Effects of Capping Layers with Different Metals on Electrical Performance and Stability of p-Channel SnO Thin-Film Transistors
Abstract
1. Introduction
2. Experimental Procedure
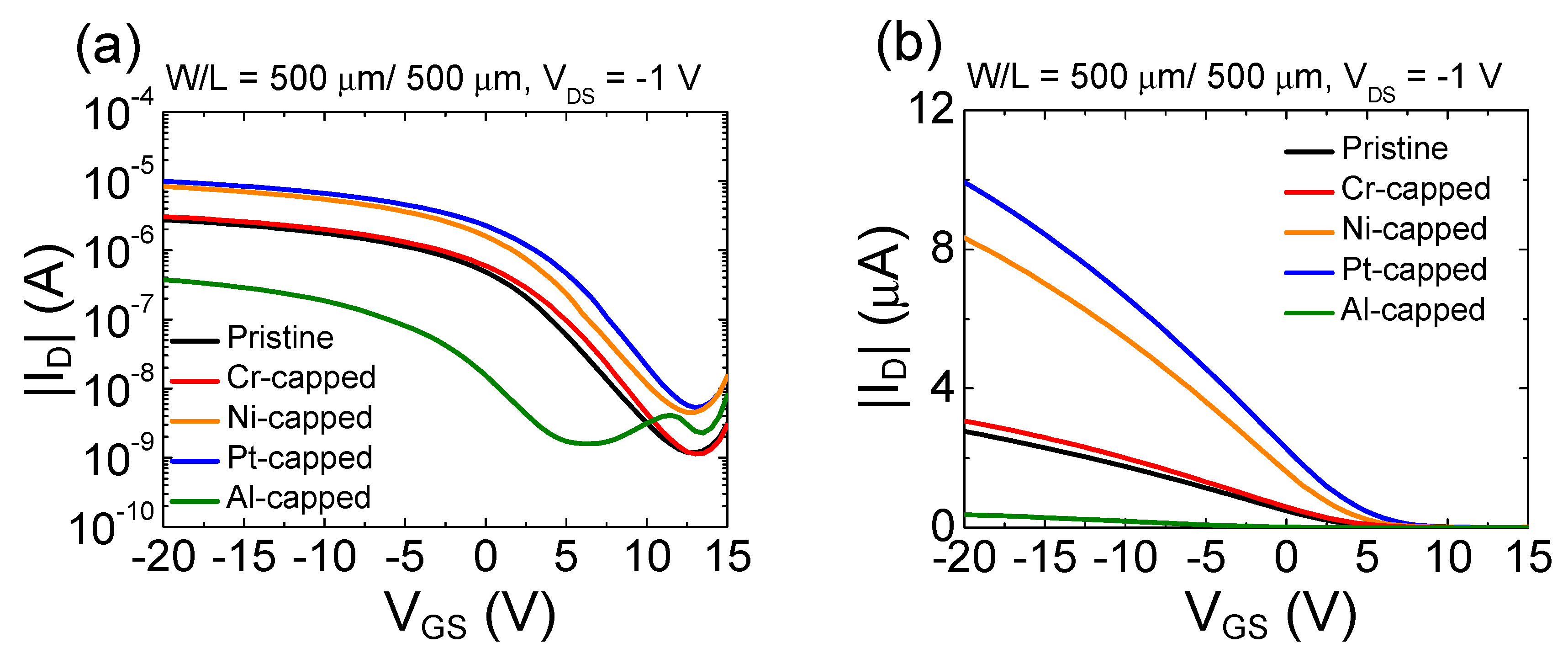
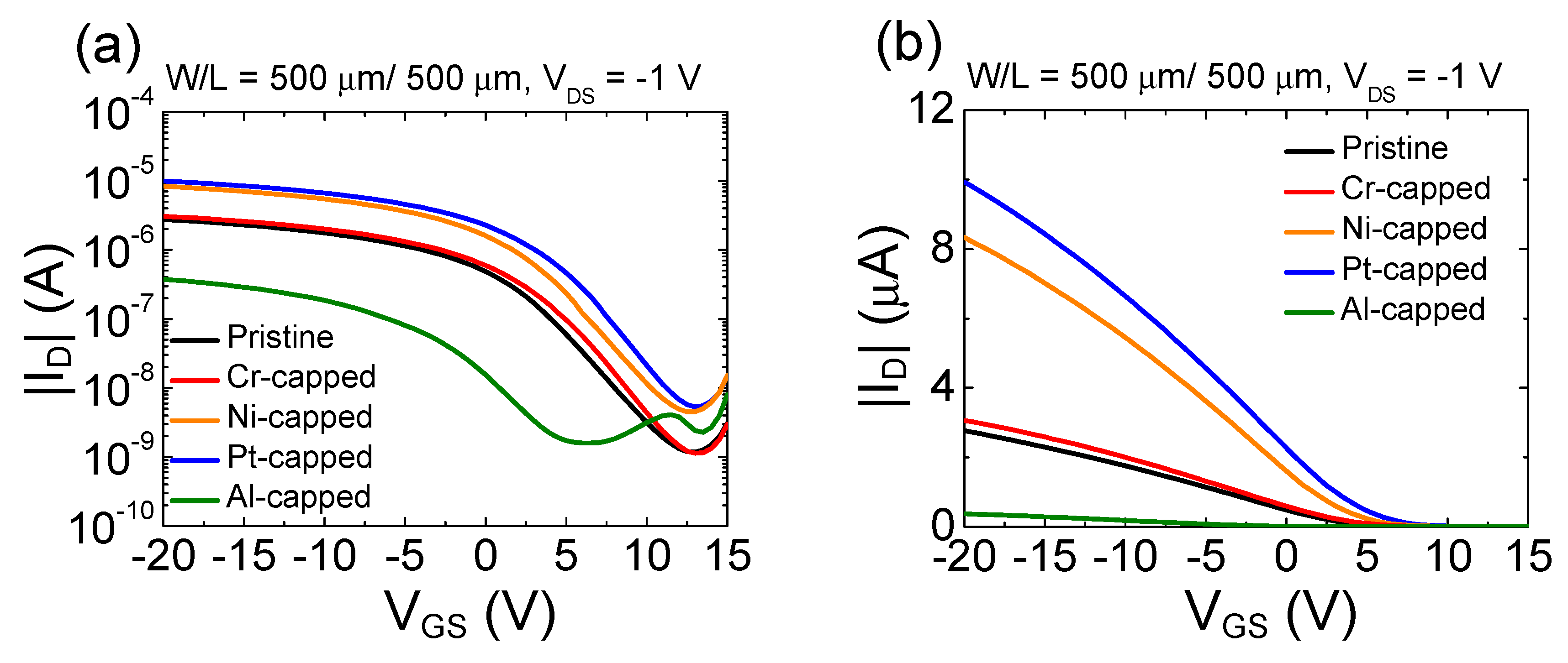
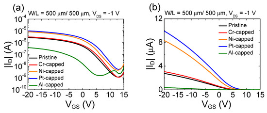
3. Results and Discussion
4. Conclusions
Author Contributions
Funding
Conflicts of Interest
References
- Nomura, K.; Ohta, H.; Takagi, A.; Kamiya, T.; Hirano, M.; Hosono, H. Room-temperature fabrication of transparent flexible thin-film transistors using amorphous oxide semiconductors. Nature 2004, 432, 488–492. [Google Scholar] [CrossRef] [PubMed]
- Yabuta, H.; Sano, M.; Abe, K.; Aiba, T.; Den, T.; Kumomi, H.; Nomura, K.; Kamiya, T.; Hosono, H. High-mobility thin-film transistor with amorphous InGaZnO4 channel fabricated by room temperature rf-magnetron sputtering. Appl. Phys. Lett. 2006, 89, 112123. [Google Scholar] [CrossRef]
- Suresh, A.; Muth, J.F. Bias stress stability of indium gallium zinc oxide channel based transparent thin film transistors. Appl. Phys. Lett. 2008, 92. [Google Scholar] [CrossRef]
- Kamiya, T.; Nomura, K.; Hosono, H. Present status of amorphous In-Ga-Zn-O thin-film transistors. Sci. Technol. Mater. 2010, 11. [Google Scholar] [CrossRef] [PubMed]
- Park, M.-J.; Yun, D.-J.; Ryu, M.-K.; Yang, J.-H.; Pi, J.-E.; Kwon, O.-S.; Kim, G.H.; Hwang, C.-S.; Bak, J.-Y.; Yoon, S.-M. Improvements in the bending performance and bias stability of flexible InGaZnO thin film transistors and optimum barrier structures for plastic poly (ethylene naphthalate) substrates. J. Mater. Chem. C 2015, 3, 4779–4786. [Google Scholar] [CrossRef]
- Kim, D.H.; Choi, S.; Jang, J.; Kang, H.; Kim, D.M.; Choi, S.-J.; Kim, Y.-S.; Oh, S.; Baeck, J.H.; Bae, J.U.; et al. Experimental decomposition of the positive bias temperature stress-induced instability in self-aligned coplanar InGaZnO thin-film transistors and its modeling based on the multiple stretched-exponential function. J. Soc. Inf. Disp. 2017, 25, 98–107. [Google Scholar] [CrossRef]
