AlGaN/GaN on SiC Devices without a GaN Buffer Layer: Electrical and Noise Characteristics
Abstract
1. Introduction
2. Materials and Methods (Experimental Details)
3. Experimental Results and Discussions
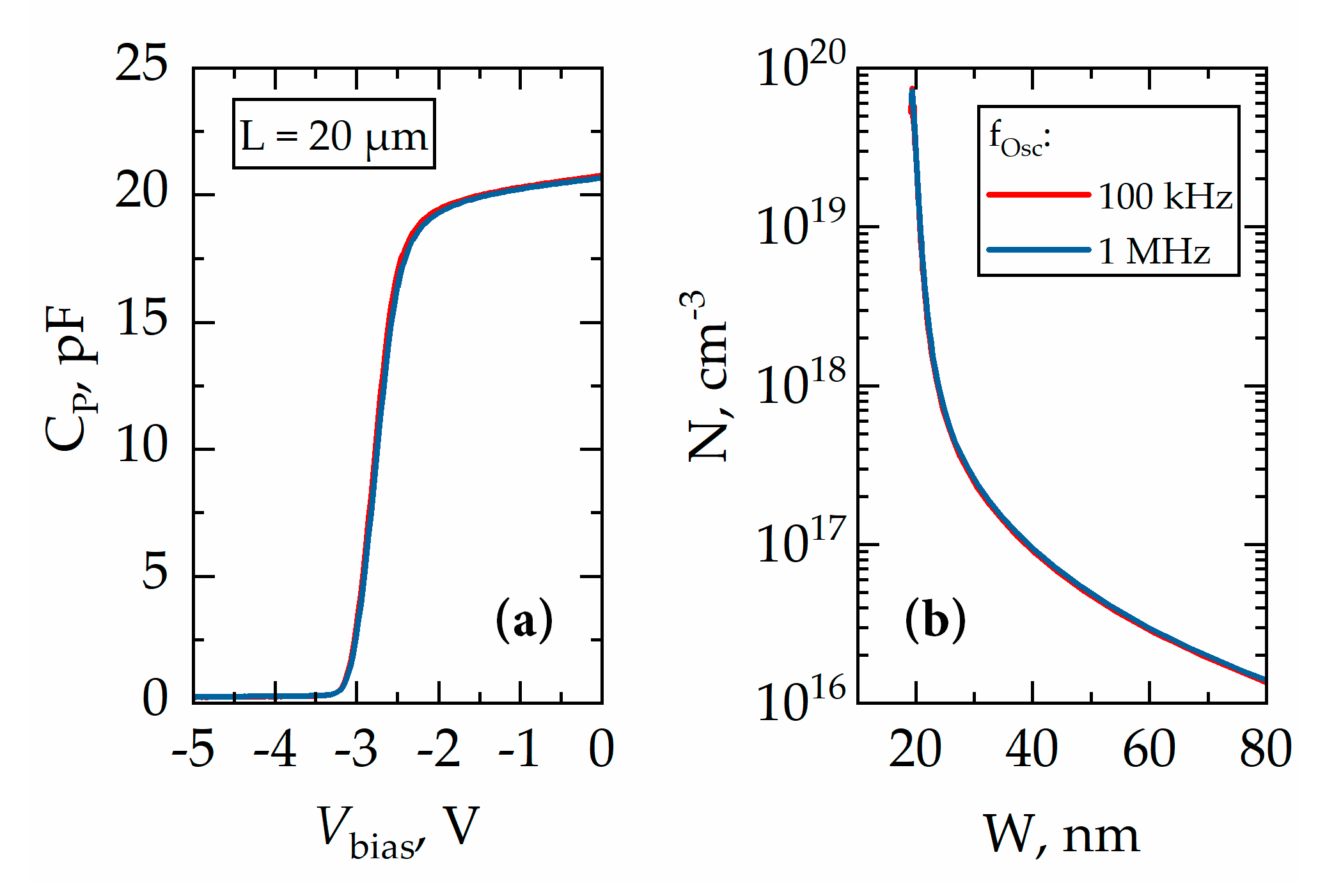
3.1. Performance of SBDs
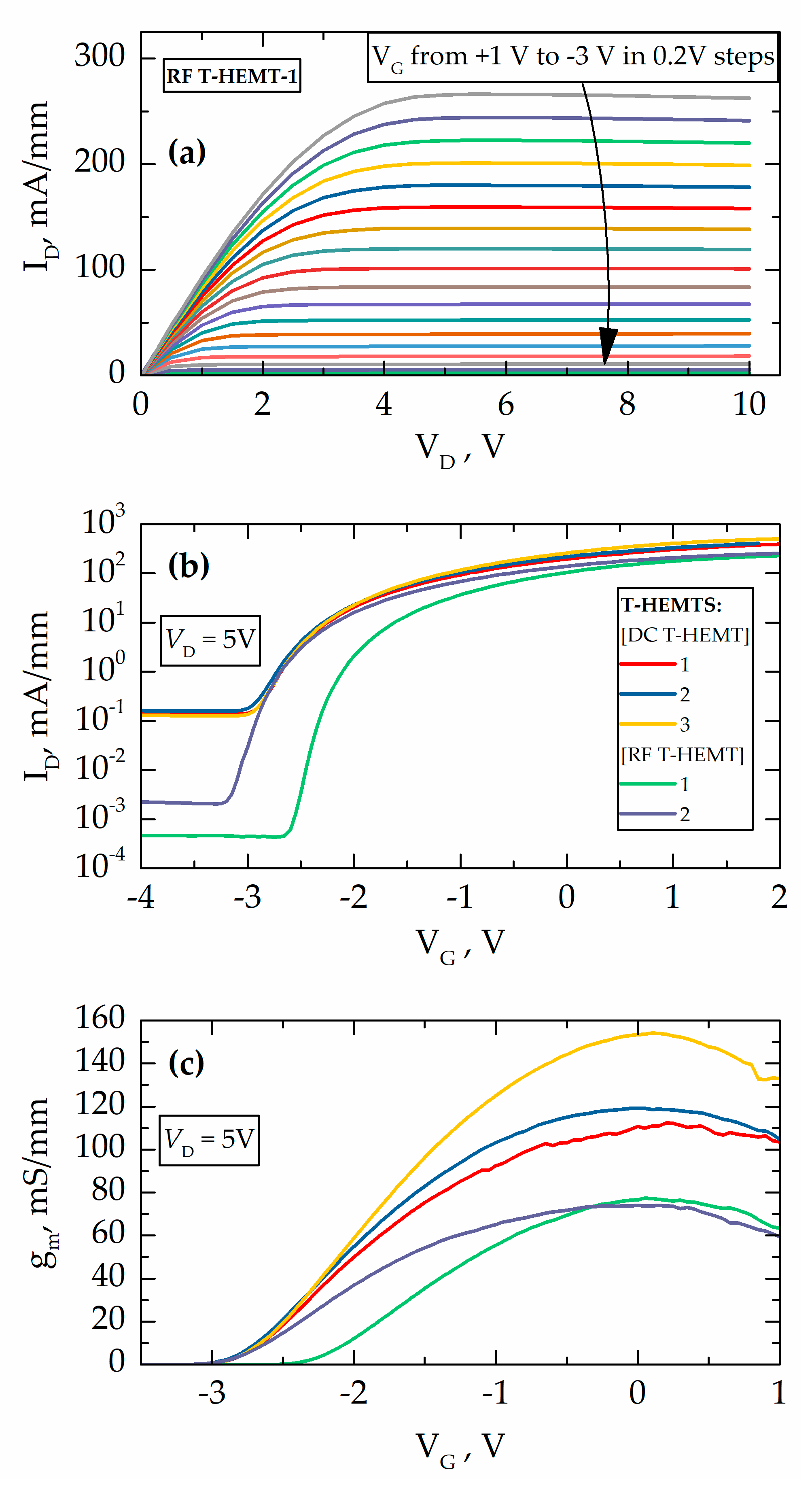
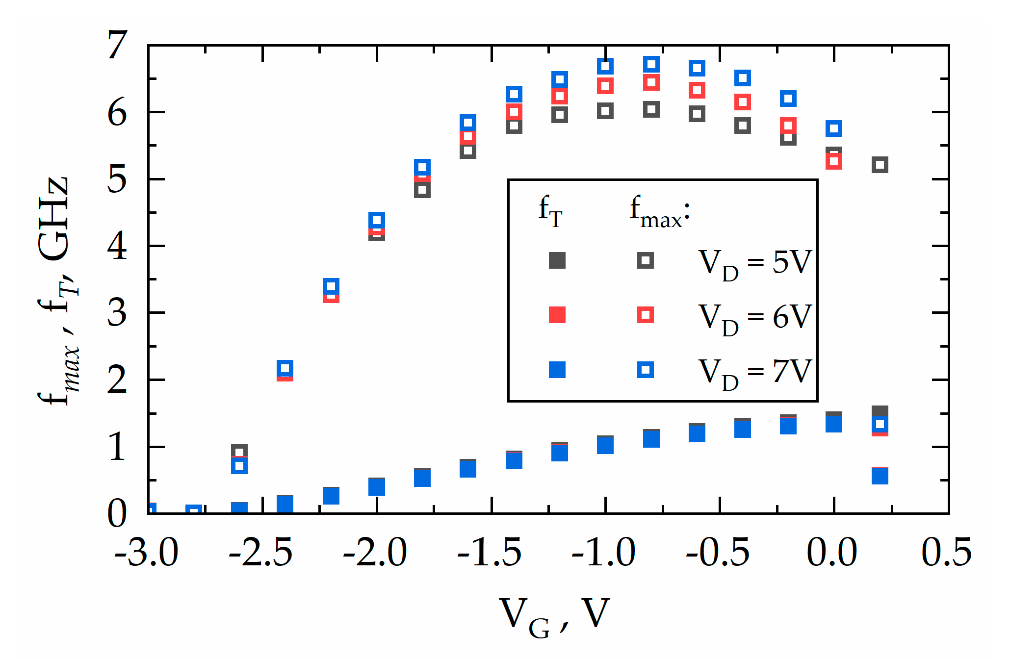
3.2. Performance of T-HEMTs
4. Conclusions
Author Contributions
Funding
Conflicts of Interest
References
- Koksaldi, O.S.; Haller, J.; Li, H.; Romanczyk, B.; Guidry, M.; Wienecke, S.; Keller, S.; Mishra, U.K. N-Polar GaN HEMTs Exhibiting Record Breakdown Voltage Over 2000 V and Low Dynamic On-Resistance. IEEE Electron. Device Lett. 2018, 39, 1014–1017. [Google Scholar] [CrossRef]
- Choi, U.; Kim, H.-S.; Lee, K.; Jung, D.; Kwak, T.; Jang, T.; Nam, Y.; So, B.; Kang, M.-J.; Seo, K.-S.; et al. Direct Current and Radio Frequency Characterizations of AlGaN/AlN/GaN/AlN Double-Heterostructure High-Electron Mobility Transistor (DH-HEMT) on Sapphire. Phys. Status Solidi 2020, 217, 1900695. [Google Scholar] [CrossRef]
- Chandrasekar, H.; Uren, M.J.; Eblabla, A.; Hirshy, H.; Casbon, M.A.; Tasker, P.J.; Elgaid, K.; Kuball, M. Buffer-Induced Current Collapse in GaN HEMTs on Highly Resistive Si Substrates. IEEE Electron. Device Lett. 2018, 39, 1556–1559. [Google Scholar] [CrossRef]
- Romanczyk, B.; Mishra, U.K.; Zheng, X.; Guidry, M.; Li, H.; Hatui, N.; Wurm, C.; Krishna, A.; Ahmadi, E.; Keller, S. W-Band Power Performance of SiN-Passivated N-Polar GaN Deep Recess HEMTs. IEEE Electron. Device Lett. 2020, 41, 349–352. [Google Scholar] [CrossRef]
- SaifAddin, B.K.; Almogbel, A.S.; Zollner, C.J.; Wu, F.; Bonef, B.; Iza, M.; Nakamura, S.; DenBaars, S.P.; Speck, J.S. AlGaN Deep-Ultraviolet Light-Emitting Diodes Grown on SiC Substrates. ACS Photonics 2020, 7, 554–561. [Google Scholar] [CrossRef]
