Research on Packaging Reliability and Quality Factor Degradation Model for Wafer-Level Vacuum Sealing MEMS Gyroscopes
Abstract
:1. Introduction
2. Theoretical Analyses
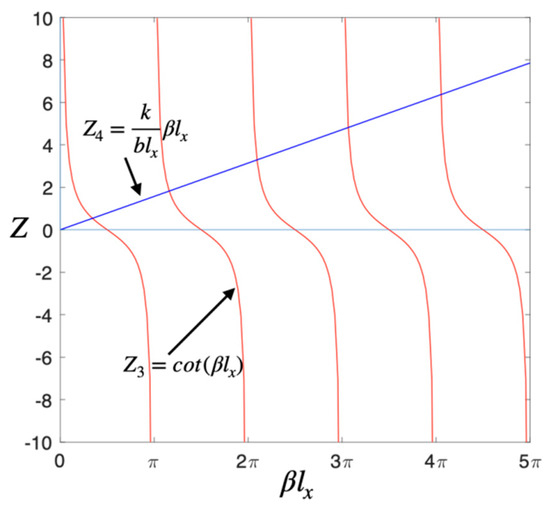
2.1. The Effect Mechanism of Gas Leakage
2.2. Degradation Models Based on Gas Leakage
3. Experimental Results
4. Conclusions
Author Contributions
Funding
Data Availability Statement
Conflicts of Interest
References
- Xu, P.; Si, C.; He, Y.; Wei, Z.; Jia, L.; Han, G.; Ning, J.; Yang, F. A Novel High-Q Dual-Mass MEMS Tuning Fork Gyroscope Based on 3D Wafer-Level Packaging. Sensors 2021, 21, 19. [Google Scholar] [CrossRef] [PubMed]
- Du, G.; Dong, X.; Huang, X.; Su, W.; Zhang, P. Reliability Evaluation Based on Mathematical Degradation Model for Vacuum Packaged MEMS Sensor. Micromachines 2022, 13, 1713. [Google Scholar] [CrossRef] [PubMed]
- Esashi, M. Wafer level packaging of MEMS. J. Micromech. Microeng. 2008, 18, 073001. [Google Scholar] [CrossRef]
- Gerrard, D.D.; Ahn, C.H.; Flader, I.B.; Chen, Y.; Ng, E.J.; Yang, Y.; Kenny, T.W. Q-factor optimization in disk resonator gyroscopes via geometric parameterization. In Proceedings of the 2016 IEEE 29th International Conference on Micro Electro Mechanical Systems (MEMS), Shanghai, China, 24–28 January 2016; pp. 994–997. [Google Scholar]
- Jia, L.; Han, G.; Wei, Z.; Si, C.; Ning, J.; Yang, F.; Han, W. A Novel Packaged Ultra-High Q Silicon MEMS Butterfly Vibratory Gyroscope. Micromachines 2022, 13, 1967. [Google Scholar] [CrossRef]
- Mirjalili, R.; Wen, H.; Serrano, D.E.; Ayazi, F. Substrate-decoupled silicon disk resonators having degenerate gyroscopic modes with Q in excess of 1-million. In Proceedings of the 2015 Transducers—2015 18th International Conference on Solid-State Sensors, Actuators and Microsystems (TRANSDUCERS), Anchorage, AK, USA, 21–25 June 2015; pp. 15–18. [Google Scholar]
- Akashi, T.; Funabashi, H.; Takagi, H.; Omura, Y.; Hata, Y. Wafer-level hermetic vacuum packaging by bonding with a copper–tin thin film sealing ring. J. Micromech. Microeng. 2018, 28, 044002. [Google Scholar] [CrossRef]
- Ayazi, F.; Wen, H.; Jeong, Y.; Gupta, P.; Daruwalla, A.; Liu, C.-S. High-Q Timing and Inertial Measurement Unit Chip (TIMU) with 3D Wafer-Level Packaging. In Proceedings of the 2019 IEEE Custom Integrated Circuits Conference (CICC), Austin, TX, USA, 14–17 April 2019; pp. 1–8. [Google Scholar]
- Esashi, M. Packaging, Sealing, and Interconnection. In 3D and Circuit Integration of MEMS; John Wiley & Sons, Ltd.: Hoboken, NJ, USA, 2021; pp. 377–407. [Google Scholar]
- Iqbal, F.; Din, H.; Lee, B. Single Drive Multi-Axis Gyroscope with High Dynamic Range, High Linearity and Wide Bandwidth. Micromachines 2019, 10, 410. [Google Scholar] [CrossRef]
- Torunbalci, M.M.; Gavcar, H.D.; Yesil, F.; Alper, S.E.; Akin, T. An All-Silicon Process Platform for Wafer-Level Vacuum Packaged MEMS Devices. IEEE Sens. J. 2021, 21, 13958–13964. [Google Scholar] [CrossRef]
- Wang, H.; Quan, H.; Zhou, J.; Zhang, L.; Xie, J.; Chang, H. A Wafer-Level Vacuum Packaged MEMS Disk Resonator Gyroscope With 0.42°/h Bias Instability Within ±300°/s Full Scale. IEEE Trans. Ind. Electron. 2022, 69, 5304–5313. [Google Scholar] [CrossRef]
