An Experimental Investigation of the Degradation of CMOS Low-Noise Amplifier Specifications at Different Temperatures
Abstract
:1. Introduction
2. Structure and Experimental Setup of LNA
2.1. The Structure of LNA
2.2. Experimental Environment and Setup
3. Results and Discussions
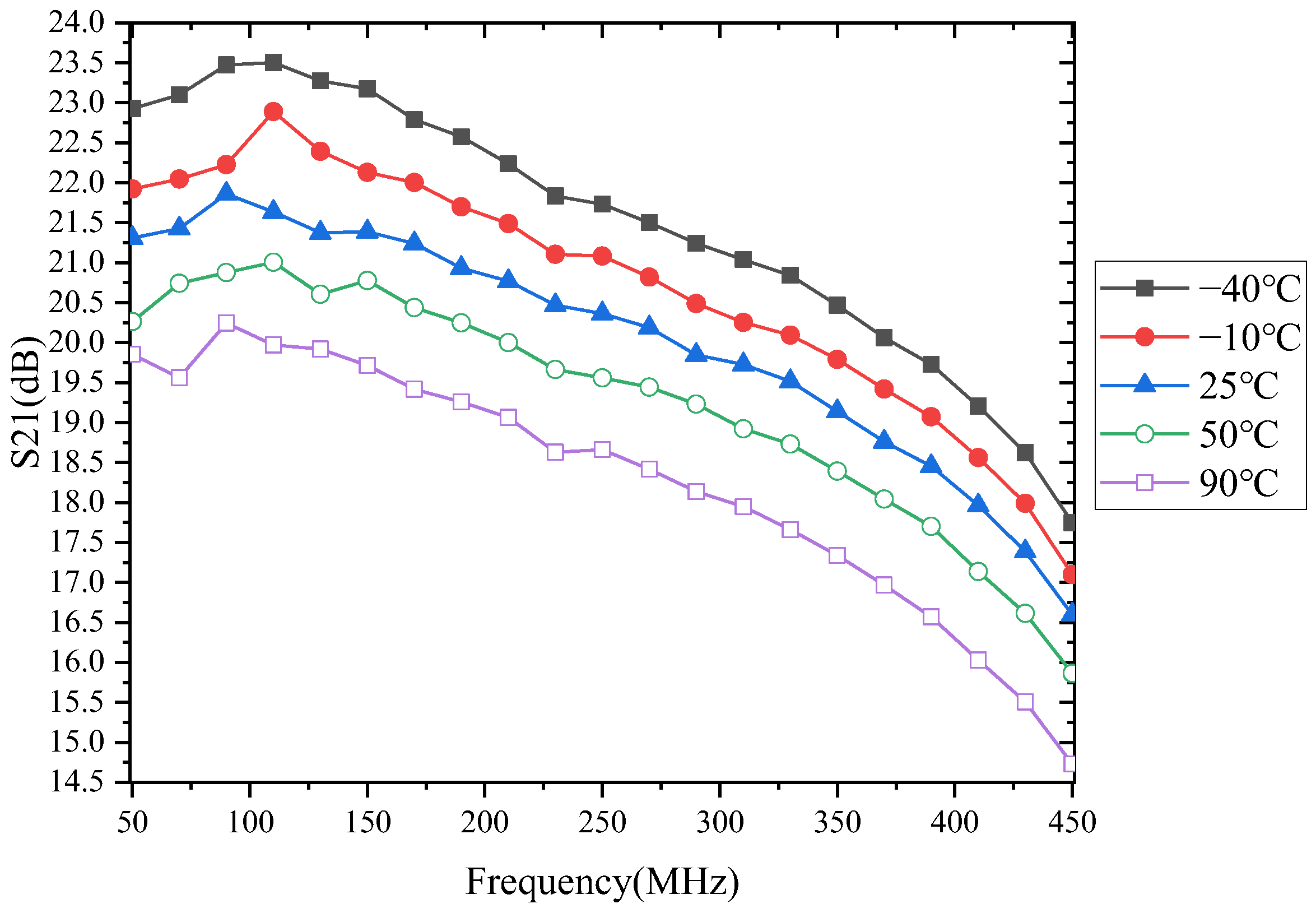
3.1. The S21
3.2. The Noise Figure (NF)
4. On-Chip Temperature Compensation for LNAs
5. Conclusions
Author Contributions
Funding
Institutional Review Board Statement
Informed Consent Statement
Data Availability Statement
Conflicts of Interest
References
- Zhang, Y.; Yuan, J. CMOS Transistor Amplifier Temperature Compensation: Modeling and Analysis. IEEE Trans. Device Mater. Reliab. 2012, 12, 376–381. [Google Scholar] [CrossRef]
- Jayaraman, K.; Khan, Q.; Chi, B.; Beattie, W.; Wang, Z.; Chiang, P. A self-healing 2.4GHz LNA with on-chip S11/S21 measurement/calibration for in-situ PVT compensation. In Proceedings of the 2010 IEEE Radio Frequency Integrated Circuits Symposium, Anaheim, CA, USA, 23–25 May 2010; pp. 311–314. [Google Scholar]
- Shin, S.; Leung, M.C.; Hsiao, S. A temperature variation compensated 60-GHz low-noise amplifier in 90-nm CMOS technology. In Proceedings of the Asia-Pacific Microwave Conference 2011, Melbourne, VIC, Australia, 5–8 December 2011; pp. 211–214. [Google Scholar]
- Nikandish, G.; Yousefi, A.; Kalantari, M. A Broadband Multistage LNA With Bandwidth and Linearity Enhancement. IEEE Microw. Wirel. Compon. Lett. 2016, 26, 834–836. [Google Scholar] [CrossRef]
- Choi, H.-W.; Kim, C.-Y.; Choi, S. 6.7–15.3 GHz, High-Performance Broadband Low-Noise Amplifier With Large Transistor and Two-Stage Broadband Noise Matching. IEEE Microw. Wirel. Compon. Lett. 2021, 31, 949–952. [Google Scholar] [CrossRef]
- Zhang, T.; Shuai, Y. Design of a broadband LNA for a ship receiver system. In Proceedings of the 2018 IEEE International Symposium on Electromagnetic Compatibility and 2018 IEEE Asia-Pacific Symposium on Electromagnetic Compatibility (EMC/APEMC), Suntec City, Singapore, 14–18 May 2018; pp. 631–636. [Google Scholar]
- Memioglu, O.; Gundel, A. A High Linearity Wide Bandwidth GSM/WCDMA/LTE Base Station LNA MMIC with Ultra Low Noise Figure. In Proceedings of the 2018 18th Mediterranean Microwave Symposium (MMS), Istanbul, Turkey, 31 October–2 November 2018; pp. 198–201. [Google Scholar]
- Kobayashi, K.W.; Kumar, V.; Xie, A.; Jimenez, J.L.; Beam, E.; Ketterson, A. A baseband-65GHz High Linearity-Bandwidth GaN LNA using a 1.7A/mm High Current Density ScAlN based GaN HEMT Technology. In Proceedings of the 2021 IEEE MTT-S International Microwave Symposium (IMS), Atlanta, GA, USA, 7–25 June 2021; pp. 772–775. [Google Scholar]