- Alshahed, M.; Heuken, L.; Alomari, M.; Cora, I.; Toth, L.; Pecz, B.; Wachter, C.; Bergunde, T.; Burghartz, J.N. Low-Dispersion, High-Voltage, Low-Leakage GaN HEMTs on Native GaN Substrates. IEEE Trans. Electron. Devices 2018, 65, 2939–2947. [Google Scholar] [CrossRef]
- Pashnev, D.; Kaplas, T.; Korotyeyev, V.; Janonis, V.; Urbanowicz, A.; Jorudas, J.; Kašalynas, I. Terahertz time-domain spectroscopy of two-dimensional plasmons in AlGaN/GaN heterostructures. Appl. Phys. Lett. 2020, 117, 051105. [Google Scholar] [CrossRef]
- Jakštas, V.; Jorudas, J.; Janonis, V.; Minkevičius, L.; Kašalynas, I.; Prystawko, P.; Leszczynski, M. Development of AlGaN/GaN/SiC high-electron-mobility transistors for THz detection. Lith. J. Phys. 2018, 58, 135–140. [Google Scholar] [CrossRef][Green Version]
- Sai, P.; Jorudas, J.; Dub, M.; Sakowicz, M.; Jakštas, V.; But, D.B.; Prystawko, P.; Cywinski, G.; Kašalynas, I.; Knap, W.; et al. Low frequency noise and trap density in GaN/AlGaN field effect transistors. Appl. Phys. Lett. 2019, 115, 183501. [Google Scholar] [CrossRef]
- Chang, S.-J.; Bhuiyan, M.A.; Won, C.-H.; Lee, J.-H.; Jung, H.W.; Shin, M.J.; Do, J.-W.; Cho, K.J.; Lee, J.-H.; Ma, T.P.; et al. Investigation of GaN channel thickness on the channel mobility in AlGaN/GaN HEMTs grown on sapphire substrate. In Proceedings of the 2017 IEEE International Symposium on Radio-Frequency Integration Technology (RFIT), Seoul, Korea, 30 August–1 September 2017; pp. 87–89. [Google Scholar]
- Selvaraj, S.L.; Suzue, T.; Egawa, T. Breakdown Enhancement of AlGaN/GaN HEMTs on 4-in Silicon by Improving the GaN Quality on Thick Buffer Layers. IEEE Electron. Device Lett. 2009, 30, 587–589. [Google Scholar] [CrossRef]
- Poblenz, C.; Waltereit, P.; Rajan, S.; Heikman, S.; Mishra, U.K.; Speck, J.S. Effect of carbon doping on buffer leakage in AlGaN/GaN high electron mobility transistors. J. Vac. Sci. Technol. B Microelectron. Nanom. Struct. 2004, 22, 1145. [Google Scholar] [CrossRef]
