Dynamics Behaviors of Droplet on Hydrophobic Surfaces Driven by Electric Field
Abstract
1. Introduction
2. Construction of Dynamic Model
2.1. Model Description
2.2. Two-Phase Flow Equations
2.3. Electric Field Equations
3. Results and Discussion
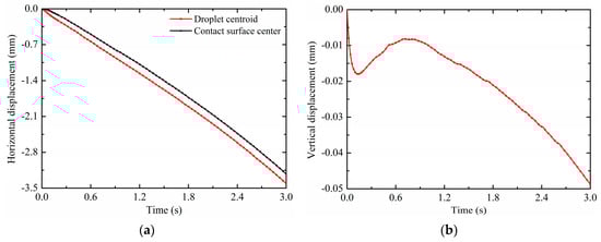
3.1. Deformation and Motion of the Droplet
3.2. Effects of the Potential
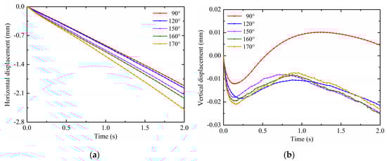
3.3. Effects of the Contact Angle
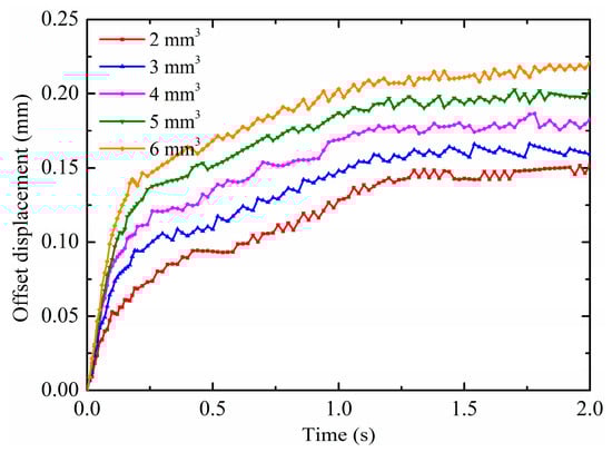
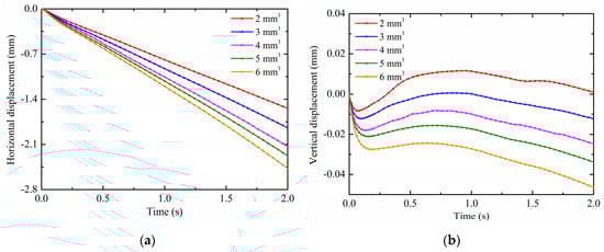
3.4. Effects of the Droplet Volume
4. Conclusions
Author Contributions
Funding
Conflicts of Interest
References
- Chen, L.; Wang, X.; Yang, T.; Ping, H.; Bennett, P.; Zheng, Z.; Yang, Q.B.; Perrie, W.; Edwardson, S.P.; Dearden, G.; et al. Superhydrophobic micro-nano structures on silicone rubber by nanosecond laser processing. J. Phys. D Appl. Phys. 2018, 51, 445301. [Google Scholar] [CrossRef]
- Li, J.; Wei, Y.; Huang, Z.; Wang, F.; Yan, X.; Wu, Z. Electrohydrodynamic behavior of water droplets on a horizontal super hydrophobic surface and its self-cleaning application. Appl. Surf. Sci. 2017, 403, 133–140. [Google Scholar] [CrossRef]
- Fürstner, R.; Barthlott, W.; Neinhuis, C.; Walzel, P. Wetting and self-cleaning properties of artificial superhydrophobic surfaces. Langmuir 2005, 21, 956–961. [Google Scholar] [CrossRef] [PubMed]
- Wang, N.; Xiong, D.S.; Li, M.T.; Deng, Y.L.; Shi, Y.; Yang, K. Superhydrophobic surface on steel substrate and its anti-icing property in condensing conditions. Appl. Surf. Sci. 2015, 355, 226–232. [Google Scholar] [CrossRef]
- Miljkovic, N.; Enright, R.; Nam, Y.; Lopez, K.; Dou, N.; Sack, J. Jumping-droplet-enhanced condensation on scalable superhydrophobic nanostructured surfaces. Nano Lett. 2013, 13, 179–187. [Google Scholar] [CrossRef]
- Ölçeroğlu, E.; Hsieh, C.Y.; Rahman, M.M.; Lau, K.K.S.; Carthy, M.M. Full-field dynamic characterization of superhydrophobic condensation on biotemplated nanostructured surfaces. Langmuir 2014, 30, 7556–7566. [Google Scholar] [CrossRef]
- Zeng, J.; Korsmeyer, T. Principles of droplet electrohydrodynamics for lab-on-a-chip. Lab. Chip 2004, 4, 265–277. [Google Scholar] [CrossRef]
- Boreyko, J.B.; Zhao, Y.; Chen, C.H. Planar jumping-drop thermal diodes. Appl. Phys. Lett. 2011, 99, 234105. [Google Scholar] [CrossRef]
- Tian, L.; Gao, M.; Gui, L. A Microfluidic Chip for Liquid Metal Droplet Generation and Sorting. Micromachines 2017, 8, 39. [Google Scholar] [CrossRef]
- Mugele, F.; Baret, J.C. Electrowetting: From basics to applications. J. Phys. Condens. Matter. 2005, 17, R705–R774. [Google Scholar] [CrossRef]
- Nam, Y.; Kim, H.; Shin, S. Energy and hydrodynamic analyses of coalescence-induced jumping droplets. Appl. Phys. Lett. 2013, 103, 161601. [Google Scholar] [CrossRef]
- Liu, X.; Cheng, P.; Quan, X. Lattice Boltzmann simulations for self-propelled jumping of droplets after coalescence on a superhydrophobic surface. Int. J. Heat Mass Tran. 2014, 73, 195–200. [Google Scholar] [CrossRef]
- Takeda, K.; Nakajima, A.; Murata, Y.; Hashimoto, K.; Watanabe, T. Control of water droplets on superhydrophobic surfaces by static electric field. Jpn. J. Appl. Phys. 2002, 41, 287–291. [Google Scholar] [CrossRef]
