A Compact Planar Dual-Band Multiple-Input and Multiple-Output Antenna with High Isolation for 5G and 4G Applications
Abstract
Featured Application
Abstract
1. Introduction
2. Antenna Geometry and Design Consideration
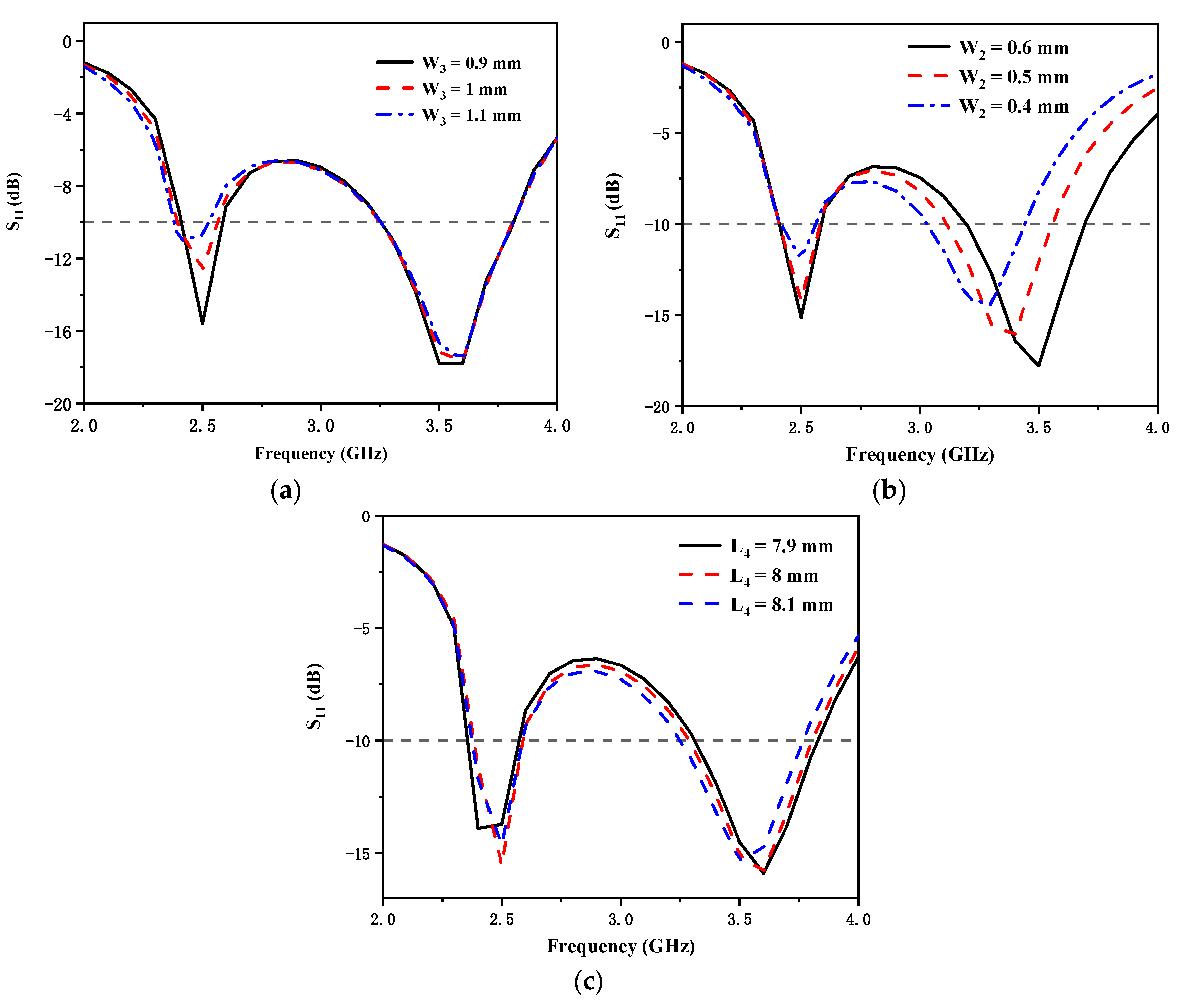
3. Results and Discussion
4. Conclusions
Author Contributions
Funding
Institutional Review Board Statement
Informed Consent Statement
Data Availability Statement
Conflicts of Interest
References
- Ikram, M.; Nguyen-Trong, N.; Abbosh, A.M. Realization of a Tapered Slot Array as both Decoupling and Radiating Structure for 4G/5G Wireless Devices. IEEE Access 2019, 7, 159112–159118. [Google Scholar] [CrossRef]
- Niu, Z.; Zhang, H.; Chen, Q.; Zhong, T. Isolation Enhancement in Closely Coupled Dual-Band MIMO Patch Antennas. IEEE Antennas Wirel. Propag. Lett. 2019, 18, 1686–1690. [Google Scholar] [CrossRef]
- Li, Y.; Sim, C.; Luo, Y.; Yang, G. High-Isolation 3.5 GHz Eight-Antenna MIMO Array Using Balanced Open-Slot Antenna Element for 5G Smartphones. IEEE Trans. Antennas Propag. 2019, 67, 3820–3830. [Google Scholar] [CrossRef]
- Liu, Y.; Yang, X.; Jia, Y. A Low Correlation and Mutual Coupling MIMO Antenna. IEEE Access 2019, 7, 127384–127392. [Google Scholar] [CrossRef]
- Tan, X.; Wang, W.; Wu, Y.; Liu, Y.; Kishk, A.A. Enhancing Isolation in Dual-Band Meander-Line Multiple Antenna by Employing Split EBG Structure. IEEE Trans. Antennas Propag. 2019, 67, 2769–2774. [Google Scholar] [CrossRef]
- Zhang, S.; Pedersen, G.F. Mutual Coupling Reduction for UWB MIMO Antennas with a Wideband Neutralization Line. IEEE Antennas Wirel. Propag. Lett. 2016, 15, 166–169. [Google Scholar] [CrossRef]
- Shang, W.; Du, Z. Decoupled Dual-Antenna System Using Crossed Neutralization Lines for LTE/WWAN Smartphone Applications. IEEE Antennas Wirel. Propag. Lett. 2015, 14, 523–526. [Google Scholar] [CrossRef]
- Su, S.; Lee, C.; Chang, F. Printed MIMO-Antenna System Using Neutralization-Line Technique for Wireless USB-Dongle Applications. IEEE Trans. Antennas Propag. 2012, 60, 456–463. [Google Scholar] [CrossRef]
- Xu, Z.; Deng, C. High-Isolated MIMO Antenna Design Based on Pattern Diversity for 5G Mobile Terminals. IEEE Antennas Wirel. Propag. Lett. 2020, 19, 467–471. [Google Scholar] [CrossRef]
- Jehangir, S.S.; Sharawi, M.S. A Miniaturized UWB Bi-planar Yagi-Like MIMO Antenna System. IEEE Antennas Wirel. Propag. Lett. 2017, 16, 2320–2323. [Google Scholar] [CrossRef]