- Manoi, A.; Pomeroy, J.W.; Killat, N.; Kuball, M. Benchmarking of Thermal Boundary Resistance in AlGaN/GaN HEMTs on SiC Substrates: Implications of the Nucleation Layer Microstructure. IEEE Electron. Device Lett. 2010, 31, 1395–1397. [Google Scholar] [CrossRef]
- Cho, J.; Bozorg-Grayeli, E.; Altman, D.H.; Asheghi, M.; Goodson, K.E. Low Thermal Resistances at GaN–SiC Interfaces for HEMT Technology. IEEE Electron. Device Lett. 2012, 33, 378–380. [Google Scholar] [CrossRef]
- Uren, M.J.; Moreke, J.; Kuball, M. Buffer Design to Minimize Current Collapse in GaN/AlGaN HFETs. IEEE Trans. Electron. Devices 2012, 59, 3327–3333. [Google Scholar] [CrossRef]
- Fang, Z.-Q.; Claflin, B.; Look, D.C.; Green, D.S.; Vetury, R. Deep traps in AlGaN/GaN heterostructures studied by deep level transient spectroscopy: Effect of carbon concentration in GaN buffer layers. J. Appl. Phys. 2010, 108, 063706. [Google Scholar] [CrossRef]
- Chen, J.-T.; Bergsten, J.; Lu, J.; Janzén, E.; Thorsell, M.; Hultman, L.; Rorsman, N.; Kordina, O. A GaN–SiC hybrid material for high-frequency and power electronics. Appl. Phys. Lett. 2018, 113, 041605. [Google Scholar] [CrossRef]
- Lu, J.; Chen, J.-T.; Dahlqvist, M.; Kabouche, R.; Medjdoub, F.; Rosen, J.; Kordina, O.; Hultman, L. Transmorphic epitaxial growth of AlN nucleation layers on SiC substrates for high-breakdown thin GaN transistors. Appl. Phys. Lett. 2019, 115, 221601. [Google Scholar] [CrossRef]
- Chen, D.-Y.; Malmros, A.; Thorsell, M.; Hjelmgren, H.; Kordina, O.; Chen, J.-T.; Rorsman, N. Microwave Performance of ‘Buffer-Free’ GaN-on-SiC High Electron Mobility Transistors. IEEE Electron. Device Lett. 2020, 41, 828–831. [Google Scholar] [CrossRef]
- Tan, I.; Snider, G.L.; Chang, L.D.; Hu, E.L. A self-consistent solution of Schrödinger—Poisson equations using a nonuniform mesh. J. Appl. Phys. 1990, 68, 4071–4076. [Google Scholar] [CrossRef]
- Snider, G.L.; Tan, I.-H.; Hu, E.L. Electron states in mesa-etched one-dimensional quantum well wires. J. Appl. Phys. 1990, 68, 2849–2853. [Google Scholar] [CrossRef]
