2020, 10, 197. [Google Scholar] [CrossRef]
- Arul, K.T.; Ramanjaneyulu, M.; Rao, M.R. Energy harvesting of PZT/PMMA composite flexible films. Curr. Appl. Phys. 2019, 19, 375–380. [Google Scholar] [CrossRef]
- Tommasini, F.J.; Ferreira, L.D.C.; Tienne, L.G.P.; Aguiar, V.D.O.; Silva, M.H.P.D.; Rocha, L.F.D.M.; Marques, M.D.F.V. Poly (methyl methacrylate)-SiC nanocomposites prepared through in situ polymerization. Mater. Res. 2018, 21. [Google Scholar] [CrossRef]
- Alghunaim, N.S. Spectroscopic analysis of PMMA/PVC blends containing CoCl2. Results Phys. 2015, 5, 331–336. [Google Scholar] [CrossRef]
- Trinh KT, L.; Thai, D.A.; Chae, W.R.; Lee, N.Y. Rapid fabrication of poly (methyl methacrylate) devices for lab-on-a-chip applications using acetic acid and UV treatment. Acs Omega 2020, 5, 17396–17404. [Google Scholar] [CrossRef]
- Nooma, S.; Magaraphan, R. Core–shell natural rubber and its effect on toughening and mechanical properties of poly (methyl methacrylate). Polym. Bull. 2019, 76, 3329–3354. [Google Scholar] [CrossRef]
- Lu, X.; Peng, Y.; Qiu, H.; Liu, X.; Ge, L. Anti-fouling membranes by manipulating surface wettability and their anti-fouling mechanism. Desalination 2017, 413, 127–135. [Google Scholar] [CrossRef]
- Daems, N.; Milis, S.; Verbeke, R.; Szymczyk, A.; Pescarmona, P.; Vankelecom, I. High-performance membranes with full pH-stability. RSC Adv. 2018, 8, 8813–8827. [Google Scholar] [CrossRef]
- Kaur, G.; Rana, D.S. Fabrication and comprehensive investigation on structural, morphological and electrical properties of polyvinylidene fluoride–nickel oxide nanocomposite thin films. J. Mater. Sci. Mater. Electron. 2019, 30, 18153–18158. [Google Scholar] [CrossRef]
- Arun, K.J.; Batra, A.K.; Krishna, A.; Bhat, K.; Aggarwal, M.D.; Francis, P.J. Surfactant free hydrothermal synthesis of copper oxide nanoparticles. Am. J. Mater. Sci. 2015, 5, 36–38. [Google Scholar]
- Thangamani, J.G.; Pasha, S.K. Hydrothermal synthesis of copper (II) oxide-nanoparticles with highly enhanced BTEX gas sensing performance using chemiresistive sensor. Chemosphere 2021, 277, 130237. [Google Scholar] [CrossRef] [PubMed]
- Patterson, A.L. The Scherrer formula for X-ray particle size determination. Phys. Rev. 1939, 56, 978. [Google Scholar] [CrossRef]
- Aziz, S.B.; Abdullah, O.G.; Brza, M.A.; Azawy, A.K.; Tahir, D.A. Effect of carbon nano-dots (CNDs) on structural and optical properties of PMMA polymer composite. Results Phys. 2019, 15, 102776. [Google Scholar] [CrossRef]
- Rameshkumar, C.; Sarojini, S.; Naresh, K.; Subalakshmi, R. Preparation and characterization of pristine PMMA and PVDF thin film using solution casting process for optoelectronic devices. J. Surf. Sci. Technol. 2017, 33, 12–18. [Google Scholar] [CrossRef]
- Janakiraman, S.; Surendran, A.; Ghosh, S.; Anandhan, S.; Venimadhav, A. Electroactive poly (vinylidene fluoride) fluoride separator for sodium ion battery with high coulombic efficiency. Solid State Ion. 2016, 292, 130–135. [Google Scholar] [CrossRef]
