A 12-Port MIMO Antenna System for 5G/WLAN Applications
Abstract
1. Introduction
2. Design of Proposed MIMO Antenna
2.1. L-Shaped Antenna Module
2.2. Folded Monopole Module
2.3. Current Distribution
3. Results and Discussion
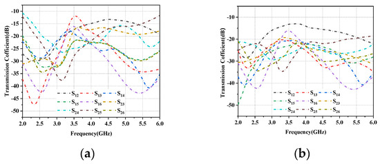
3.1. S-Parameter
3.2. Parametric Studies
3.3. Envelope Correlation Coefficient (ECC)
3.4. Radiation Efficiency and Antenna Peak Gain
3.5. Radiation Patterns
3.6. User’s Hands Effects
3.7. Performance Comparison
4. Conclusions
Author Contributions
Funding
Data Availability Statement
Conflicts of Interest
References
- Andrews, J.G.; Buzzi, S.; Choi, W.; Hanly, S.V.; Lozano, A.; Soong, A.C.; Zhang, J.C. What will 5G be? IEEE J. Sel. Areas Commun. 2014, 32, 1065–1082. [Google Scholar] [CrossRef]
- WRC-15 Press Release. World Radiocommunication Conference Allocates Spectrum for Future Innovation. 2019. Available online: https://www.itu.int/en/newsroom/wrc15/Pages/default.aspx (accessed on 27 November 2015).
- Matinmikko-Blue, M.; Yrjölä, S.; Seppänen, V.; Ahokangas, P.; Hämmäinen, H.; Latva-Aho, M. Analysis of spectrum valuation elements for local 5G networks: Case study of 3.5-GHz band. IEEE Trans. Cogn. Commun. Netw. 2019, 5, 741–753. [Google Scholar] [CrossRef]
- Hussain, N.; Jeong, M.J.; Abbas, A.; Kim, T.J.; Kim, N. A metasurface-based low-profile wideband circularly polarized patch antenna for 5G millimeter-wave systems. IEEE Access 2020, 8, 22127–22135. [Google Scholar] [CrossRef]
- Jensen, M.A.; Wallace, J.W. A review of antennas and propagation for MIMO wireless communications. IEEE Trans. Antennas Propag. 2004, 52, 2810–2824. [Google Scholar] [CrossRef]
- Sun, L.; Feng, H.; Li, Y.; Zhang, Z. Compact 5G MIMO mobile phone antennas with tightly arranged orthogonal-mode pairs. IEEE Trans. Antennas Propag. 2018, 66, 6364–6369. [Google Scholar] [CrossRef]
- Parchin, N.O.; Al-Yasir, Y.I.A.; Ali, A.H.; Elfergani, I.; Noras, J.M.; Rodriguez, J.; Abd-Alhameed, R.A. Eight-element dual-polarized MIMO slot antenna system for 5G smartphone applications. IEEE Access 2019, 7, 15612–15622. [Google Scholar] [CrossRef]
- Khan, R.; Al-Hadi, A.A.; Soh, P.J.; Isa, C.M.N.C.; Ali, M.T.; Khan, S. Dual polarized antennas with reduced user effects for LTE-U MIMO mobile terminals. AEU-Int. J. Electron. Commun. 2019, 111, 152880. [Google Scholar] [CrossRef]
- Sree, G.; Nelaturi, S. Design and experimental verification of fractal based MIMO antenna for lower sub 6-GHz 5G applications. AEU-Int. J. Electron. Commun. 2021, 137, 153797. [Google Scholar] [CrossRef]
- Singh, H.V.; Tripathi, S.; Mohan, A. Closely-coupled MIMO antenna with high wideband isolation using decoupling circuit. AEU-Int. J. Electron. Commun. 2021, 138, 153833. [Google Scholar] [CrossRef]
- Deng, C.; Liu, D.; Lv, X. Tightly arranged four-element MIMO antennas for 5G mobile terminals. IEEE Trans. Antennas Propag. 2019, 67, 6353–6361. [Google Scholar] [CrossRef]
- Su, S.W.; Lee, C.T.; Chen, S.C. Very-low-profile, triband, two-antenna system for WLAN notebook computers. IEEE Antennas Wirel. Propag. Lett. 2018, 17, 1626–1629. [Google Scholar] [CrossRef]
- Guo, J.; Cui, L.; Li, C.; Sun, B. Side-edge frame printed eight-port dual-band antenna array for 5G smartphone applications. IEEE Trans. Antennas Propag. 2018, 66, 7412–7417. [Google Scholar] [CrossRef]
- Cui, L.; Guo, J.; Liu, Y.; Sim, C.Y.D. An 8-element dual-band MIMO antenna with decoupling stub for 5G smartphone applications. IEEE Antennas Wirel. Propag Lett. 2019, 18, 2095–2099. [Google Scholar] [CrossRef]