- Sakai, M.; Kono, H.; Nakajima, A.; Sakai, H.; Abe, M.; Fujishima, A. Water droplets’ internal fluidity during horizontal motion on a superhydrophobic surface with an external electric field. Langmuir 2010, 26, 1493–1495. [Google Scholar] [CrossRef] [PubMed]
- Zhu, Y.; Haji, K.; Otsubo, M.; Honda, C.; Hayashi, N. Electrohydrodynamic behaviour of water droplet on an electrically stressed hydrophobic surface. J. Phys. D Appl. Phys. 2016, 39, 1970. [Google Scholar] [CrossRef]
- Wei, Y.; Li, J.; Huang, Z.; Yan, X. Electrical driven rolling behavior of water droplet on a super hydrophobic surface. In Proceedings of the ICHVE International Conference on High Voltage Engineering and Application, Poznan, Poland, 8–11 September 2014; pp. 1–4. [Google Scholar]
- Adamiak, K. Capillary and electrostatic limitations to the contact angle in electrowetting-on-dielectric. Microfluid. Nanofluidics 2006, 2, 471–480. [Google Scholar] [CrossRef]
- Bacri, J.C.; Salin, D.; Massart, R. Study of the deformation of ferrofluid droplets in a magnetic field. J. Phys. Lett. 1982, 43, 179–184. [Google Scholar] [CrossRef]
- Adzima, B.J.; Velankar, S.S. Pressure drops for droplet flows in microfluidic channels. J. Micromech. Microeng. 2006, 16, 1504–1510. [Google Scholar] [CrossRef]
- Moghtadernejad, S.; Tembely, M.; Jadidi, M.; Esmail, N.; Dolatabadi, A. Shear driven droplet shedding and coalescence on a superhydrophobic surface. Phys. Fluids 2015, 27, 032106. [Google Scholar] [CrossRef]
- Moghtadernejad, S.; Mohammadi, M.; Jadidi, M.; Tembely, M.; Dolatabadi, A. Shear Driven Droplet Shedding on Surfaces with Various Wettabilities. SAE Int. J. Aerosp. 2013, 6, 459–464. [Google Scholar] [CrossRef]
- Barwari, B.; Burgmann, S.; Janoske, U. Hydrodynamic instabilities of adhering droplets due to a shear flow in a rectangular channel. Chem. Ing. Tech. 2019, 91, 991–1000. [Google Scholar] [CrossRef]
- Karsch, S.; Düsterer, S.; Schwoerer, H.; Ewald, F.; Habs, D.; Hegelich, M. High-intensity laser induced ion acceleration from heavy-water droplets. Phys. Rev. Lett. 2003, 91, 015001. [Google Scholar] [CrossRef] [PubMed]
- Rowland, S.M.; Lin, F.C. Stability of alternating current discharges between water drops on insulation surfaces. J. Phys. D Appl. Phys. 2006, 39, 3067–3076. [Google Scholar] [CrossRef]
- Nudurupati, S.; Janjua, M.; Aubry, N.; Singh, P. Concentrating particles on drop surfaces using external electric fields. Electrophoresis 2008, 29, 1164–1172. [Google Scholar] [CrossRef] [PubMed]
- Liu, Y.; Kong, X.; Wu, Y.; Du, B. Dynamic behavior of droplets and flashover characteristics for CFD and experimental analysis on SiR composites. IEEE Access 2019, 31, 052107. [Google Scholar] [CrossRef]
- Nakajima, A. Design of hydrophobic surfaces for liquid droplet control. NPG Asia Mater. 2011, 3, 49–56. [Google Scholar] [CrossRef]
- Li, J.; Wei, Y.; Huang, Z.; Wang, F.; Yan, X.Z. Investigation of the electric field driven self-propelled motion of water droplets on a superhydrophobic surface. IEEE Trans. Dielect. Electr. Insul. 2016, 23, 3007–3015. [Google Scholar] [CrossRef]
- Bansal, L.; Sanyal, A.; Kabi, P.; Pathak, B.; Basu, S. Engineering interfacial processes at mini-micro-nano scales using sessile droplet architecture. Langmuir 2018, 34, 8423–8442. [Google Scholar] [CrossRef]