- Wang, Y.; Cao, R.; Li, C.; Dean, R.N. Concepts, Roadmaps and Challenges of Ovenized MEMS Gyroscopes: A Review. IEEE Sens. J. 2021, 21, 92–119. [Google Scholar] [CrossRef]
- Schiwietz, D.; Weig, E.M.; Degenfeld-Schonburg, P. Temperature Dependence of Quality Factors at High Frequencies in MEMS Gyroscopes. In Proceedings of the 2023 IEEE 36th International Conference on Micro Electro Mechanical Systems (MEMS), Munich, Germany, 15–19 January 2023; pp. 877–880. [Google Scholar]
- Cui, J.; Zhao, Q. Thermal Stabilization of Quality Factor for Dual-axis MEMS Gyroscope Based on Joule Effect In-situ Dynamic Tuning. IEEE Trans. Ind. Electron. 2023, 71, 1060–1068. [Google Scholar] [CrossRef]
- Schiwietz, D.; Weig, E.M.; Degenfeld-Schonburg, P. Thermoelastic damping in MEMS gyroscopes at high frequencies. Microsyst. Nanoeng. 2023, 9, 11. [Google Scholar] [CrossRef] [PubMed]
- Cui, J.; Yan, G.; Zhao, Q. Enhanced temperature stability of scale factor in MEMS gyroscope based on multi parameters fusion compensation method. Measurement 2019, 148, 106947. [Google Scholar] [CrossRef]
- Cui, J.; Zhao, Q. Bias thermal stability improvement of MEMS gyroscope with quadrature motion correction and temperature self-sensing compensation. Micro Nano Lett. 2020, 15, 234–238. [Google Scholar] [CrossRef]
- Pistorio, F.; Saleem, M.M.; Somà, A. A Dual-Mass Resonant MEMS Gyroscope Design with Electrostatic Tuning for Frequency Mismatch Compensation. Appl. Sci. 2021, 11, 1129. [Google Scholar] [CrossRef]
- Gill, W.A.; Howard, I.; Mazhar, I.; McKee, K. A Review of MEMS Vibrating Gyroscopes and Their Reliability Issues in Harsh Environments. Sensors 2022, 22, 7405. [Google Scholar] [CrossRef]
- Liang, H.; He, X.; Xiong, B. Two-Mask Wafer-Level Vacuum Packaging with Bulk-Si 3D Interconnects for MEMS Devices and Its Package Performances. IEEE Sens. J. 2022, 22, 14522–14530. [Google Scholar] [CrossRef]
- Kopf, M.; Mogor-Györffy, R.; Breitling, A. Hydrogen gas diffusion influences cavity pressure of encapsulated inertial sensors. Micro Nano Eng. 2022, 16, 100144. [Google Scholar] [CrossRef]
- A New Method to Determine the Internal Pressure and Leakage Rate of MEMS Packages|Semantic Scholar. Available online: https://www.semanticscholar.org/paper/A-new-method-to-determine-the-internal-pressure-and-Wang-Coster/caa2ac6493607a1e2eda6b53f09a724c00075269 (accessed on 8 April 2023).
- Wang, B.; De Coster, J.; Wevers, M.; De Wolf, I. Gas leak rate study of MEMS thin film packages in different environments. In Proceedings of the 5th Electronics System-Integration Technology Conference (ESTC), Helsinki, Finland, 16–18 September 2014; pp. 1–4. [Google Scholar]
- Liang, H.; Liu, S.; Xiong, B. 3D wafer level packaging technology based on the co-planar Au–Si bonding structure. J. Micromech. Microeng. 2019, 29, 035010. [Google Scholar] [CrossRef]
- MIL-STD-883F; Department of defense test method standard: Microcircuits. United States Department of Defense: Arlington County, VA, USA, 2010.