- Sun, L.B.; Zhang, X.P.; Zhang, Z.J. Integrated Coupled-Loop MIMO Antenna Based on Mode Cancellation Method. J. Microw. 2021, 6, 10–14. [Google Scholar]
- Ye, Y.; Zhao, X.; Wang, J. Compact High-isolated MIMO Antenna Module with Chip Capacitive Decoupler for 5G Mobile Terminals. IEEE Antennas Wirel. Propag. Lett. 2022, 21, 928–932. [Google Scholar] [CrossRef]
- Liu, Y.; Ren, A.; Liu, H.; Wang, H.; Sim, C.Y.D. Eight-port MIMO array using characteristic mode theory for 5G smartphone applications. IEEE Access 2019, 7, 45679–45692. [Google Scholar] [CrossRef]
- Subbaraj, S.; Kanagasabai, M.; Sambandam, P.; Alsath, M.; Kingsly, S. Performance enhanced folded multiband MIMO antenna for mobile terminals. AEU-Int. J. Electron. Commun. 2021, 137, 153750. [Google Scholar] [CrossRef]
- Yang, B.X.; Xu, Y.X.; Tong, J.H.; Zhang, Y.H.; Feng, Y.W.; Hu, Y.F. Tri-port Antenna with Shared Radiator and Self-Decoupling Characteristic for 5G smartphone Applications. IEEE Trans. Antennas Propag. 2022, 70, 4836–4841. [Google Scholar] [CrossRef]
- Moses, A.; Moses, N. Compact self decoupled MIMO antenna pairs covering 3.4–3.6 GHz band for 5G handheld device applications. AEU-Int. J. Electron. Commun. 2021, 141, 153971. [Google Scholar] [CrossRef]
- Moses, A.; Moses, N.; Janapala, D.K. An electrically small 4-port self-decoupled MIMO antenna pairs operating in n78 5G NR band for smartphone applications. AEU-Int. J. Electron. Commun. 2022, 145, 154082. [Google Scholar] [CrossRef]
- Xu, H.; Gao, S.S.; Zhou, H.; Wang, H.; Cheng, Y. A highly integrated MIMO antenna unit: Differential/common mode design. IEEE Trans. Antennas Propag. 2019, 67, 6724–6734. [Google Scholar] [CrossRef]
- Sun, L.; Li, Y.; Zhang, Z.; Wang, H. Self-decoupled MIMO antenna pair with shared radiator for 5G smartphones. IEEE Trans. Antennas Propag. 2020, 68, 3423–3432. [Google Scholar] [CrossRef]
- Sun, L.; Li, Y.; Zhang, Z.; Feng, Z. Wideband 5G MIMO antenna with integrated orthogonal-mode dual-antenna pairs for metal-rimmed smartphones. IEEE Trans. Antennas Propag. 2020, 68, 2494–2503. [Google Scholar] [CrossRef]
- Yuan, X.T.; Chen, Z.; Gu, T.; Yuan, T. A wideband PIFA-pair-based MIMO antenna for 5G smartphones. IEEE Antennas Wirel. Propag. Lett. 2021, 20, 371–375. [Google Scholar] [CrossRef]
- Han, C.Z.; Xiao, L.; Chen, Z.; Yuan, T. Co-Located self-neutralized handset antenna pairs with complementary radiation patterns for 5G MIMO applications. IEEE Access 2020, 8, 73151–73163. [Google Scholar] [CrossRef]
- Chang, L.; Yu, Y.; Wei, K.; Wang, H. Polarization-orthogonal Co-frequency dual antenna pair suitable for 5G MIMO smartphone with metallic bezels. IEEE Trans. Antennas Propag. 2019, 67, 5212–5220. [Google Scholar] [CrossRef]
- Zhang, Z. Antenna Design for Mobile Devices, 2nd ed.; Wiley: Hoboken, NJ, USA, 2017; pp. 139–188. [Google Scholar]
- Liu, X.Y.; Amin, M.; Liang, J.J. Wideband MIMO antenna with enhanced isolation for wireless communication application. IEICE Electron. Express 2018, 15, 20180948. [Google Scholar] [CrossRef]
- Hussain, N.; Kim, N. Integrated Microwave and mm-Wave MIMO Antenna Module with 360° Pattern Diversity for 5G Internet of Things. IEEE Internet Things J. 2022, 9, 24777–24789. [Google Scholar] [CrossRef]
- Sun, L.; Li, Y.; Zhang, Z. Wideband integrated quad-element MIMO antennas based on complementary antenna pairs for 5G smartphones. IEEE Trans. Antennas Propag. 2021, 69, 4466–4474. [Google Scholar] [CrossRef]