- Bierbuesse, D.; Negra, R. 60 GHz variable Gain & Linearity Enhancement LNA in 65 nm CMOS. In Proceedings of the 2020 IEEE Radio Frequency Integrated Circuits Symposium (RFIC), Los Angeles, CA, USA, 4–6 August 2020; pp. 163–166. [Google Scholar]
- Xu, X.; Schumann, S.; Ferschischi, A.; Finger, W.; Carta, C.; Ellinger, F. A 28 GHz and 38 GHz High-Gain Dual-Band LNA for 5G Wireless Systems in 22 nm FD-SOI CMOS. In Proceedings of the 2020 15th European Microwave Integrated Circuits Conference (EuMIC), Utrecht, The Netherlands, 10–15 January 2021; pp. 77–80. [Google Scholar]
- Jang, S.; Nguyen, C. A High-Gain Power-Efficient Wideband V-Band LNA in 0.18-μm SiGe BiCMOS. IEEE Microw. Wirel. Compon. Lett. 2016, 26, 276–278. [Google Scholar] [CrossRef]
- Venkatesh Murthy, B.T.; Singh, N.K.; Jha, R.; Kumar, N.; Kumar, R. Ultra Low Noise Figure, Low Power Consumption Ku- Band LNA with High Gain for Space Application. In Proceedings of the 2020 5th International Conference on Communication and Electronics Systems (ICCES), Coimbatore, India, 10–12 June 2020; pp. 80–83. [Google Scholar]
- Sawayama, Y.; Morishita, T.; Komoku, K.; Itoh, N. Dual-Band Concurrent LNA with Low Gain Deviation and Low Noise Figure. In Proceedings of the 2020 IEEE Asia-Pacific Microwave Conference (APMC), Hong Kong, China, 8–11 December 2020; pp. 1006–1008. [Google Scholar]
- Gupta, A.; Kushwaha, A.; Mehra, G. A 2.4 GHz Low Power and High Gain LNA in 0.18μm CMOS for Radio Applications. In Proceedings of the 2021 7th International Conference on Advanced Computing and Communication Systems (ICACCS), Coimbatore, India, 19–20 March 2021; pp. 1390–1393. [Google Scholar]
- Musenov, R.Y.; Yanakova, E.S. The S- and C- band Low-power CMOS LNA Using the Current-reuse Technique. In Proceedings of the 2021 IEEE Conference of Russian Young Researchers in Electrical and Electronic Engineering (ElConRus), Moscow, Russia, 26–29 January 2021; pp. 2714–2717. [Google Scholar]
- Liu, J.; Shan, W.; Yao, Q. Development of a Low-power Consumption Cryogenic MMIC LNA for Immediate Connection with an SIS Mixer. In Proceedings of the 2019 IEEE MTT-S International Wireless Symposium (IWS), Guangzhou, China, 19–22 May 2019; pp. 1–3. [Google Scholar]
- Yang, C.; Feng, F. Multi-Step-Ahead Prediction for a CMOS Low Noise Amplifier Aging Due to NBTI and HCI Using Neural Networks. J. Electron. Test. 2019, 35, 797–808. [Google Scholar] [CrossRef]
