Electroosmotic Flow Behavior of Viscoelastic LPTT Fluid in a Microchannel
Abstract
1. Introduction
2. Mathematical Model and Boundary Conditions
3. Numerical Method and Code Validation
4. Results and Discussion
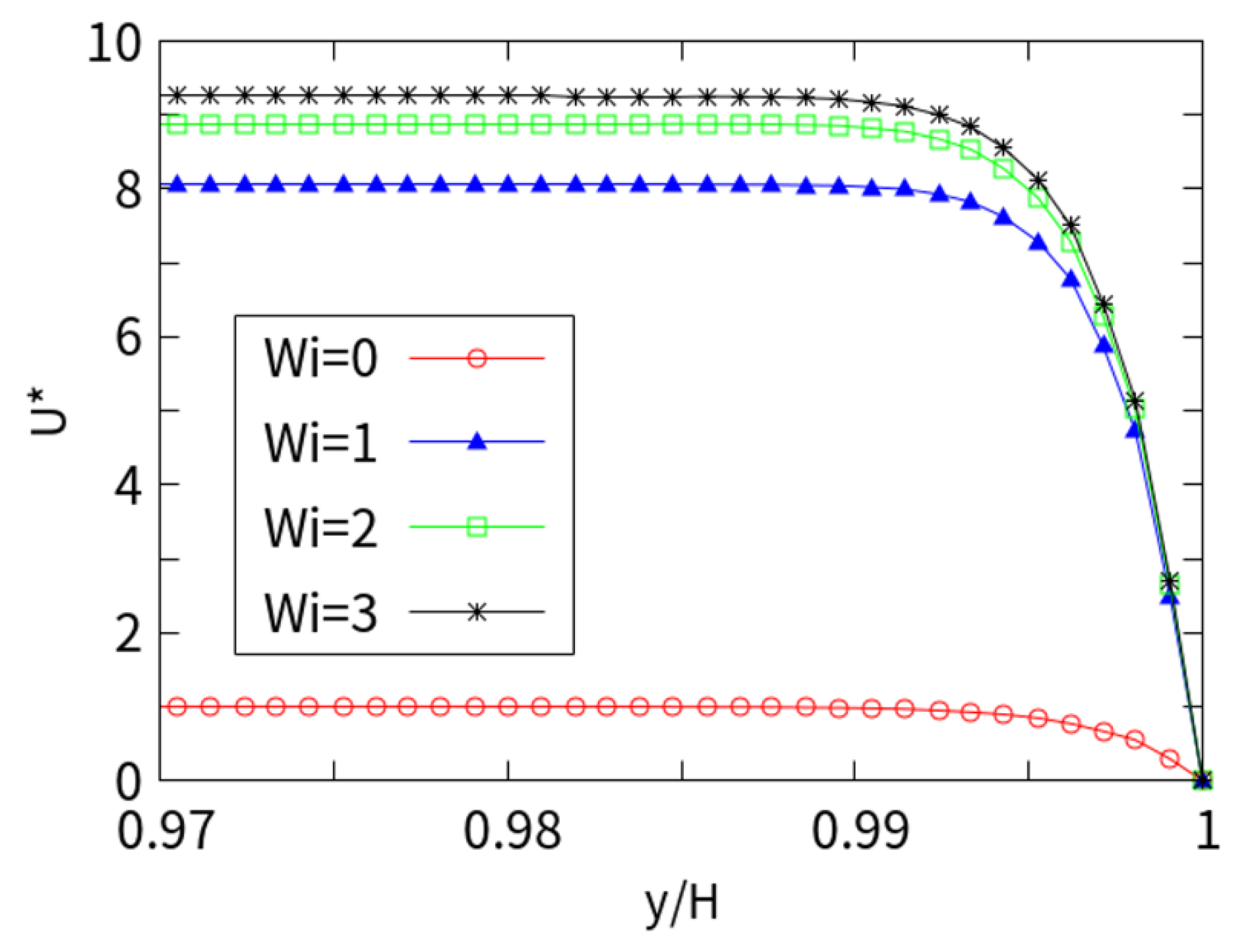
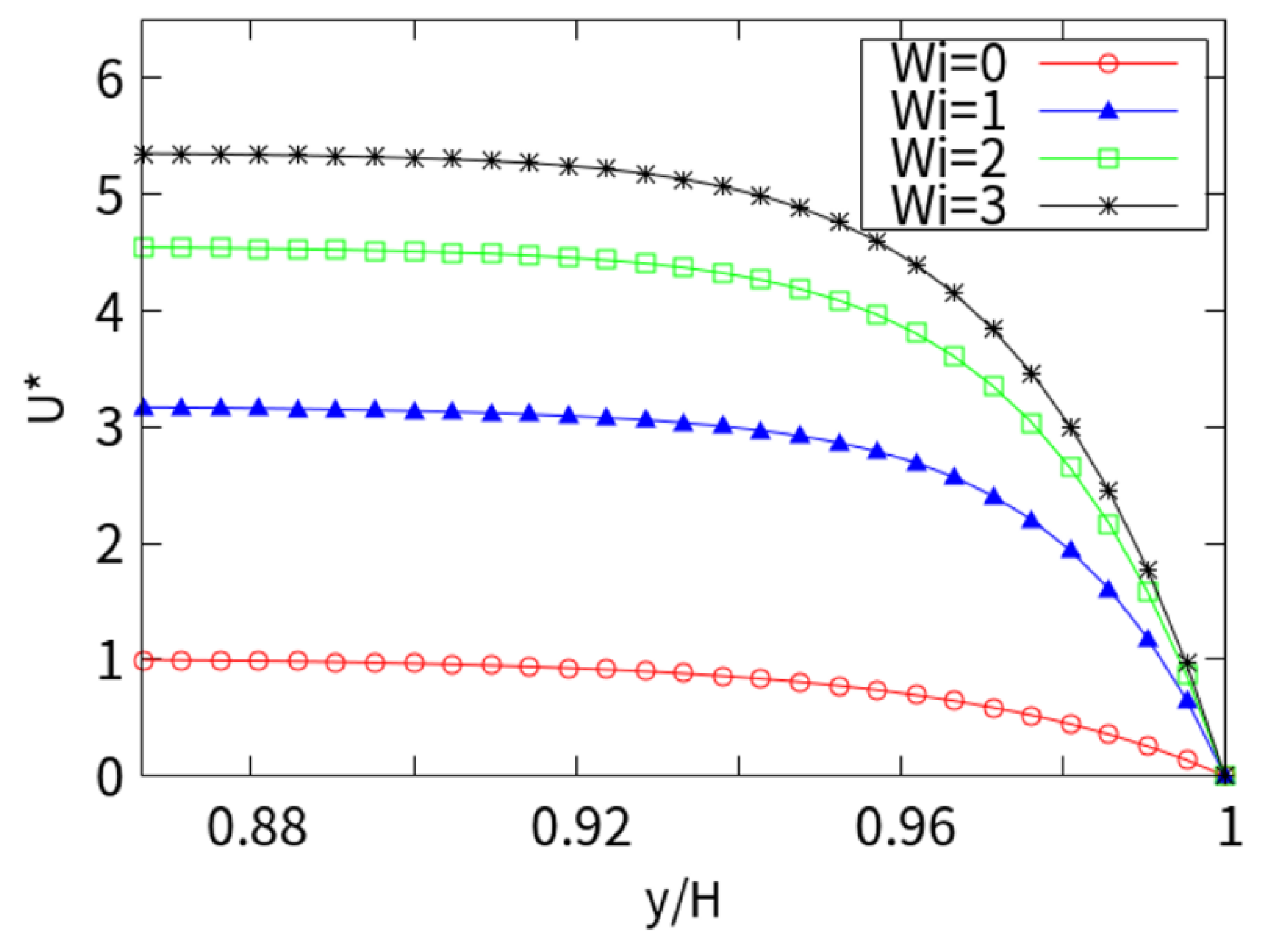
4.1. The Influence of Wi Numbers
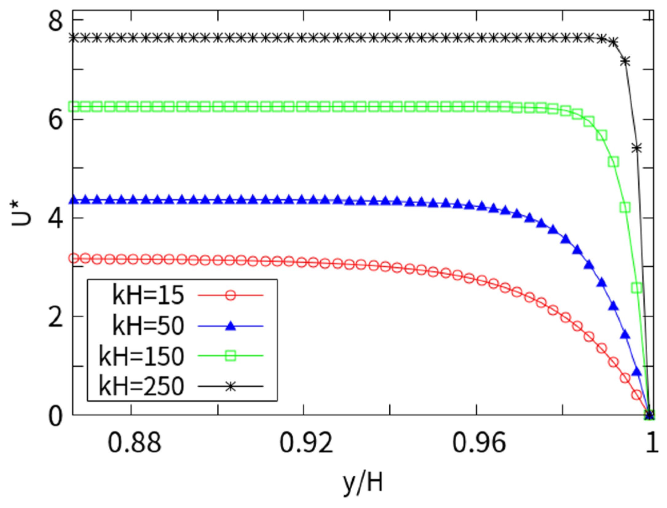
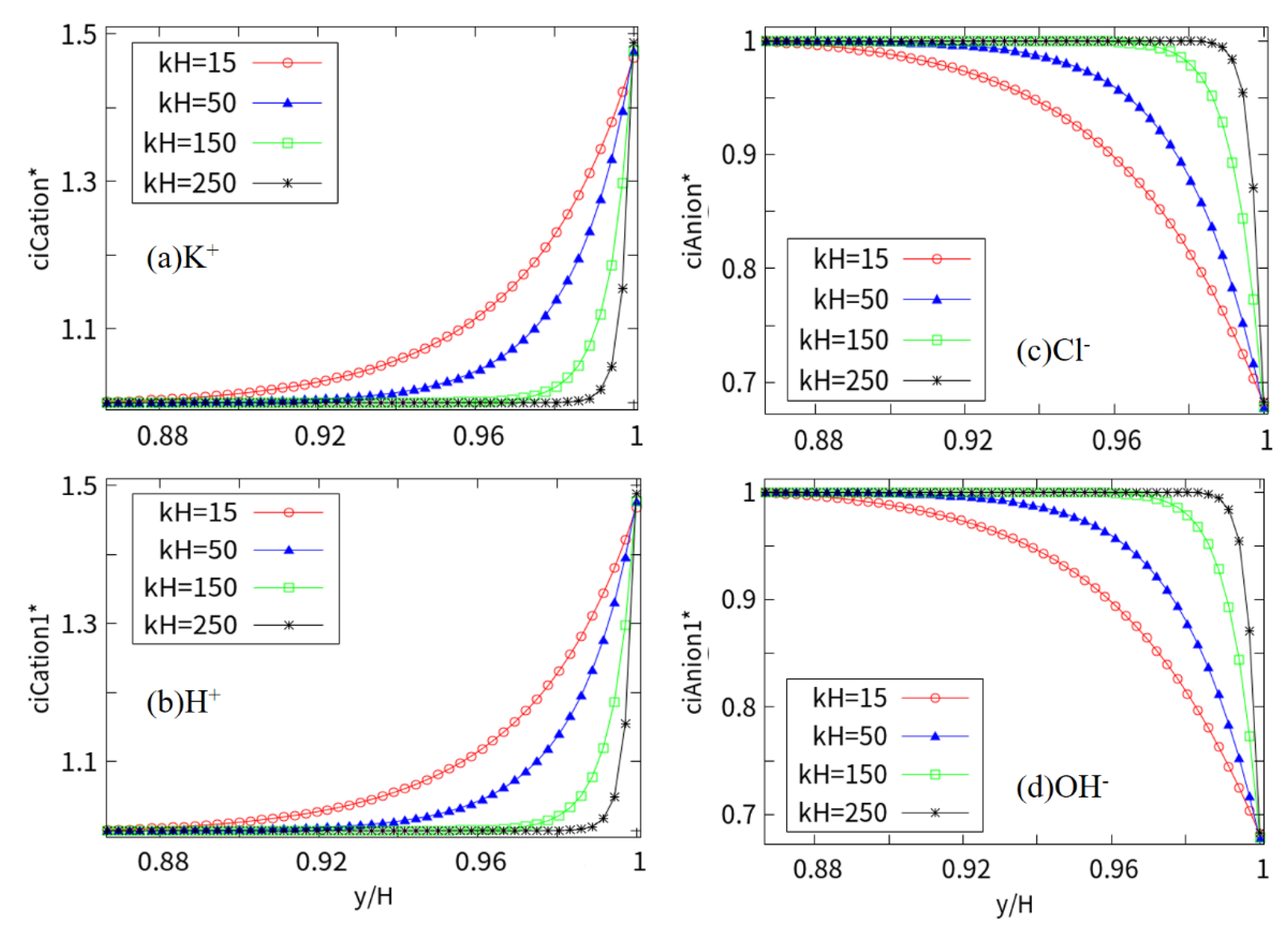
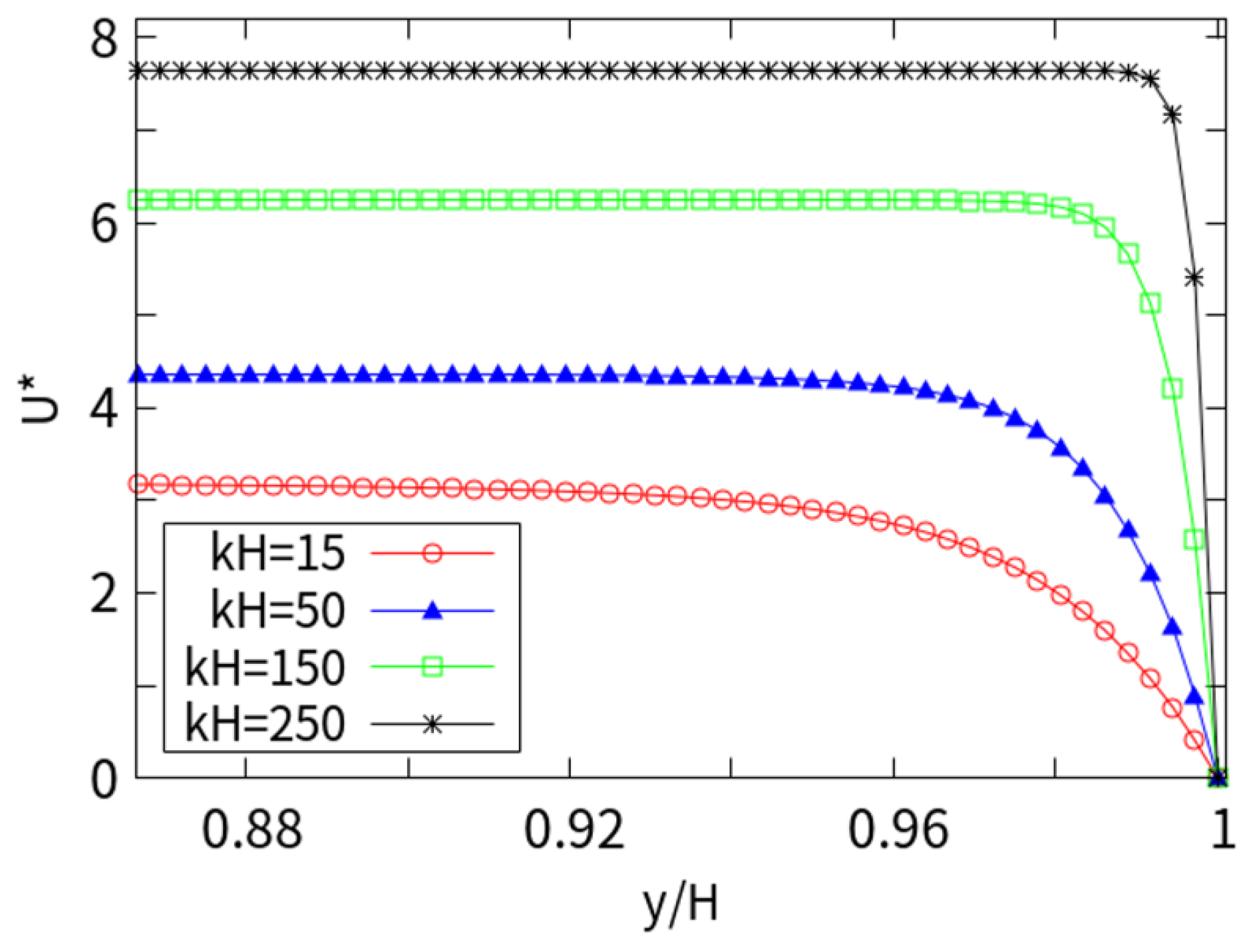
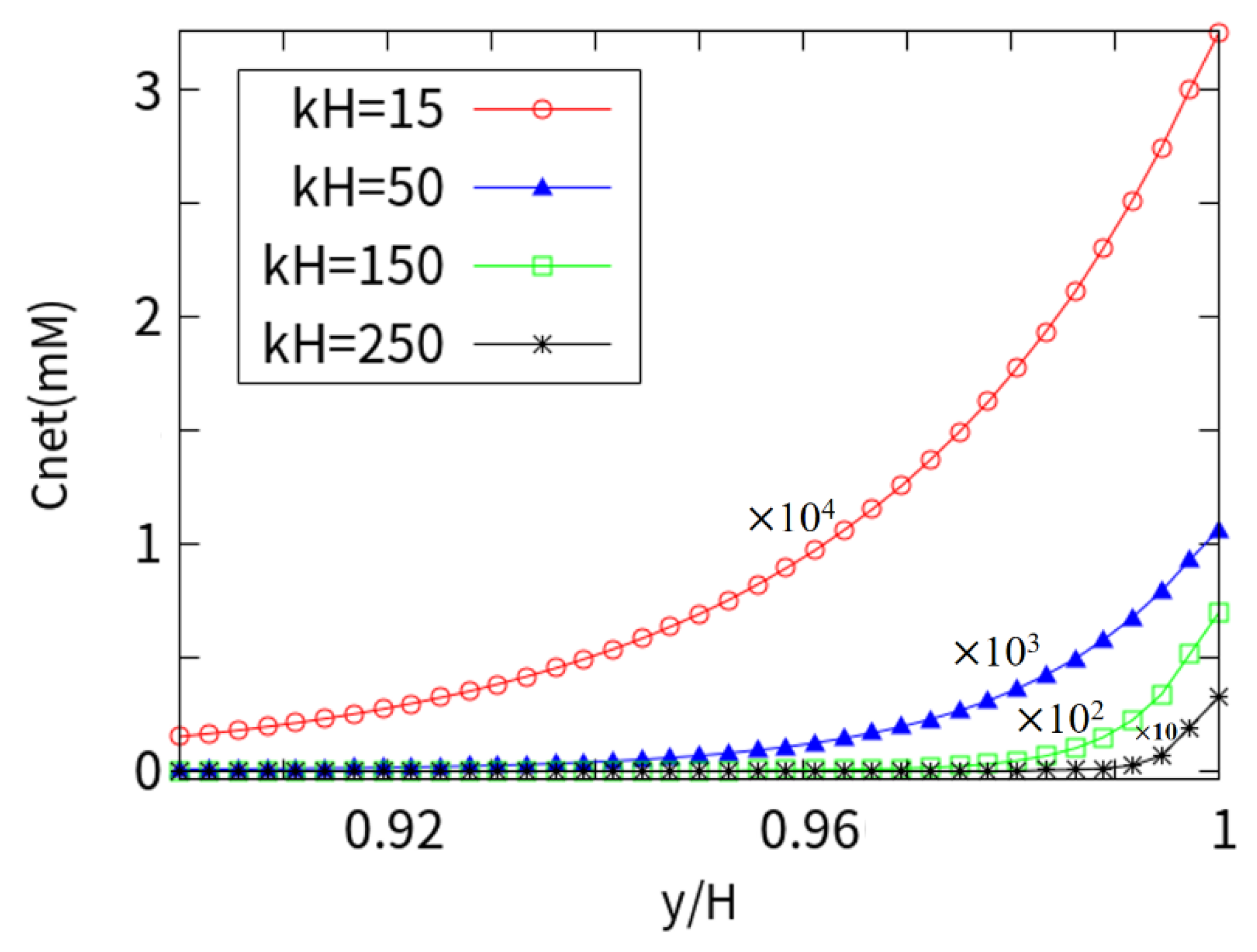
4.2. Analysis of Different EDL Thicknesses
4.3. Rheological Parameter Effects of LPTT Model on Flow Velocity
5. Conclusions
Author Contributions
Funding
Conflicts of Interest
References
- Gutierrez, M.A.; Moreno, R.A.; Rebelo, M.S. Information and communication technologies and global health challenges. In Global Health Informatics; Academic Press: Cambridge, MA, USA, 2017; pp. 50–93. [Google Scholar]
- Luppa, P.B.; Müller, C.; Schlichtiger, A.; Schlebusch, H. Point-of-care testing (POCT): Current techniques and future perspectives. Trac Trends Anal. Chem. 2011, 30, 887–898. [Google Scholar] [CrossRef]
- Li, Z.R.; Liu, G.R.; Chen, Y.Z.; Wang, J.S.; Bow, H.; Cheng, Y.; Han, J. Continuum transport model of Ogston sieving in patterned nanofilter arrays for separation of rod-like biomolecules. Electrophoresis 2008, 29, 329–339. [Google Scholar] [CrossRef] [PubMed]
- Li, J.; Chen, D.; Ye, J.; Zhang, L.; Zhou, T.; Zhou, Y. Direct numerical simulation of seawater desalination based on ion concentration polarization. Micromachines 2019, 10, 562. [Google Scholar] [CrossRef] [PubMed]