- Wong, K.L.; Lu, J.Y. 3.6-GHz 10-antenna array for mimo operation in the smartphone. Microw. Opt. Technol. Lett. 2015, 57, 1699–1704. [Google Scholar] [CrossRef]
- Ban, Y.L.; Li, C.; Sim, C.Y.D.; Wu, G.; Wong, K.L. 4G/5G multiple antennas for future multi-mode smartphone applications. IEEE Access 2016, 4, 2981–2988. [Google Scholar] [CrossRef]
- Wong, K.L.; Tsai, C.Y.; Lu, J.Y. Two asymmetrically mirrored gap-coupled loop antennas as a compact building block for eight-antenna MIMO array in the future smartphone. IEEE Trans. Antennas Propag. 2017, 65, 1765–1778. [Google Scholar] [CrossRef]
- Li, Y.; Sim, C.Y.D.; Luo, Y.; Yang, G. Metal-frame-integrated eight-element multiple-input multiple-output antenna array in the long term evolution bands 41/42/43 for fifth generation smartphones. Int. J. RF Microw. Comput.-Aided Eng. 2019, 29, e21495. [Google Scholar] [CrossRef]
- Shuai, Z.; Lau, B.K.; Tan, Y.; Ying, Z.; He, S. Mutual coupling reduction of two PIFAs with a T-shape slot impedance transformer for MIMO mobile terminals. IEEE Trans. Antennas Propag. 2012, 60, 1521–1531. [Google Scholar]
- Li, J.; Zhang, X.; Wang, Z.; Chen, X.; Chen, J.; Li, Y.; Zhang, A. Dual-band eight-antenna array design for MIMO applications in 5G mobile terminals. IEEE Access 2019, 7, 71636–71644. [Google Scholar] [CrossRef]


















| Parameter | L1 | L2 | L3 | L4 | L5 | L6 | L7 | L8 | L9 | L10 |
| Value (mm) | 2 | 3 | 8 | 3 | 2 | 7.5 | 5 | 10 | 5 | 4 |
| Parameter | L11 | L12 | L13 | W1 | W2 | W3 | W4 | W5 | W6 | W7 |
| Value (mm) | 5 | 6 | 17 | 0.5 | 1.5 | 2 | 1.5 | 1 | 0.6 | 6 |
| References | Bandwidth (GHz) | Isolation (dB) | ECC | Total Efficiency (%) |
|---|---|---|---|---|
| [31] | 3.4–3.6/4.8–5.1 (−6 dB) | >11.5 | <0.08 | >40 |
| [32] | 3.3–3.6/4.8–5.0 (−6 dB) | >10 | <0.15 | >60 |
| [33] | 3.3–5 (−6 dB) | >10 | <0.3 | >40.5 |
| [34] | 3.4–3.6 (−10 dB) | >12 | <0.1 | >50 |
| [35] | 3.4–3.6/5.15–5.93 (−6 dB) | >11.2 | <0.08 | >51 |
| [36] | 3.4–3.6 (−10 dB) | >10 | <0.2 | >62 |
| [37] | 2.496–2.69, 3.4–3.8 (−6 dB) | >10.5 | <0.2 | >44 |
| Proposed | 3.4–3.6 (−10 dB)/4.5–5.9 (−6 dB) | >11 | <0.04 | >75 |
Disclaimer/Publisher’s Note: The statements, opinions and data contained in all publications are solely those of the individual author(s) and contributor(s) and not of MDPI and/or the editor(s). MDPI and/or the editor(s) disclaim responsibility for any injury to people or property resulting from any ideas, methods, instructions or products referred to in the content. |
© 2023 by the authors. Licensee MDPI, Basel, Switzerland. This article is an open access article distributed under the terms and conditions of the Creative Commons Attribution (CC BY) license (https://creativecommons.org/licenses/by/4.0/).
Share and Cite
You, W.; Wang, Z.; Nie, W.; Mu, W. A 12-Port MIMO Antenna System for 5G/WLAN Applications. Micromachines 2023, 14, 1196. https://doi.org/10.3390/mi14061196
You W, Wang Z, Nie W, Mu W. A 12-Port MIMO Antenna System for 5G/WLAN Applications. Micromachines. 2023; 14(6):1196. https://doi.org/10.3390/mi14061196
Chicago/Turabian StyleYou, Wenshi, Zhonggen Wang, Wenyan Nie, and Weidong Mu. 2023. "A 12-Port MIMO Antenna System for 5G/WLAN Applications" Micromachines 14, no. 6: 1196. https://doi.org/10.3390/mi14061196
APA StyleYou, W., Wang, Z., Nie, W., & Mu, W. (2023). A 12-Port MIMO Antenna System for 5G/WLAN Applications. Micromachines, 14(6), 1196. https://doi.org/10.3390/mi14061196