- Borremans, J.; Wambacq, P.; Soens, C.; Rolain, Y.; Kuijk, M. Low-Area Active-Feedback Low-Noise Amplifier Design in Scaled Digital CMOS. IEEE J. Solid-State Circuits 2008, 43, 2422–2433. [Google Scholar] [CrossRef]
- He, Z.; Zhou, S.H.; Nie, M.N. Experimentally investigating the performance degradations of the CMOS PA at different temperatures. AIP Adv. 2021, 11, 115205. [Google Scholar] [CrossRef]
- Razavi, B. Design of Analog CMOS Integrated Circuits; McGraw Hill Higher Education: New York, NY, USA, 2003. [Google Scholar]
- Gray, P.R.; Hurst, P.J.; Lewis, S.H.; Meyer, R.G. Analysis and Design of Analog Integrated Circuits; Wiley: New York, NY, USA, 2001. [Google Scholar]
- Gao, L.; Wagner, E.; Rebeiz, G.M. Design of E- and W-Band Low-Noise Amplifiers in 22-nm CMOS FD-SOI. IEEE Trans. Microw. Theory Tech. 2020, 68, 132–143. [Google Scholar] [CrossRef]
- Yamauchi, K.; Iyama, Y.; Yamaguchi, M.; Ikeda, Y.; Urasaki, S.; Takagi, T. X-band MMIC power amplifier with an on-chip temperature-compensation circuit. IEEE Trans. Microw. Theory Tech. 2001, 49, 2501–2506. [Google Scholar] [CrossRef]
- Zhou, S.; Wei, S.; Wang, J. On-Chip Temperature Compensation for Small-Signal Gain Variation Reduction. Micromachines 2022, 13, 1101. [Google Scholar] [CrossRef] [PubMed]










Publisher’s Note: MDPI stays neutral with regard to jurisdictional claims in published maps and institutional affiliations. |
© 2022 by the authors. Licensee MDPI, Basel, Switzerland. This article is an open access article distributed under the terms and conditions of the Creative Commons Attribution (CC BY) license (https://creativecommons.org/licenses/by/4.0/).
Share and Cite
Zhou, S.; Wang, J. An Experimental Investigation of the Degradation of CMOS Low-Noise Amplifier Specifications at Different Temperatures. Micromachines 2022, 13, 1268. https://doi.org/10.3390/mi13081268
Zhou S, Wang J. An Experimental Investigation of the Degradation of CMOS Low-Noise Amplifier Specifications at Different Temperatures. Micromachines. 2022; 13(8):1268. https://doi.org/10.3390/mi13081268
Chicago/Turabian StyleZhou, Shaohua, and Jian Wang. 2022. "An Experimental Investigation of the Degradation of CMOS Low-Noise Amplifier Specifications at Different Temperatures" Micromachines 13, no. 8: 1268. https://doi.org/10.3390/mi13081268
APA StyleZhou, S., & Wang, J. (2022). An Experimental Investigation of the Degradation of CMOS Low-Noise Amplifier Specifications at Different Temperatures. Micromachines, 13(8), 1268. https://doi.org/10.3390/mi13081268

