Constant-Power versus Constant-Voltage Actuation in Frequency Sweeps for Acoustofluidic Applications
Abstract
1. Introduction
2. Theory
2.1. Governing Equations
2.2. The Acoustic Radiation Force and the Acoustophoretic Particle Velocity
2.3. Electrical Impedance and Power Dissipation
2.4. Butterworth-Van Dyke Circuit Model
3. Materials and Methods
3.1. The Experimental Setup
3.2. Fabrication and Characterization of the Devices
- 1.
- Measure the dimensions of the capillary tube and the transducer.
- 2.
- Measure the initial impedance spectrum of the Pz27 disk.
- 3.
- Fit the Pz27 material parameters using ultrasound electrical impedance spectroscopy (UEIS), following the method described in Ref. [21].
- 4.
- Glue the capillary tube onto the transducer and UV-curing using an exposure time of 168 s at a UV-intensity of and a wavelength of 365 nm.
- 5.
- Measure the total device thickness to obtain the glue layer thickness.
- 6.
- Mount the device on a 3D-printed sample holder and connect rubber tubing using silicone glue
- 7.
- Measure the impedance spectrum of the combined capillary-glue-transducer system, both air- and fluid-filled.
- Case 1:
- Constant voltage at the generator, V.
- Case 2:
- Constant voltage at the transducer, V.
- Case 3:
- Constant power dissipation in the transducer, mW.
3.3. Determination of Acoustofluidic Resonance Frequencies by Particle Tracking Velocimetry
4. Numerical Model
4.1. Description of the Modeled System
4.2. Numerical Simulation of the Particle Velocity
4.3. Boundary Conditions at the Fluid-Solid and the PZT-Solid Interfaces
5. Results and Discussion
5.1. Electrical Impedance Measurements
5.2. Impact of the Cable and the Circuit Resonances on Measured Voltage Amplitude
5.3. Voltage Amplitude and Power Dissipation
5.4. Average Acoustophoretic Particle Speed
5.5. Comparing Numerical Simulations with Experiments
6. Conclusions
Author Contributions
Funding
Institutional Review Board Statement
Informed Consent Statement
Data Availability Statement
Conflicts of Interest
Abbreviations
| BVD | Butterworth–Van Dyke |
| GDPT | General Defocusing Particle Tracking |
| PML | Perfectly Matched Layer |
| UEIS | Ultrasound Electrical Impedance Spectroscopy |
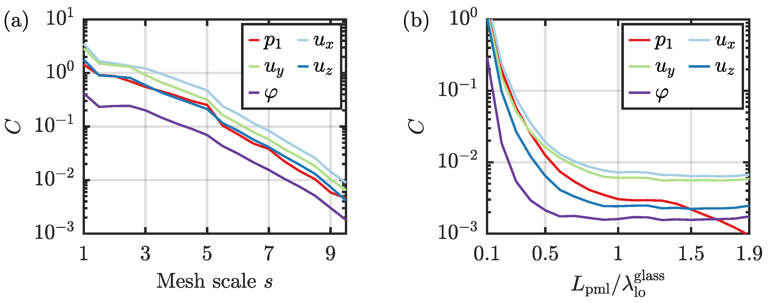
Appendix A. Convergence Analysis for the Mesh and Perfectly Matched Layer

Appendix B. Material Parameters
| Parameter | Symbol | Value | Unit |
|---|---|---|---|
| 0.83/0.17 (v/v) water-OptiPrep solution [27,28] | |||
| Mass density | 1054 | ||
| Speed of sound | 1501 | ||
| Compressibility | 421 | ||
| Dynamic viscosity | |||
| Bulk viscosity | |||
| Polystyrene [29] | |||
| Mass density | 1052 | ||
| Compressibility | 238 | ||
| Monopole coefficient | |||
| Dipole coefficient | 0 | ||
| Borosilicate glass [30,31] | |||
| Mass density | 2230 | ||
| Elastic modulus | |||
| Elastic modulus | |||
| Glue (NOA86H) (measured using UEIS-method [21]) | |||
| Mass density | 1250 | ||
| Elastic modulus | |||
| Elastic modulus | |||
| PZT (Pz27) (measured using UEIS-method [21]) | |||
| Mass density | 7707 | ||
| Elastic modulus | |||
| Elastic modulus | |||
| Elastic modulus | |||
| Elastic modulus | |||
| Elastic modulus | |||
| Coupling constant | |||
| Coupling constant | |||
| Coupling constant | |||
| Electric permittivity | |||
| Electric permittivity | |||
References
- Barnkob, R.; Augustsson, P.; Laurell, T.; Bruus, H. Measuring the local pressure amplitude in microchannel acoustophoresis. Lab Chip 2010, 10, 563–570. [Google Scholar] [CrossRef]
- Barnkob, R.; Iranmanesh, I.; Wiklund, M.; Bruus, H. Measuring acoustic energy density in microchannel acoustophoresis using a simple and rapid light-intensity method. Lab Chip 2012, 12, 2337–2344. [Google Scholar] [CrossRef] [PubMed]