- Ouyang, W.; Ye, X.; Li, Z.; Han, J. Deciphering ion concentration polarization-based electrokinetic molecular concentration at the micro-nanofluidic interface: Theoretical limits and scaling laws. Nanoscale 2018, 10, 15187–15194. [Google Scholar] [CrossRef] [PubMed]
- Li, Z.; Liu, W.; Gong, L.; Zhu, Y.; Gu, Y.; Han, J. Accurate multi-physics numerical analysis of particle preconcentration based on ion concentration polarization. Int. J. Appl. Mech. 2017, 9, 1750107. [Google Scholar] [CrossRef]
- Gong, L.; Ouyang, W.; Li, Z.; Han, J. Force fields of charged particles in micro-nanofluidic preconcentration systems. AIP Adv. 2017, 7, 125020. [Google Scholar] [CrossRef] [PubMed]
- Gervais, T.; Jensen, K.F. Mass transport and surface reactions in microfluidic systems. Chem. Eng. Sci. 2006, 61, 1102–1121. [Google Scholar] [CrossRef]
- Gong, L.; Ouyang, W.; Li, Z.; Han, J. Direct numerical simulation of continuous lithium extraction from high Mg2+/Li+ ratio brines using microfluidic channels with ion concentration polarization. J. Membr. Sci. 2018, 556, 34–41. [Google Scholar] [CrossRef]
- Reuss, F.F. Notice sur un nouvel effet de l’electricité galvanique, Mémoire Soc. Sup. Imp. Moscou 1809, 2, 327–337. [Google Scholar]
- Helmholtz, H.V. Ueber einige gesetze der vertheilung elektrischer ströme in körperlichen leitern, mit anwendung auf die thierisch-elektrischen versuche (schluss.). Ann. Phys. 1853, 165, 353–377. [Google Scholar] [CrossRef]
- Braga, P.C.; Moretti, M.; Piacenza, A.; Montoli, C.C.; Guffanti, E.E. Effects of seaprose on the rheology of bronchial mucus in patients with chronic bronchitis. A double-blind study vs placebo. Int. J. Clin. Pharmacol. Res. 1993, 13, 179–185. [Google Scholar] [PubMed]