- Kruszewski, P.; Prystawko, P.; Kasalynas, I.; Nowakowska-Siwinska, A.; Krysko, M.; Plesiewicz, J.; Smalc-Koziorowska, J.; Dwilinski, R.; Zajac, M.; Kucharski, R.; et al. AlGaN/GaN HEMT structures on ammono bulk GaN substrate. Semicond. Sci. Technol. 2014, 29, 75004. [Google Scholar] [CrossRef]
- Narang, K.; Bag, R.K.; Singh, V.K.; Pandey, A.; Saini, S.K.; Khan, R.; Arora, A.; Padmavati, M.V.G.; Tyagi, R.; Singh, R. Improvement in surface morphology and 2DEG properties of AlGaN/GaN HEMT. J. Alloys Compd. 2020, 815, 152283. [Google Scholar] [CrossRef]
- Yang, C.; Luo, X.; Sun, T.; Zhang, A.; Ouyang, D.; Deng, S.; Wei, J.; Zhang, B. High Breakdown Voltage and Low Dynamic ON-Resistance AlGaN/GaN HEMT with Fluorine Ion Implantation in SiNx Passivation Layer. Nanoscale Res. Lett. 2019, 14, 191. [Google Scholar] [CrossRef] [PubMed]
- Nifa, I.; Leroux, C.; Torres, A.; Charles, M.; Reimbold, G.; Ghibaudo, G.; Bano, E. Characterization and modeling of 2DEG mobility in AlGaN/AlN/GaN MIS-HEMT. Microelectron. Eng. 2019, 215, 110976. [Google Scholar] [CrossRef]
- Geng, K.; Chen, D.; Zhou, Q.; Wang, H. AlGaN/GaN MIS-HEMT with PECVD SiNx, SiON, SiO2 as Gate Dielectric and Passivation Layer. Electronics 2018, 7, 416. [Google Scholar] [CrossRef]
- Lutsenko, E.V.; Rzheutski, M.V.; Vainilovich, A.G.; Svitsiankou, I.E.; Tarasuk, N.P.; Yablonskii, G.P.; Alyamani, A.; Petrov, S.I.; Mamaev, V.V.; Alexeev, A.N. Investigation of Photoluminescence, Stimulated Emission, Photoreflectance, and 2DEG Properties of Double Heterojunction AlGaN/GaN/AlGaN HEMT Heterostructures Grown by Ammonia MBE. Phys. Status Solidi 2018, 215, 1700602. [Google Scholar] [CrossRef]
- Schroder, D.K. Carrier and Doping Density. In Semiconductor Material and Device Characterization; John Wiley & Sons, Inc.: Hoboken, NJ, USA, 2005; pp. 61–125. [Google Scholar]