- Wang, Y.; Wang, J.; Wang, F.; Li, S.; Xiao, J. PVDF based all-organic composite with high dielectric constant. Polym. Bull. 2008, 60, 647–655. [Google Scholar] [CrossRef]
- Yang, D.; Xu, H.; Yu, W.; Wang, J.; Gong, X. Dielectric properties and thermal conductivity of graphene nanoplatelet filled poly (vinylidene fluoride)(PVDF)/poly (methyl methacrylate)(PMMA) blend. J. Mater. Sci. Mater. Electron. 2017, 28, 13006–13012. [Google Scholar] [CrossRef]
- Mettu, M.R.; Mallikarjun, A.; Reddy, M.V.; Reddy, M.J.; Kumar, J.S. Investigation of Structural and Optical Properties of PMMA/PVdF-HFP Polymer Blend System. In Advances in Sustainability Science and Technology, Proceedings of Fourth International Conference on Inventive Material Science Applications, Coimbatore, India, 14–15 May 2021; Springer: Singapore, 2022; pp. 295–306. [Google Scholar]
- Ali, H.; Ismail, A.M. Honeycomb-like V2O5 based films: Synthesis, structural, thermal, and optical properties for environmental applications. J. Inorg. Organomet. Polym. Mater. 2022, 32, 3012–3029. [Google Scholar] [CrossRef]
- Khan, J.; Siddiq, M.; Akram, B.; Ashraf, M.A. In-situ synthesis of CuO nanoparticles in P (NIPAM-co-AAA) microgel, structural characterization, catalytic and biological applications. Arab. J. Chem. 2018, 11, 897–909. [Google Scholar] [CrossRef]
- Aziz, S.B. Morphological and Optical Characteristics of Chitosan (1 − x): Cuo x (4 ≤ x ≤ 12) Based Polymer Nano-Composites: Optical Dielectric Loss as an Alternative Method for Tauc’s Model. Nanomaterials 2017, 7, 444. [Google Scholar] [CrossRef] [PubMed]
- Abdullah, O.G.; Salh, D.M.; Mohamad, A.H.; Jamal, G.M.; Ahmed, H.T.; Mustafa, B.S.; Suhail, M.H. Linear and nonlinear optical characterization of dye–polymer composite films based on methylcellulose incorporated with varying content of methylene blue. J. Electron. Mater. 2022, 51, 675–683. [Google Scholar] [CrossRef]
- Sheqnab, M.L.; Alnayli, R.S. Effect of Cdte Nanoparticles on Linear and Nonlinear Optical Property of Polyvinyl Alcohols PVA Film. J. Educ. Pure Sci. 2019, 9, 259–268. [Google Scholar] [CrossRef]
- Gaabour, L.H. Effect of addition of TiO2 nanoparticles on structural and dielectric properties of polystyrene/polyvinyl chloride polymer blend. AIP Adv. 2021, 11, 105120. [Google Scholar] [CrossRef]
- Aziz, S.B.; Abdullah, O.G.; Hussein, A.M.; Abdulwahid, R.T.; Rasheed, M.A.; Ahmed, H.M.; Abdalqadir, S.W.; Mohammed, A.R. Optical properties of pure and doped PVA: PEO based solid polymer blend electrolytes: Two methods for band gap study. J. Mater. Sci. Mater. Electron. 2017, 28, 7473–7479. [Google Scholar] [CrossRef]
- Badawi, A. Engineering the optical properties of PVA/PVP polymeric blend in situ using tin sulfide for optoelectronics. Appl. Phys. A 2020, 126, 335. [Google Scholar] [CrossRef]