- Stokes, J.R.; Davies, G.A. Viscoelasticity of human whole saliva collected after acid and mechanical stimulation. Biorheology 2007, 44, 141–160. [Google Scholar] [PubMed]
- Jun Kang, Y.; Lee, S.J. Blood viscoelasticity measurement using steady and transient flow controls of blood in a microfluidic analogue of Wheastone-bridge channel. Biomicrofluidics 2013, 7, 054122. [Google Scholar] [CrossRef] [PubMed]
- Nguyen, N.T.; Shaegh, S.A.M.; Kashaninejad, N.; Phan, D.T. Design, fabrication and characterization of drug delivery systems based on lab-on-a-chip technology. Adv. Drug Deliv. Rev. 2013, 65, 1403–1419. [Google Scholar] [CrossRef] [PubMed]
- Ríos, Á.; Zougagh, M.; Avila, M. Miniaturization through lab-on-a-chip: Utopia or reality for routine laboratories? A review. Anal. Chim. Acta 2012, 740, 1–11. [Google Scholar] [CrossRef]
- Zeng, S.; Chen, C.H.; Mikkelsen, J.C., Jr.; Santiago, J.G. Fabrication and characterization of electroosmotic micropumps. Sens. Actuators B Chem. 2001, 79, 107–114. [Google Scholar] [CrossRef]
- Kaushik, P.; Abhimanyu, P.; Mondal, P.K.; Chakraborty, S. Confinement effects on the rotational microflows of a viscoelastic fluid under electrical double layer phenomenon. J. Non-Newton. Fluid Mech. 2017, 244, 123–137. [Google Scholar] [CrossRef]
- Burgreen, D.; Nakache, F.R. Electrokinetic flow in ultrafine capillary slits1. J. Phys. Chem. 1964, 68, 1084–1091. [Google Scholar] [CrossRef]
- Dutta, P.; Beskok, A. Analytical solution of combined electroosmotic/pressure driven flows in two-dimensional straight channels: Finite Debye layer effects. Anal. Chem. 2001, 73, 1979–1986. [Google Scholar] [CrossRef]