- Pashnev, D.; Korotyeyev, V.V.; Jorudas, J.; Kaplas, T.; Janonis, V.; Urbanowicz, A.; Kašalynas, I. Experimental evidence of temperature dependent effective mass in AlGaN/GaN heterostructures observed via THz spectroscopy of 2D plasmons. Appl. Phys. Lett. 2020, 117, 162101. [Google Scholar] [CrossRef]
- Hoon Shin, J.; Je Jo, Y.; Kim, K.-C.; Jang, T.; Sang Kim, K. Gate metal induced reduction of surface donor states of AlGaN/GaN heterostructure on Si-substrate investigated by electroreflectance spectroscopy. Appl. Phys. Lett. 2012, 100, 111908. [Google Scholar] [CrossRef]
- Kruszewski, P.; Grabowski, M.; Prystawko, P.; Nowakowska-Siwinska, A.; Sarzynski, M.; Leszczynski, M. Properties of AlGaN/GaN Ni/Au-Schottky diodes on 2°-off silicon carbide substrates. Phys. Status Solidi 2017, 214, 1600376. [Google Scholar] [CrossRef]
- Handler, P.; Farnsworth, H.E.; Kleiner, W.H.; Law, J.T.; Garrett, C.G.B.; Autler, H.; McWhorter, A.L. Electrical Properties of a Clean Germanium Surface. In Semiconductor Surface Physics; Kingston, R.H., Ed.; University of Pennsylvania Press: Philadelphia, PA, USA, 1957; pp. 23–52. [Google Scholar]
- Christensson, S.; Lundström, I.; Svensson, C. Low frequency noise in MOS transistors—I Theory. Solid State Electron. 1968, 11, 797–812. [Google Scholar] [CrossRef]
- Chavarkar, P.; Mishra, U.K. High Electron Mobility Transistors. In RF and Microwave Semiconductor Device Handbook; CRC Press: Boca Raton, FL, USA, 2017; pp. 8.1–8.32. [Google Scholar]
- Schwierz, F.; Liou, J.J. RF transistors: Recent developments and roadmap toward terahertz applications. Solid State Electron. 2007, 51, 1079–1091. [Google Scholar] [CrossRef]
- Shinohara, K.; Regan, D.C.; Tang, Y.; Corrion, A.L.; Brown, D.F.; Wong, J.C.; Robinson, J.F.; Fung, H.H.; Schmitz, A.; Oh, T.C.; et al. Scaling of GaN HEMTs and Schottky Diodes for Submillimeter-Wave MMIC Applications. IEEE Trans. Electron. Devices 2013, 60, 2982–2996. [Google Scholar] [CrossRef]