- Wang, X.; Bleiker, S.J.; Edinger, P.; Errando-Herranz, C.; Roxhed, N.; Stemme, G.; Gylfason, K.B.; Niklaus, F. Wafer-Level Vacuum Sealing by Transfer Bonding of Silicon Caps for Small Footprint and Ultra-Thin MEMS Packages. J. Microelectromechanical Syst. 2019, 28, 460–471. [Google Scholar] [CrossRef]
- Temel, O.; Kalay, Y.E.; Akin, T. Wafer-Level Low-Temperature Solid-Liquid Inter-Diffusion Bonding with Thin Au-Sn Layers for MEMS Encapsulation. J. Microelectromechanical Syst. 2021, 30, 64–71. [Google Scholar] [CrossRef]
- Aono, T.; Suzuki, K.; Kanamaru, M.; Okada, R.; Maeda, D.; Hayashi, M.; Isono, Y. Development of wafer-level-packaging technology for simultaneous sealing of accelerometer and gyroscope under different pressures. J. Micromech. Microeng. 2016, 26, 105007. [Google Scholar] [CrossRef]
- He, C.H.; Wang, Y.P.; Huang, Q.W.; Zhao, Q.C.; Yang, Z.C.; Zhang, D.C.; Yan, G.Z. Research on the packaging reliability and degradation models of quality factors for a high vacuum sealed MEMS gyroscope. In Proceedings of the 2017 19th International Conference on Solid-State Sensors, Actuators and Microsystems (TRANSDUCERS), Kaohsiung, Taiwan, 18–22 June 2017; pp. 1077–1080. [Google Scholar]
- Feynman, R.P.; Leighton, R.B.; Sands, M. The Feynman Lectures on Physics, Vol. I: The New Millennium Edition: Mainly Mechanics, Radiation, and Heat; Basic Books: New York, NY, USA, 2011; Volume 1. [Google Scholar]
- Clark, W.A. Micromachined Vibratory Rate Gyroscope. Ph.D. Thesis, University of California, Berkeley, CA, USA, 1997. [Google Scholar]
- Yazdi, N. Micro-G Silicon Accelerometers with High Performance CMOS Interface Circuitr. Ph.D. Thesis, University of Michigan, Ann Arbor, MI, USA, 1999. [Google Scholar]






Disclaimer/Publisher’s Note: The statements, opinions and data contained in all publications are solely those of the individual author(s) and contributor(s) and not of MDPI and/or the editor(s). MDPI and/or the editor(s) disclaim responsibility for any injury to people or property resulting from any ideas, methods, instructions or products referred to in the content. |
© 2023 by the authors. Licensee MDPI, Basel, Switzerland. This article is an open access article distributed under the terms and conditions of the Creative Commons Attribution (CC BY) license (https://creativecommons.org/licenses/by/4.0/).
Share and Cite
Xu, Y.; Liu, S.; He, C.; Wu, H.; Cheng, L.; Huang, Q.; Yan, G. Research on Packaging Reliability and Quality Factor Degradation Model for Wafer-Level Vacuum Sealing MEMS Gyroscopes. Micromachines 2023, 14, 1956. https://doi.org/10.3390/mi14101956
Xu Y, Liu S, He C, Wu H, Cheng L, Huang Q, Yan G. Research on Packaging Reliability and Quality Factor Degradation Model for Wafer-Level Vacuum Sealing MEMS Gyroscopes. Micromachines. 2023; 14(10):1956. https://doi.org/10.3390/mi14101956
Chicago/Turabian StyleXu, Yingyu, Shuibin Liu, Chunhua He, Heng Wu, Lianglun Cheng, Qinwen Huang, and Guizhen Yan. 2023. "Research on Packaging Reliability and Quality Factor Degradation Model for Wafer-Level Vacuum Sealing MEMS Gyroscopes" Micromachines 14, no. 10: 1956. https://doi.org/10.3390/mi14101956
APA StyleXu, Y., Liu, S., He, C., Wu, H., Cheng, L., Huang, Q., & Yan, G. (2023). Research on Packaging Reliability and Quality Factor Degradation Model for Wafer-Level Vacuum Sealing MEMS Gyroscopes. Micromachines, 14(10), 1956. https://doi.org/10.3390/mi14101956