- Hu, S.; Ning, H.; Lu, K.; Fang, Z.; Li, Y.; Yao, R.; Xu, M.; Wang, L.; Peng, J.; Lu, X. Mobility Enhancement in Amorphous In-Ga-Zn-O Thin-Film Transistor by Induced Metallic in Nanoparticles and Cu Electrodes. Nanomaterials 2018, 8, 197. [Google Scholar] [CrossRef]
- Seo, Y.; Jeong, H.-S.; Jeong, H.-Y.; Park, S.; Jang, J.T.; Choi, S.; Kim, D.M.; Choi, S.-J.; Jin, X.; Kwon, H.-I.; et al. Effect of Simultaneous Mechanical and Electrical Stress on the Electrical Performance of Flexible In-Ga-Zn-O Thin-Film Transistors. Materials 2019, 12, 3248. [Google Scholar] [CrossRef]
- Zhang, Y.; Xie, H.; Dong, C. Electrical Performance and Bias-Stress Stability of Amorphous InGaZnO Thin-Film Transistors with Buried-Channel Layers. Micromachines 2019, 10, 779. [Google Scholar] [CrossRef]
- Jeong, H.-Y.; Nam, S.-H.; Park, K.-S.; Yoon, S.-Y.; Park, C.; Jang, J. Significant Performance and Stability Improvements of Low-Temperature IGZO TFTs by the Formation of In-F Nanoparticles on an SiO2 Buffer Layer. Nanomaterials 2020, 10, 1165. [Google Scholar] [CrossRef]
- Yoon, S.-M.; Yang, S.-H.; Jung, S.-W.; Byun, C.-W.; Park, S.-H.K.; Hwang, C.-S.; Lee, G.-G.; Tokumitsu, E.; Ishiwara, H. Impact of interface controlling layer of Al2O3 for improving the retention behaviors of In-Ga-Zn oxide-based ferroelectric memory transistor. Appl. Phys. Lett. 2010, 96, 232903. [Google Scholar] [CrossRef]
- Tsao, S.W.; Chang, T.C.; Huang, S.Y.; Chen, M.C.; Chen, S.C.; Tsai, C.T.; Kuo, Y.J.; Chen, Y.C.; Wu, W.C. Hydrogen-induced improvements in electrical characteristics of a-IGZO thin-film transistors. Solid State Electron. 2010, 54, 1497–1499. [Google Scholar] [CrossRef]