- Dutta, P.; Beskok, A.; Warburton, T.C. Electroosmotic flow control in complex microgeometries. J. Microelectromechanical Syst. 2002, 11, 36–44. [Google Scholar] [CrossRef]
- Kang, Y.; Yang, C.; Huang, X. AC electroosmosis in microchannels packed with a porous medium. J. Micromechanics Microengineering 2004, 14, 1249. [Google Scholar] [CrossRef]
- Petsev, D.N.; Lopez, G.P. Electrostatic potential and electroosmotic flow in a cylindrical capillary filled with symmetric electrolyte: Analytic solutions in thin double layer approximation. J. Colloid Interface Sci. 2006, 294, 492–498. [Google Scholar] [CrossRef] [PubMed]
- Yossifon, G.; Mushenheim, P.; Chang, Y.C.; Chang, H.C. Nonlinear current-voltage characteristics of nanochannels. Phys. Rev. E 2009, 79, 046305. [Google Scholar] [CrossRef] [PubMed]
- Ma, Y.; Xue, S.; Hsu, S.C.; Yeh, L.H.; Qian, S.; Tan, H. Programmable ionic conductance in a pH-regulated gated nanochannel. Phys. Chem. Chem. Phys. 2014, 16, 20138–20146. [Google Scholar] [CrossRef]
- Yeh, L.H.; Zhang, M.; Qian, S. Ion transport in a pH-regulated nanopore. Anal. Chem. 2013, 85, 7527–7534. [Google Scholar] [CrossRef]
- Huang, M.J.; Mei, L.; Yeh, L.H.; Qian, S. pH-Regulated nanopore conductance with overlapped electric double layers. Electrochem. Commun. 2015, 55, 60–63. [Google Scholar] [CrossRef]
- Huppler, J.D.; Ashare, E.; Holmes, J.A. Rheological properties of three solutions. Part I. Non-newtonian viscosity, normal stresses, and complex viscosity. Trans. Soc. Rheol. 1967, 11, 159–179. [Google Scholar] [CrossRef]
- Ortiz, S.L.; Lee, J.S.; Figueroa-Espinoza, B.; Mena, B. An experimental note on the deformation and breakup of viscoelastic droplets rising in non-Newtonian fluids. Rheol. Acta 2016, 55, 879–887. [Google Scholar] [CrossRef]