- Lickert, F.; Ohlin, M.; Bruus, H.; Ohlsson, P. Acoustophoresis in polymer-based microfluidic devices: Modeling and experimental validation. J. Acoust. Soc. Am. 2021, 149, 4281–4291. [Google Scholar] [CrossRef] [PubMed]
- Barani, A.; Mosaddegh, P.; Haghjooy Javanmard, S.; Sepehrirahnama, S.; Sanati-Nezhad, A. Numerical and experimental analysis of a hybrid material acoustophoretic device for manipulation of microparticles. Sci. Rep. 2021, 11, 1–17. [Google Scholar] [CrossRef]
- Qiu, W.; Baasch, T.; Laurell, T. Enhancement of Acoustic Energy Density in Bulk-Wave-Acoustophoresis Devices Using Side Actuation. Phys. Rev. Appl. 2022, 17, 044043. [Google Scholar] [CrossRef]
- Dubay, R.; Lissandrello, C.; Swierk, P.; Moore, N.; Doty, D.; Fiering, J. Scalable high-throughput acoustophoresis in arrayed plastic microchannels. Biomicrofluidics 2019, 13, 034105. [Google Scholar] [CrossRef]
- Lissandrello, C.; Dubay, R.; Kotz, K.T.; Fiering, J. Purification of Lymphocytes by Acoustic Separation in Plastic Microchannels. SLAS Technol. 2018, 23, 352–363. [Google Scholar] [CrossRef] [PubMed]
- Kim, M.G.; Yoon, S.; Kim, H.H.; Shung, K.K. Impedance matching network for high frequency ultrasonic transducer for cellular applications. Ultrasonics 2016, 65, 258–267. [Google Scholar] [CrossRef] [PubMed]
- Garcia-Rodriguez, M.; Garcia-Alvarez, J.; Yañez, Y.; Garcia-Hernandez, M.; Salazar, J.; Turo, A.; Chavez, J. Low cost matching network for ultrasonic transducers. Phys. Procedia 2010, 3, 1025–1031. [Google Scholar] [CrossRef]
- Emeterio, J.S.; Ramos, A.; Sanz, P.; Ruiz, A. Evaluation of impedance matching schemes for pulse-echo ultrasonic piezoelectric transducers. Ferroelectrics 2002, 273, 297–302. [Google Scholar] [CrossRef]
- Leibacher, I.; Schatzer, S.; Dual, J. Impedance matched channel walls in acoustofluidic systems. Lab Chip 2014, 14, 463–470. [Google Scholar] [CrossRef] [PubMed]
- Ohlsson, P.; Petersson, K.; Augustsson, P.; Laurell, T. Acoustic impedance matched buffers enable separation of bacteria from blood cells at high cell concentrations. Sci. Rep. 2018, 8, 2045–2322. [Google Scholar] [CrossRef] [PubMed]
- Huang, A.; Connacher, W.; Stambaugh, M.; Zhang, N.; Zhang, S.; Mei, J.; Jain, A.; Alluri, S.; Leung, V.; Rajapaksa, A.E.; et al. Practical microcircuits for handheld acoustofluidics. Lab Chip 2021, 21, 1352–1363. [Google Scholar] [CrossRef]
- Skov, N.R.; Bach, J.S.; Winckelmann, B.G.; Bruus, H. 3D modeling of acoustofluidics in a liquid-filled cavity including streaming, viscous boundary layers, surrounding solids, and a piezoelectric transducer. AIMS Math. 2019, 4, 99–111. [Google Scholar] [CrossRef]
- Skov, N.R.; Sehgal, P.; Kirby, B.J.; Bruus, H. Three-Dimensional Numerical Modeling of Surface-Acoustic-Wave Devices: Acoustophoresis of Micro- and Nanoparticles Including Streaming. Phys. Rev. Appl. 2019, 12, 044028. [Google Scholar] [CrossRef]
- Steckel, A.G.; Bruus, H. Numerical study of bulk acoustofluidic devices driven by thin-film transducers and whole-system resonance modes. J. Acoust. Soc. Am. 2021, 150, 634–645. [Google Scholar] [CrossRef]
- Bach, J.S.; Bruus, H. Theory of pressure acoustics with viscous boundary layers and streaming in curved elastic cavities. J. Acoust. Soc. Am. 2018, 144, 766–784. [Google Scholar] [CrossRef]
- Settnes, M.; Bruus, H. Forces acting on a small particle in an acoustical field in a viscous fluid. Phys. Rev. E 2012, 85, 016327. [Google Scholar] [CrossRef]
- Rathod, V.T. A review of electric impedance matching techniques for piezoelectric sensors, actuators and transducers. Electronics 2019, 8, 169. [Google Scholar] [CrossRef]
- Huang, H.; Paramo, D. Broadband electrical impedance matching for piezoelectric ultrasound transducers. IEEE Trans. Ultrason. Ferroelectr. Freq. Control 2011, 58, 2699–2707. [Google Scholar] [CrossRef]