- Tak, Y.J.; Yoon, D.H.; Yoon, S.; Choi, U.H.; Sabri, M.M.; Ahn, B.D.; Kim, H.J. Enhanced electrical characteristics and stability via simultaneous ultraviolet and thermal treatment of passivated amorphous In-Ga-Zn-O thin-film transistors. Appl. Mater. Interfaces 2014, 6, 6399–6405. [Google Scholar] [CrossRef] [PubMed]
- Kim, Y.-M.; Kang, H.-B.; Kim, G.-H.; Hwang, C.-S.; Yoon, S.-M. Improvement in device performance of vertical thin-film transistors using atomic layer deposited IGZO channel and polyimide spacer. IEEE Electron. Device Lett. 2017, 38, 1387–1389. [Google Scholar] [CrossRef]
- Lee, S.; Geng, D.; Li, L.; Liu, M.; Jang, J. Highly robust oxide thin film transistors with split active semiconductor and source/drain electrodes. IEDM 2017, 2, 187–190. [Google Scholar] [CrossRef]
- Fan, C.-L.; Tseng, F.-P.; Tseng, C.-Y. Electrical Performance and Reliability Improvement of Amorphous-Indium-Gallium-Zinc-Oxide Thin-Film Transistors with HfO2 Gate Dielectrics by CF4 Plasma Treatment. Materials 2018, 11, 824. [Google Scholar] [CrossRef]
- Zhou, Y.; Dong, C. Influence of Passivation Layers on Positive Gate Bias-Stress Stability of Amorphous InGaZnO Thin-Film Transistors. Micromachines 2018, 9, 603. [Google Scholar] [CrossRef]
- Zhang, L.; Xiao, W.; Wu, W.; Liu, B. Research Progress on Flexible Oxide-Based Thin Film Transistors. Appl. Sci. 2019, 9, 773. [Google Scholar] [CrossRef]
- Lee, J.Y.; Lee, S.Y. Effect of Metal Capping on the stability of amorphous Si–Zn–Sn–O thin film transistor by suppressing ambient effect. J. Nanosci. Nanotechnol. 2020, 20, 5002–5005. [Google Scholar] [CrossRef]
- Kim, H.J.; Han, C.J.; Yoo, B.; Lee, J.; Lee, K.; Lee, K.H.; Oh, M.S. Effects of Intense Pulsed Light (IPL) rapid annealing and back-channel passivation on solution-processed In-Ga-Zn-O thin film transistors array. Micromachines 2020, 11, 508. [Google Scholar] [CrossRef]
- Oh, M.S.; Lee, K.; Lee, K.H.; Cha, S.H.; Choi, J.M.; Lee, B.H.; Sung, M.M.; Im, S. Transparent photo-stable complementary inverter with an organic/inorganic nanohybrid dielectric layer. Adv. Funct. Mater. 2009, 19, 726–732. [Google Scholar] [CrossRef]