- Das, S.; Chakraborty, S. Analytical solutions for velocity, temperature and concentration distribution in electroosmotic microchannel flows of a non-Newtonian bio-fluid. Anal. Chim. Acta 2006, 559, 15–24. [Google Scholar] [CrossRef]
- Zimmerman, W.B.; Rees, J.M.; Craven, T.J. Rheometry of non-Newtonian electrokinetic flow in a microchannel T-junction. Microfluid. Nanofluidics 2006, 2, 481–492. [Google Scholar] [CrossRef]
- Berli, C.L.; Olivares, M.L. Electrokinetic flow of non-Newtonian fluids in microchannels. J. Colloid Interface Sci. 2008, 320, 582–589. [Google Scholar] [CrossRef] [PubMed]
- Zhao, C.; Yang, C. An exact solution for electroosmosis of non-Newtonian fluids in microchannels. J. Non-Newton. Fluid Mech. 2011, 166, 1076–1079. [Google Scholar] [CrossRef]
- Li, X.X.; Yin, Z.; Jian, Y.J.; Chang, L.; Su, J.; Liu, Q.S. Transient electro-osmotic flow of generalized Maxwell fluids through a microchannel. J. Non-Newton. Fluid Mech. 2012, 187, 43–47. [Google Scholar] [CrossRef]
- Mei, L.; Zhang, H.; Meng, H.; Qian, S. Electroosmotic flow of viscoelastic fluid in a nanoslit. Micromachines 2018, 9, 155. [Google Scholar] [CrossRef] [PubMed]
- Park, H.M.; Lee, W.M. Effect of viscoelasticity on the flow pattern and the volumetric flow rate in electroosmotic flows through a microchannel. Lab A Chip 2008, 8, 1163–1170. [Google Scholar] [CrossRef] [PubMed]
- Afonso, A.M.; Alves, M.A.; Pinho, F.T. Analytical solution of mixed electro-osmotic/pressure driven flows of viscoelastic fluids in microchannels. J. Non-Newton. Fluid Mech. 2009, 159, 50–63. [Google Scholar] [CrossRef]