- Jehangir, S.S.; Sharawi, M.S. A Single Layer Semi-Ring Slot Yagi-Like MIMO Antenna System with High Front-to-Back Ratio. IEEE Trans. Antennas Propag. 2017, 65, 937–942. [Google Scholar] [CrossRef]
- Li, Q.L.; Cheung, S.W.; Wu, D.; Yuk, T.I. Optically Transparent Dual-Band MIMO Antenna Using Micro-Metal Mesh Conductive Film for WLAN System. IEEE Antennas Wirel. Propag. Lett. 2017, 16, 920–923. [Google Scholar] [CrossRef]
- Dou, Y.; Dong, G.; Lin, J.; Cai, Q.; Liu, G. A Low Profile Dual-Band High Gain Directional Antenna for Anti-Interference WLAN Station Applications. Appl. Sci. 2021, 11, 2007. [Google Scholar] [CrossRef]
- Lu, D.; Wang, L.; Yang, E.; Wang, G. Design of High-Isolation Wideband Dual-Polarized Compact MIMO Antennas with Multiobjective Optimization. IEEE Trans. Antennas Propag. 2018, 66, 1522–1527. [Google Scholar] [CrossRef]
- Bai, J.; Zhi, R.; Wu, W.; Shangguan, M.; Wei, B.; Liu, G. A Novel Multiband MIMO Antenna for TD-LTE and WLAN Applications. Prog. Electromagn. Res. Lett. 2018, 74, 131–136. [Google Scholar] [CrossRef]
- Shoaib, S.; Shoaib, I.; Shoaib, N.; Chen, X.; Parini, C. Compact and Printed MIMO Antennas for 2G/3G and 4G-LTE Mobile Tablets. In Proceedings of the IEEE-APS Topical Conference on Antennas and Propagation in Wireless Communications (APWC), Turin, Italy, 7–11 September 2015; pp. 674–677. [Google Scholar]
- Rao, Q.; Wilson, K. Design, Modeling, and Evaluation of a Multiband MIMO/Diversity Antenna System for Small Wireless Mobile Terminals. IEEE Trans. Compon. Packag. Manuf. Technol. 2011, 3, 410–419. [Google Scholar] [CrossRef]
- Wang, Y.; Du, Z. A Wideband Printed Dual-Antenna with Three Neutralization Lines for Mobile Terminals. IEEE Trans. Antennas Propag. 2014, 62, 1495–1500. [Google Scholar] [CrossRef]
- Trinh, L.H.; Lizzi, L.; Staraj, R.; Ribero, J.M. Reconfigurable Antenna for Future Spectrum Reallocations in 5G Communications. IEEE Antennas Wirel. Propag. Lett. 2015, 15, 1297–1300. [Google Scholar] [CrossRef]
- Ban, Y.L.; Li, C.; Wu, G.; Wong, K.L. 4G/5G Multiple Antennas for Future Multi-Mode Smartphone Applications. IEEE Access 2016, 4, 2981–2988. [Google Scholar] [CrossRef]
- Chen, Q.; Lin, H.; Wang, J.; Ge, L.; Li, Y.; Pei, T. Single Ring Slot-Based Antennas for Metal-Rimmed 4G/5G Smartphones. IEEE Trans. Antennas Propag. 2019, 67, 1476–1487. [Google Scholar] [CrossRef]
- Kiani, S.H.; Altaf, A.; Abdullah, M.; Muhammad, F.; Blaauskas, T. Eight Element Side Edged Framed MIMO Antenna Array for Future 5G Smart Phones. Micromachines 2020, 11, 956. [Google Scholar] [CrossRef] [PubMed]