- Bodé, W.N.; Lickert, F.; Augustsson, P.; Bruus, H. Determination of the complex-valued elastic moduli of polymers by electrical impedance spectroscopy for ultrasound applications. Phys. Rev. Appl. 2022; 10p, submitted. [Google Scholar] [CrossRef]
- Barnkob, R.; Kähler, C.J.; Rossi, M. General defocusing particle tracking. Lab Chip 2015, 15, 3556–3560. [Google Scholar] [CrossRef] [PubMed]
- Rossi, M.; Barnkob, R. A fast and robust algorithm for general defocusing particle tracking. Meas. Sci. Technol. 2020, 32, 014001. [Google Scholar] [CrossRef]
- Barnkob, R.; Rossi, M. DefocusTracker: A modular toolbox for defocusing-based, single-camera, 3D particle tracking. J. Open Res. Softw. 2021, 9, 22. [Google Scholar] [CrossRef]
- Bodé, W.N.; Bruus, H. Numerical study of the coupling layer between transducer and chip in acoustofluidic devices. J. Acoust. Soc. Am. 2021, 149, 3096–3105. [Google Scholar] [CrossRef]
- Muller, P.B.; Barnkob, R.; Jensen, M.J.H.; Bruus, H. A numerical study of microparticle acoustophoresis driven by acoustic radiation forces and streaming-induced drag forces. Lab Chip 2012, 12, 4617–4627. [Google Scholar] [CrossRef]
- Muller, P.B.; Bruus, H. Numerical study of thermoviscous effects in ultrasound-induced acoustic streaming in microchannels. Phys. Rev. E 2014, 90, 043016. [Google Scholar] [CrossRef]
- Karlsen, J.T.; Augustsson, P.; Bruus, H. Acoustic Force Density Acting on Inhomogeneous Fluids in Acoustic Fields. Phys. Rev. Lett. 2016, 117, 114504. [Google Scholar] [CrossRef]
- Karlsen, J.T.; Bruus, H. Forces acting on a small particle in an acoustical field in a thermoviscous fluid. Phys. Rev. E 2015, 92, 043010. [Google Scholar] [CrossRef]
- SCHOTT, SCHOTT Suisse SA, 2 Rue Galilée, Yverdon, Switzerland. Borosilicate Glass Substrates. Available online: https://www.epfl.ch/research/facilities/cmi/wp-content/uploads/2020/05/D263T_d.pdf (accessed on 18 August 2022).
- Steckel, A.G.; Bruus, H.; Muralt, P.; Matloub, R. Fabrication, Characterization, and Simulation of Glass Devices with AlN Thin-Film Transducers for Excitation of Ultrasound Resonances. Phys. Rev. Appl. 2021, 16, 014014. [Google Scholar] [CrossRef]





| Domain | ← | Boundary | Boundary Condition |
|---|---|---|---|
| PZT | ← | top electrode | |
| PZT | ← | bottom electrode | |
| PZT | ← | air | |
| Solid | ← | air | |
| Solid | ← | fluid | |
| Fluid | ← | solid | |
| Fluid | ← | air |
Publisher’s Note: MDPI stays neutral with regard to jurisdictional claims in published maps and institutional affiliations. |
© 2022 by the authors. Licensee MDPI, Basel, Switzerland. This article is an open access article distributed under the terms and conditions of the Creative Commons Attribution (CC BY) license (https://creativecommons.org/licenses/by/4.0/).
Share and Cite
Lickert, F.; Bruus, H.; Rossi, M. Constant-Power versus Constant-Voltage Actuation in Frequency Sweeps for Acoustofluidic Applications. Micromachines 2022, 13, 1886. https://doi.org/10.3390/mi13111886
Lickert F, Bruus H, Rossi M. Constant-Power versus Constant-Voltage Actuation in Frequency Sweeps for Acoustofluidic Applications. Micromachines. 2022; 13(11):1886. https://doi.org/10.3390/mi13111886
Chicago/Turabian StyleLickert, Fabian, Henrik Bruus, and Massimiliano Rossi. 2022. "Constant-Power versus Constant-Voltage Actuation in Frequency Sweeps for Acoustofluidic Applications" Micromachines 13, no. 11: 1886. https://doi.org/10.3390/mi13111886
APA StyleLickert, F., Bruus, H., & Rossi, M. (2022). Constant-Power versus Constant-Voltage Actuation in Frequency Sweeps for Acoustofluidic Applications. Micromachines, 13(11), 1886. https://doi.org/10.3390/mi13111886