- Kim, D.I.; Hwang, B.U.; Park, J.S.; Jeon, H.S.; Bae, B.S.; Lee, H.J.; Lee, N.-E. Mechanical bending of flexible complementary inverters based on organic and oxide thin film transistors. Org. Electron. 2012, 13, 2401–2405. [Google Scholar] [CrossRef]
- Chiu, I.-C.; Li, Y.-S.; Tu, M.-S.; Cheng, I.-C. Complementary oxide–semiconductor-based circuits with n-channel ZnO and p-channel SnO thin-film transistors. IEEE Electron. Device Lett. 2014, 35, 1263–1265. [Google Scholar] [CrossRef]
- Zhang, J.; Jia, Y.; Li, Y.; Wilson, J.; Ma, X.; Xin, Q.; Song, A. High performance complementary circuits based on p-SnO and n-IGZO thin-film transistors. Materials 2017, 10, 319. [Google Scholar] [CrossRef]
- Pecunia, V.; Fattori, M.; Abdinia, S.; Sirringhaus, H.; Cantatore, E. Organic and Amorphous-Metal-Oxide Flexible Analogue Electronics; Cambridge University Press: Cambridge, UK, 2018; pp. 21–98. [Google Scholar] [CrossRef]
- Yang, J.; Wang, Y.; Li, Y.; Yuan, Y.; Hu, Z.; Ma, P.; Zhou, L.; Wang, Q.; Song, A.; Xin, Q. Highly optimized complementary inverters based on p-SnO and n-InGaZnO with high uniformity. IEEE Electron. Device Lett. 2018, 39, 516–519. [Google Scholar] [CrossRef]
- Kim, K.-T.; Kang, S.-H.; Kim, J.; Heo, J.S.; Kim, Y.-H.; Park, S.K. An Ultra-Flexible Solution-Processed Metal-Oxide/Carbon Nanotube Complementary Circuit Amplifier with Highly Reliable Electrical and Mechanical Stability. Adv. Electron. Mater. 2020, 6, 1900845. [Google Scholar] [CrossRef]
- Joo, H.-J.; Shin, M.-G.; Jung, H.-S.; Cha, H.-S.; Nam, D.; Kwon, H.-I. Oxide thin-film transistor-based vertically stacked complementary inverter for logic and photo-sensor Operations. Materials 2019, 12, 3815. [Google Scholar] [CrossRef]
- Ogo, Y.; Hiramatsu, H.; Nomura, K.; Yanagi, H.; Kamiya, T.; Hirano, M.; Hosono, H. p-Channel thin-film transistor using p-type oxide semiconductor, SnO. Appl. Phys. Lett. 2008, 93, 032113. [Google Scholar] [CrossRef]