- Sousa, J.J.; Afonso, A.M.; Pinho, F.T.; Alves, M.A. Effect of the skimming layer on electro-osmotic—Poiseuille flows of viscoelastic fluids. Microfluid. Nanofluidics 2011, 10, 107–122. [Google Scholar] [CrossRef]
- Dhinakaran, S.; Afonso, A.M.; Alves, M.A.; Pinho, F.T. Steady viscoelastic fluid flow between parallel plates under electro-osmotic forces: Phan-Thien–Tanner model. J. Colloid Interface Sci. 2010, 344, 513–520. [Google Scholar] [CrossRef]
- Choi, W.; Joo, S.W.; Lim, G. Electroosmotic flows of viscoelastic fluids with asymmetric electrochemical boundary conditions. J. Non-Newton. Fluid Mech. 2012, 187, 1–7. [Google Scholar] [CrossRef]
- Sarma, R.; Deka, N.; Sarma, K.; Mondal, P.K. Electroosmotic flow of Phan-Thien–Tanner fluids at high zeta potentials: An exact analytical solution. Phys. Fluids 2018, 30, 062001. [Google Scholar] [CrossRef]
- Yatvin, M.B.; Kreutz, W.; Horwitz, B.A.; Shinitzky, M. pH-sensitive liposomes: Possible clinical implications. Science 1980, 210, 1253–1255. [Google Scholar] [CrossRef] [PubMed]
- Horswill, A.R.; Stoodley, P.; Stewart, P.S.; Parsek, M.R. The effect of the chemical, biological, and physical environment on quorum sensing in structured microbial communities. Anal. Bioanal. Chem. 2007, 387, 371–380. [Google Scholar] [CrossRef] [PubMed]
- El-Ghaffar, M.A.; Hashem, M.S.; El-Awady, M.K.; Rabie, A.M. pH-sensitive sodium alginate hydrogels for riboflavin controlled release. Carbohydr. Polym. 2012, 89, 667–675. [Google Scholar] [CrossRef] [PubMed]
- Higa, S.; Suzuki, T.; Hayashi, A.; Tsuge, I.; Yamamura, Y. Isolation of catecholamines in biological fluids by boric acid gel. Anal. Biochem. 1977, 77, 18–24. [Google Scholar] [CrossRef]