| Hall Measurements | Simulation | Eddy Current Measurements | ||
|---|---|---|---|---|
| Parameter | 300 K | 77 K | 300 K | 300 K |
| N2DEG, ×1013 cm−2 | 1.00 | 0.96 | 1.0 | - |
| μ2DEG, cm2/V∙s | 1.7 × 103 | 1.0 × 104 | - | - |
| RSh, Ω/□ | 375 | 64 | - | 380 ± 10 |
Publisher’s Note: MDPI stays neutral with regard to jurisdictional claims in published maps and institutional affiliations. |
© 2020 by the authors. Licensee MDPI, Basel, Switzerland. This article is an open access article distributed under the terms and conditions of the Creative Commons Attribution (CC BY) license (http://creativecommons.org/licenses/by/4.0/).
Share and Cite
Jorudas, J.; Šimukovič, A.; Dub, M.; Sakowicz, M.; Prystawko, P.; Indrišiūnas, S.; Kovalevskij, V.; Rumyantsev, S.; Knap, W.; Kašalynas, I. AlGaN/GaN on SiC Devices without a GaN Buffer Layer: Electrical and Noise Characteristics. Micromachines 2020, 11, 1131. https://doi.org/10.3390/mi11121131
Jorudas J, Šimukovič A, Dub M, Sakowicz M, Prystawko P, Indrišiūnas S, Kovalevskij V, Rumyantsev S, Knap W, Kašalynas I. AlGaN/GaN on SiC Devices without a GaN Buffer Layer: Electrical and Noise Characteristics. Micromachines. 2020; 11(12):1131. https://doi.org/10.3390/mi11121131
Chicago/Turabian StyleJorudas, Justinas, Artūr Šimukovič, Maksym Dub, Maciej Sakowicz, Paweł Prystawko, Simonas Indrišiūnas, Vitalij Kovalevskij, Sergey Rumyantsev, Wojciech Knap, and Irmantas Kašalynas. 2020. "AlGaN/GaN on SiC Devices without a GaN Buffer Layer: Electrical and Noise Characteristics" Micromachines 11, no. 12: 1131. https://doi.org/10.3390/mi11121131
APA StyleJorudas, J., Šimukovič, A., Dub, M., Sakowicz, M., Prystawko, P., Indrišiūnas, S., Kovalevskij, V., Rumyantsev, S., Knap, W., & Kašalynas, I. (2020). AlGaN/GaN on SiC Devices without a GaN Buffer Layer: Electrical and Noise Characteristics. Micromachines, 11(12), 1131. https://doi.org/10.3390/mi11121131