- Farea, M.O.; Abdelghany, A.M.; Oraby, A.H. Optical and dielectric characteristics of polyethylene oxide/sodium alginate-modified gold nanocomposites. RSC Adv. 2020, 10, 37621–37630. [Google Scholar] [CrossRef]
- Mohammed, M.I. Dielectric dispersion and relaxations in (PMMA/PVDF)/ZnO nanocomposites. Polym. Bull. 2021, 79, 2443–2459. [Google Scholar] [CrossRef]
- Zhang, Y.; Jiang, S.; Fan, M.; Zeng, Y.; Yu, Y.; He, J. Piezoelectric formation mechanisms and phase transformation of poly (vinylidene fluoride)/graphite nanosheets nanocomposites. J. Mater. Sci. Mater. Electron. 2013, 24, 927–932. [Google Scholar] [CrossRef]












| CuO NPs (Wt.%) | RMS (nm) | RA (nm) |
|---|---|---|
| 0 | 115 | 86 |
| 1 | 132 | 104 |
| 3 | 173 | 131 |
| 5 | 177 | 147 |
| 7 | 183 | 151 |
| CuO wt.% | Absorption Edge (eV) | Urbach Energy | Energy Gap (eV) | |
|---|---|---|---|---|
| (eV) | Ed | Eid | ||
| 0 | 4.2 | 1.3 | 4.8 | 3.6 |
| 1 | 3.6 | 1.5 | 4.5 | 3.1 |
| 3 | 3.2 | 2.4 | 3.8 | 1.3 |
| 5 | 0.7 | 10.4 | 3.5 | 0.5 |
| 7 | 1.0 | 7.0 | 3.4 | 0.6 |
Disclaimer/Publisher’s Note: The statements, opinions and data contained in all publications are solely those of the individual author(s) and contributor(s) and not of MDPI and/or the editor(s). MDPI and/or the editor(s) disclaim responsibility for any injury to people or property resulting from any ideas, methods, instructions or products referred to in the content. |
© 2023 by the authors. Licensee MDPI, Basel, Switzerland. This article is an open access article distributed under the terms and conditions of the Creative Commons Attribution (CC BY) license (https://creativecommons.org/licenses/by/4.0/).
Share and Cite
Trabelsi, A.B.G.; Mostafa, A.M.; Alkallas, F.H.; Elsharkawy, W.B.; Al-Ahmadi, A.N.; Ahmed, H.A.; Nafee, S.S.; Pashameah, R.A.; Mwafy, E.A. Effect of CuO Nanoparticles on the Optical, Structural, and Electrical Properties in the PMMA/PVDF Nanocomposite. Micromachines 2023, 14, 1195. https://doi.org/10.3390/mi14061195
Trabelsi ABG, Mostafa AM, Alkallas FH, Elsharkawy WB, Al-Ahmadi AN, Ahmed HA, Nafee SS, Pashameah RA, Mwafy EA. Effect of CuO Nanoparticles on the Optical, Structural, and Electrical Properties in the PMMA/PVDF Nanocomposite. Micromachines. 2023; 14(6):1195. https://doi.org/10.3390/mi14061195
Chicago/Turabian StyleTrabelsi, Amira Ben Gouider, Ayman M. Mostafa, Fatemah H. Alkallas, W. B. Elsharkawy, Ameenah N. Al-Ahmadi, Hoda A. Ahmed, Sherif S. Nafee, Rami Adel Pashameah, and Eman A. Mwafy. 2023. "Effect of CuO Nanoparticles on the Optical, Structural, and Electrical Properties in the PMMA/PVDF Nanocomposite" Micromachines 14, no. 6: 1195. https://doi.org/10.3390/mi14061195
APA StyleTrabelsi, A. B. G., Mostafa, A. M., Alkallas, F. H., Elsharkawy, W. B., Al-Ahmadi, A. N., Ahmed, H. A., Nafee, S. S., Pashameah, R. A., & Mwafy, E. A. (2023). Effect of CuO Nanoparticles on the Optical, Structural, and Electrical Properties in the PMMA/PVDF Nanocomposite. Micromachines, 14(6), 1195. https://doi.org/10.3390/mi14061195