- Zaporozhchenko, I.A.; Morozkin, E.S.; Skvortsova, T.E.; Bryzgunova, O.E.; Bondar, A.A.; Loseva, E.M.; Laktionov, P.P. A phenol-free method for isolation of microRNA from biological fluids. Anal. Biochem. 2015, 479, 43–47. [Google Scholar] [CrossRef]
- Wang, M.Q.; Ye, C.; Bao, S.J.; Zhang, Y.; Yu, Y.N.; Xu, M.W. Carbon nanotubes implanted manganese-based MOFs for simultaneous detection of biomolecules in body fluids. Analyst 2016, 141, 1279–1285. [Google Scholar] [CrossRef]
- Brahman, P.K.; Pandey, N.; Topkaya, S.N.; Singhai, R. Fullerene–C60–MWCNT composite film based ultrasensitive electrochemical sensing platform for the trace analysis of pyruvic acid in biological fluids. Talanta 2015, 134, 554–559. [Google Scholar] [CrossRef]
- Bollella, P.; Sharma, S.; Cass, A.E.; Tasca, F.; Antiochia, R. Minimally invasive glucose monitoring using a highly porous gold microneedles-based biosensor: Characterization and application in artificial interstitial fluid. Catalysts 2019, 9, 580. [Google Scholar] [CrossRef]
- Nandakumar, V.; Dolan, C.; Baumann, N.A.; Block, D.R. Effect of pH on the quantification of body fluid analytes for clinical diagnostic testing. Am. J. Clin. Pathol. 2019, 152 (Suppl. 1), S10–S11. [Google Scholar] [CrossRef]
- Lin, D.Q.; Fernández-Lahore, H.M.; Kula, M.R.; Thömmes, J. Minimising biomass/adsorbent interactions in expanded bed adsorption processes: A methodological design approach. Bioseparation 2001, 10, 7–19. [Google Scholar] [CrossRef]