- Fortunato, E.; Barros, R.; Barquinha, P.; Figueiredo, V.; Park, S.-H.K.; Hwang, C.-S.; Martins, R. Transparent p-type SnOx thin film transistors produced by reactive rf magnetron sputtering followed by low temperature annealing. Appl. Phys. Lett. 2010, 97, 052105. [Google Scholar] [CrossRef]
- Hwang, S.; Kim, Y.Y.; Lee, J.H.; Seo, D.K.; Lee, J.Y.; Cho, H.K. Irregular electrical conduction types in tin oxide thin films induced by nanoscale phase separation. J. Am. Ceram. Soc. 2012, 95, 324–327. [Google Scholar] [CrossRef]
- Hsu, P.-C.; Tsai, S.-P.; Chang, C.-H.; Hsu, C.-J.; Chen, W.-C.; Hsieh, H.-H.; Wu, C.-C. Preparation of p-type SnO thin films and transistors by sputtering with robust Sn/SnO2 mixed target in hydrogen-containing atmosphere. Thin Solid Films 2015, 585, 50–56. [Google Scholar] [CrossRef]
- Kim, H.-J.; Jeong, C.-Y.; Bae, S.-D.; Lee, J.-H.; Kwon, H.-I. Charge transport mechanism in p-channel tin monoxide thin-film transistors. IEEE Electron. Device Lett. 2017, 38, 473–476. [Google Scholar] [CrossRef]
- Shin, M.-G.; Bae, K.-H.; Cha, H.-S.; Jeong, H.-S.; Kim, D.-H.; Kwon, H.-I. Floating Ni capping for high-mobility p-channel SnO thin-film transistors. Materials 2020, 13, 3055. [Google Scholar] [CrossRef] [PubMed]
- Cho, I.T.; Myeonghun, U.; Song, S.-H.; Lee, J.-H.; Kwon, H.-I. Effects of air-annealing on the electrical properties of p-type tin monoxide thin-film transistors. Semicond. Sci. Technol. 2014, 29, 045011. [Google Scholar] [CrossRef]
- Jeong, H.-S.; Park, M.-J.; Kwon, S.-H.; Joo, H.-J.; Kwon, H.I. Highly sensitive and selective room-temperature NO2 gas-sensing characteristics of SnOX-based p-type thin-film transistor. Sens. Actuators B Chem. 2019, 288, 625–633. [Google Scholar] [CrossRef]
- Powder Diffraction File. International Centre for Diffraction Data, PDF 04-008-7670 (SnO). Available online: http://icdd.com (accessed on 23 April 2020).