- Huang, J.; Dong, G.; Cai, J.; Li, H.; Liu, G. A Quad-Port Dual-Band MIMO Antenna Array for 5G Smartphone Applications. Electronics 2021, 10, 542. [Google Scholar] [CrossRef]
- Parchin, N.O.; Basherlou, H.J.; Al-Yasir, Y.I.A.; Ullah, A.; Noras, J.M. Multi-Band MIMO Antenna Design with User-Impact Investigation for 4G and 5G Mobile Terminals. Sensors 2019, 19, 456. [Google Scholar] [CrossRef] [PubMed]









| Parameters | Value | Parameters | Value | Parameters | Value |
|---|---|---|---|---|---|
| L1 | 32 | L8 | 5.5 | L15 | 20 |
| L2 | 12 | L9 | 14 | W1 | 32 |
| L3 | 9.7 | L10 | 6 | W2 | 0.5 |
| L4 | 8 | L11 | 12 | W3 | 1 |
| L5 | 11.3 | L12 | 5.3 | W4 | 2 |
| L6 | 6 | L13 | 12 | W5 | 1 |
| L7 | 3 | L14 | 32 |
| Ref. | Center Frequency (GHz) | Peak Gain (dBi) | Isolation (dB) | ECC | Total Efficiency (%) | Size (mm2) |
|---|---|---|---|---|---|---|
| [3] | 3.5 | - | >17.5 | <0.05 | 76 | 150 × 80 |
| [10] | 5.8 | 6 | >17 | <0.05 | 80 | 50 × 80 |
| [11] | 3.6 | 4.3 | >12 | <0.03 | 73 | 80 × 40 |
| [12] | 2.44 and 5.5 | 2.3 | >15 | - | 46 | 40 × 40 |
| [15] | 2.45 and 5.5 | 4.5 | >17.8 | <0.011 | 65.9 | 50 × 50 |
| This work | 2.475 and 3.47 | 5.9 | >15 | <0.02 | 81 | 32 × 32 |
Publisher’s Note: MDPI stays neutral with regard to jurisdictional claims in published maps and institutional affiliations. |
© 2021 by the authors. Licensee MDPI, Basel, Switzerland. This article is an open access article distributed under the terms and conditions of the Creative Commons Attribution (CC BY) license (https://creativecommons.org/licenses/by/4.0/).
Share and Cite
Yang, R.; Xi, S.; Cai, Q.; Chen, Z.; Wang, X.; Liu, G. A Compact Planar Dual-Band Multiple-Input and Multiple-Output Antenna with High Isolation for 5G and 4G Applications. Micromachines 2021, 12, 544. https://doi.org/10.3390/mi12050544
Yang R, Xi S, Cai Q, Chen Z, Wang X, Liu G. A Compact Planar Dual-Band Multiple-Input and Multiple-Output Antenna with High Isolation for 5G and 4G Applications. Micromachines. 2021; 12(5):544. https://doi.org/10.3390/mi12050544
Chicago/Turabian StyleYang, Rong, Shuqi Xi, Qibo Cai, Zhizhou Chen, Xiaohang Wang, and Gui Liu. 2021. "A Compact Planar Dual-Band Multiple-Input and Multiple-Output Antenna with High Isolation for 5G and 4G Applications" Micromachines 12, no. 5: 544. https://doi.org/10.3390/mi12050544
APA StyleYang, R., Xi, S., Cai, Q., Chen, Z., Wang, X., & Liu, G. (2021). A Compact Planar Dual-Band Multiple-Input and Multiple-Output Antenna with High Isolation for 5G and 4G Applications. Micromachines, 12(5), 544. https://doi.org/10.3390/mi12050544