- Hulsen, M.A.; Fattal, R.; Kupferman, R. Flow of viscoelastic fluids past a cylinder at high Weissenberg number: Stabilized simulations using matrix logarithms. J. Non-Newton. Fluid Mech. 2005, 127, 27–39. [Google Scholar] [CrossRef]
- Fattal, R.; Kupferman, R. Constitutive laws for the matrix-logarithm of the conformation tensor. J. Non-Newton. Fluid Mech. 2004, 123, 281–285. [Google Scholar] [CrossRef]
- Zhang, H.N.; Li, D.Y.; Li, X.B.; Cai, W.H.; Li, F.C. Numerical simulation of heat transfer process of viscoelastic fluid flow at high Weissenberg number by log-conformation reformulation. J. Fluids Eng. 2017, 139, 091402. [Google Scholar] [CrossRef]












© 2019 by the authors. Licensee MDPI, Basel, Switzerland. This article is an open access article distributed under the terms and conditions of the Creative Commons Attribution (CC BY) license (http://creativecommons.org/licenses/by/4.0/).
Share and Cite
Chen, D.; Li, J.; Chen, H.; Zhang, L.; Zhang, H.; Ma, Y. Electroosmotic Flow Behavior of Viscoelastic LPTT Fluid in a Microchannel. Micromachines 2019, 10, 881. https://doi.org/10.3390/mi10120881
Chen D, Li J, Chen H, Zhang L, Zhang H, Ma Y. Electroosmotic Flow Behavior of Viscoelastic LPTT Fluid in a Microchannel. Micromachines. 2019; 10(12):881. https://doi.org/10.3390/mi10120881
Chicago/Turabian StyleChen, Dilin, Jie Li, Haiwen Chen, Lai Zhang, Hongna Zhang, and Yu Ma. 2019. "Electroosmotic Flow Behavior of Viscoelastic LPTT Fluid in a Microchannel" Micromachines 10, no. 12: 881. https://doi.org/10.3390/mi10120881
APA StyleChen, D., Li, J., Chen, H., Zhang, L., Zhang, H., & Ma, Y. (2019). Electroosmotic Flow Behavior of Viscoelastic LPTT Fluid in a Microchannel. Micromachines, 10(12), 881. https://doi.org/10.3390/mi10120881