- Kwon, S.-H.; Joo, H.-J.; Kwon, H.-I. Effects of simultaneous ultraviolet and thermal treatments on physical and chemical properties of RF-sputtered p-type SnO thin-films. Ceram. Int. 2018, 44, 20883–20889. [Google Scholar] [CrossRef]
- Eastment, R.M.; Mee, C.H.B. Work function measurements on (100), (110) and (111) surfaces of aluminium. J. Phys. F Met. Phys. 1973, 3, 1738–1745. [Google Scholar] [CrossRef]
- Korotun, A.V. d Size Oscillations of the Work Function of a Metal Film on a Dielectric Substrate. Phys. Solid State 2015, 57, 317–374. [Google Scholar] [CrossRef]
- Qiang, L.; Liu, W.; Pei, Y.; Wang, G.; Yao, R. Trap states extraction of p-channel SnO thin-film transistors based on percolation and multiple trapping carrier conductions. Solid State Electron. 2017, 129, 163–167. [Google Scholar] [CrossRef]
- Krishnan, N.G.; Delgass, W.N.; Robertson, W.D. Electron binding energies of core levels in caesium adsorbed on a nickel (100) surface. J. Phys. F Met. Phys. 1997, 12, 2623–2635. [Google Scholar] [CrossRef]
- Park, S.; Colombo, L.; Nishi, Y.; Cho, K. Ab initio study of metal gate electrode work function. Appl. Phys. Lett. 2005, 86, 073118. [Google Scholar] [CrossRef]
- Bouwman, R.; Sachtler, W.M.H. Photoelectric Determination of the Work Function of Gold-Platinum Alloys. J. Catal. 1970, 19, 127–140. [Google Scholar] [CrossRef]
- Baeg, K.-J.; Khim, D.; Kim, D.-Y.; Koo, J.B.; You, I.-K.; Choi, W.S.; Noh, Y.-Y. High mobility top-gated poly (3-hexylthiophene) field-effect transistors with high work-function Pt electrodes. Thin Solid Films 2010, 518, 4024–4029. [Google Scholar] [CrossRef]
- Mativenga, M.; An, S.; Jang, J. Bulk accumulation a-IGZO TFT for high current and turn-on voltage uniformity. IEEE Electron. Device Lett. 2013, 34, 1533–1535. [Google Scholar] [CrossRef]
- Wahlin, H.B. The Thermionic Properties of Chromium. Phys. Rev. 1948, 73, 1458–1459. [Google Scholar] [CrossRef]
- Sarkar, A.; Das, A.K.; De, S.; Sarkar, C.K. Effect of gate engineering in double-gate MOSFETs for analog/RF applications. Microelectron. J. 2012, 43, 873–882. [Google Scholar] [CrossRef]
- Huang, S.-Y.; Chang, T.-C.; Chen, M.-C.; Jian, F.-C.; Chen, S.-C.; Chen, T.-C.; Jheng, J.-L.; Lou, M.-J.; Yeh, F.-S. Analyzing the current crowding effect induced by oxygen adsorption of amorphous InGaZnO thin film transistor by capacitance–voltage measurements. Solid State Electron. 2012, 69, 11–13. [Google Scholar] [CrossRef]








| Parameter | Pristine | Al | Ni | Pt | Cr |
|---|---|---|---|---|---|
| μFE (cm2/V·s) | 1.6 | 0.3 | 4.8 | 5.4 | 1.8 |
| SS (V/dec) | 4.0 | 4.7 | 3.7 | 3.5 | 3.9 |
| ION/OFF | 2.5 × 103 | 2.4 × 102 | 1.8 × 103 | 1.9 × 103 | 2.7 × 103 |
| VTH (V) | 3.7 | −1.6 | 5.2 | 6.3 | 4.5 |
© 2020 by the authors. Licensee MDPI, Basel, Switzerland. This article is an open access article distributed under the terms and conditions of the Creative Commons Attribution (CC BY) license (http://creativecommons.org/licenses/by/4.0/).
Share and Cite
Shin, M.-G.; Bae, K.-H.; Jeong, H.-S.; Kim, D.-H.; Cha, H.-S.; Kwon, H.-I. Effects of Capping Layers with Different Metals on Electrical Performance and Stability of p-Channel SnO Thin-Film Transistors. Micromachines 2020, 11, 917. https://doi.org/10.3390/mi11100917
Shin M-G, Bae K-H, Jeong H-S, Kim D-H, Cha H-S, Kwon H-I. Effects of Capping Layers with Different Metals on Electrical Performance and Stability of p-Channel SnO Thin-Film Transistors. Micromachines. 2020; 11(10):917. https://doi.org/10.3390/mi11100917
Chicago/Turabian StyleShin, Min-Gyu, Kang-Hwan Bae, Hwan-Seok Jeong, Dae-Hwan Kim, Hyun-Seok Cha, and Hyuck-In Kwon. 2020. "Effects of Capping Layers with Different Metals on Electrical Performance and Stability of p-Channel SnO Thin-Film Transistors" Micromachines 11, no. 10: 917. https://doi.org/10.3390/mi11100917
APA StyleShin, M.-G., Bae, K.-H., Jeong, H.-S., Kim, D.-H., Cha, H.-S., & Kwon, H.-I. (2020). Effects of Capping Layers with Different Metals on Electrical Performance and Stability of p-Channel SnO Thin-Film Transistors. Micromachines, 11(10), 917. https://doi.org/10.3390/mi11100917