- Lin, Y. Two-phase electro-hydrodynamic flow modeling by a conservative level set model. Electrophoresis 2013, 34, 736–744. [Google Scholar] [CrossRef]
- Barman, J.; Shao, W.; Tang, B.; Yuan, D.; Groenewold, J.; Zhou, G.F. Wettability manipulation by interface-localized liquid dielectrophoresis: Fundamentals and applications. Micromachines 2019, 10, 329. [Google Scholar] [CrossRef]
- Zhou, T.; Yeh, L.H.; Li, F.C.; Mauroy, B.; Joo, S.W. Deformability-based electrokinetic particle separation. Micromachines 2016, 7, 170. [Google Scholar] [CrossRef] [PubMed]
- Du, W.; Chaudhuri, S. A multiphysics model for charged liquid droplet breakup in electric fields. Int. J. Multiph. Flow 2017, 90, 46–56. [Google Scholar] [CrossRef]
- Taylor, G.I. The Viscosity of a fluid containing small drops of another fluid. Proc. R. Soc. Lond. Ser. A 1932, 138, 41–48. [Google Scholar] [CrossRef]
- Vlahovska, P.M. Electrohydrodynamics of Drops and Vesicles. Annu. Rev. Fluid Mech. 2019, 51, 305–330. [Google Scholar] [CrossRef]
- Ji, X.; Xu, L.; Zhou, T.; Shi, L.; Deng, Y.; Li, J. Numerical investigation of DC dielectrophoretic deformable particle–particle interactions and assembly. Micromachines 2018, 9, 260. [Google Scholar] [CrossRef] [PubMed]













| Parameter | Symbol | Value | Units |
|---|---|---|---|
| Plate electrode potential | V− | 0 | kV |
| Pin electrode potential | V+ | 0–20 | kV |
| Droplet volume | Z | 2–6 | mm3 |
| Droplet contact angle | θ | 90–170 | ° |
| Length of air domain | L | 20 | mm |
| Height of air domain | H | 8 | mm |
| Permittivity of vacuum | ε0 | 8.85 × 10−12 | F/m |
| Acceleration of gravity | g | 9.81 | m2/s |
| Density of water | ρ1 | 998 | kg/m3 |
| Dynamic viscosity of water | μ1 | 0.001 | Pa·s |
| Relative permittivity of water | ε1 | 80 | - |
| Conductivity of water | σ1 | 1 × 10−5 | S/m |
| Density of oil | ρ2 | 884 | kg/m3 |
| Dynamic viscosity of oil | μ2 | 0.474 | Pa·s |
| Relative permittivity of oil | ε2 | 2.2 | - |
| Conductivity of oil | σ2 | 1 × 10−4 | S/m |
| Surface tension | α | 0.03 | N/m |
| θ (°) | 90 | 120 | 150 | 160 | 170 |
|---|---|---|---|---|---|
| R (mm) | 1.2407 | 1.0421 | 0.9890 | 0.9856 | 0.9848 |
| Z (mm3) | 2 | 3 | 4 | 5 | 6 |
|---|---|---|---|---|---|
| R (mm) | 0.7850 | 0.8986 | 0.9890 | 1.0654 | 1.1321 |
© 2019 by the authors. Licensee MDPI, Basel, Switzerland. This article is an open access article distributed under the terms and conditions of the Creative Commons Attribution (CC BY) license (http://creativecommons.org/licenses/by/4.0/).
Share and Cite
Liu, J.; Liu, S. Dynamics Behaviors of Droplet on Hydrophobic Surfaces Driven by Electric Field. Micromachines 2019, 10, 778. https://doi.org/10.3390/mi10110778
Liu J, Liu S. Dynamics Behaviors of Droplet on Hydrophobic Surfaces Driven by Electric Field. Micromachines. 2019; 10(11):778. https://doi.org/10.3390/mi10110778
Chicago/Turabian StyleLiu, Jie, and Sheng Liu. 2019. "Dynamics Behaviors of Droplet on Hydrophobic Surfaces Driven by Electric Field" Micromachines 10, no. 11: 778. https://doi.org/10.3390/mi10110778
APA StyleLiu, J., & Liu, S. (2019). Dynamics Behaviors of Droplet on Hydrophobic Surfaces Driven by Electric Field. Micromachines, 10(11), 778. https://doi.org/10.3390/mi10110778
