A Modified Duhem Model for Rate-Dependent Hysteresis Behaviors
Abstract
1. Introduction
2. Classical Duhem Model (CDM)
3. Modified Duhem Model (MDM)
- (1)
- Data collection: Experimental data including output displacements and input voltages for piezoelectric actuators were obtained and recorded.
- (2)
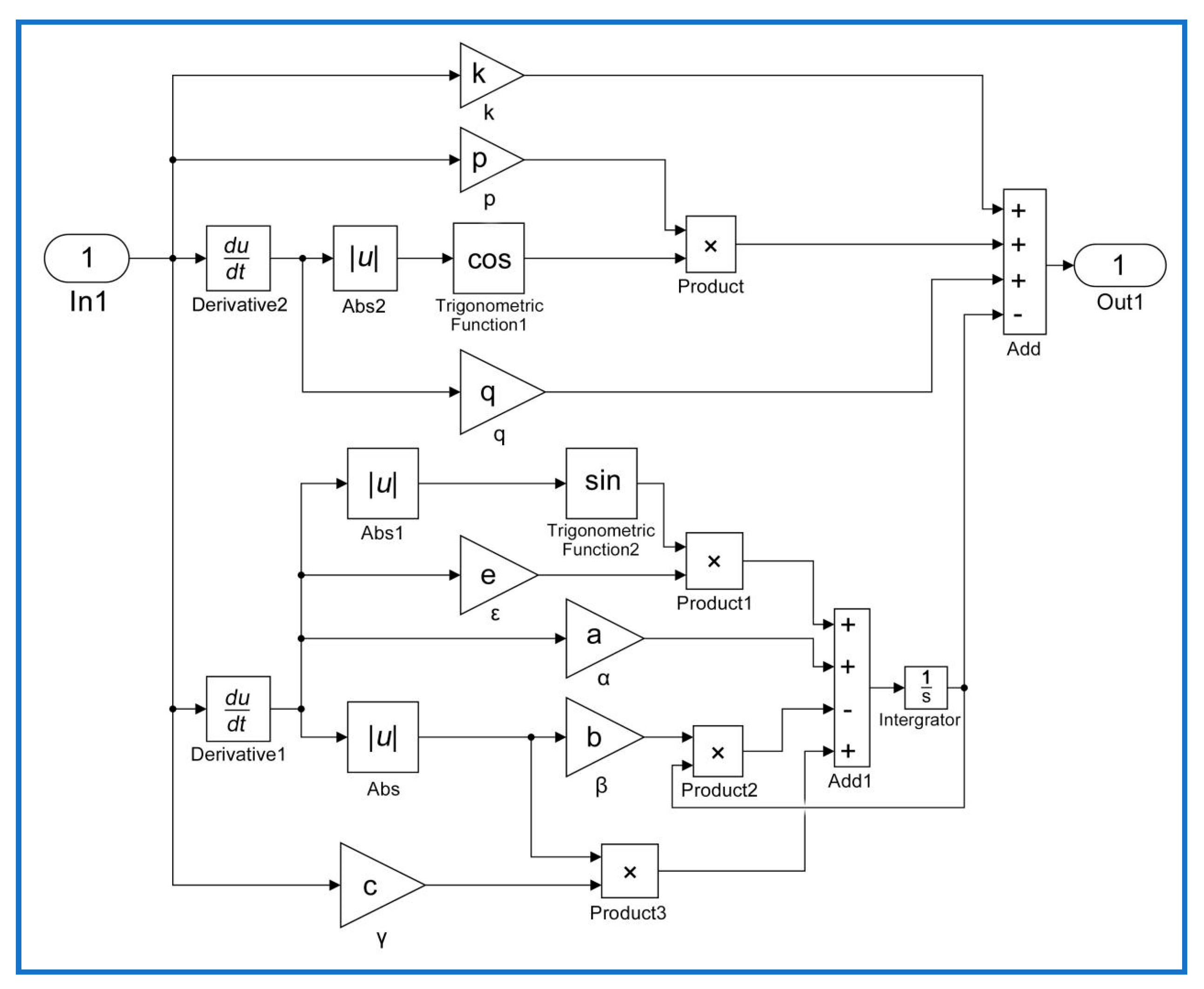
- Model implementation: Classical and modified Duhem models were implemented using the MATLAB/Simulink blocks as shown in Figure 3 and Figure 4, respectively. In these figures, block In1 represents the input voltage and block Out1 represents the output displacement predicted by the CDM or MDM. Equations (8) and (9) are expressed using MATLAB/Simulink blocks.
- (3)
- Parameter estimation: The trust-region-reflective algorithm was used to identify the parameters of hysteresis models based on experimental data.
- (4)
- Validation: Comparison of the measured and simulation results predicted by hysteresis models were shown, and the corresponding modeling errors were obtained.
4. Experimental Results
4.1. Experiment Setup
- (1)
- Building the experimental platform: Connecting all the devices as shown in Figure 5;
- (2)
- Model implementation: Constructing the input excitation signals and designing the control system for the piezoelectric ceramic actuators by using the MATLAB/Simulink blocks;
- (3)
- Experiment start: Actuating piezoelectric ceramic actuators by using control desk 5.0-dSPACE;
- (4)
- Data collection: Obtaining and recording experimental data including output displacements and input voltages for piezoelectric actuators.
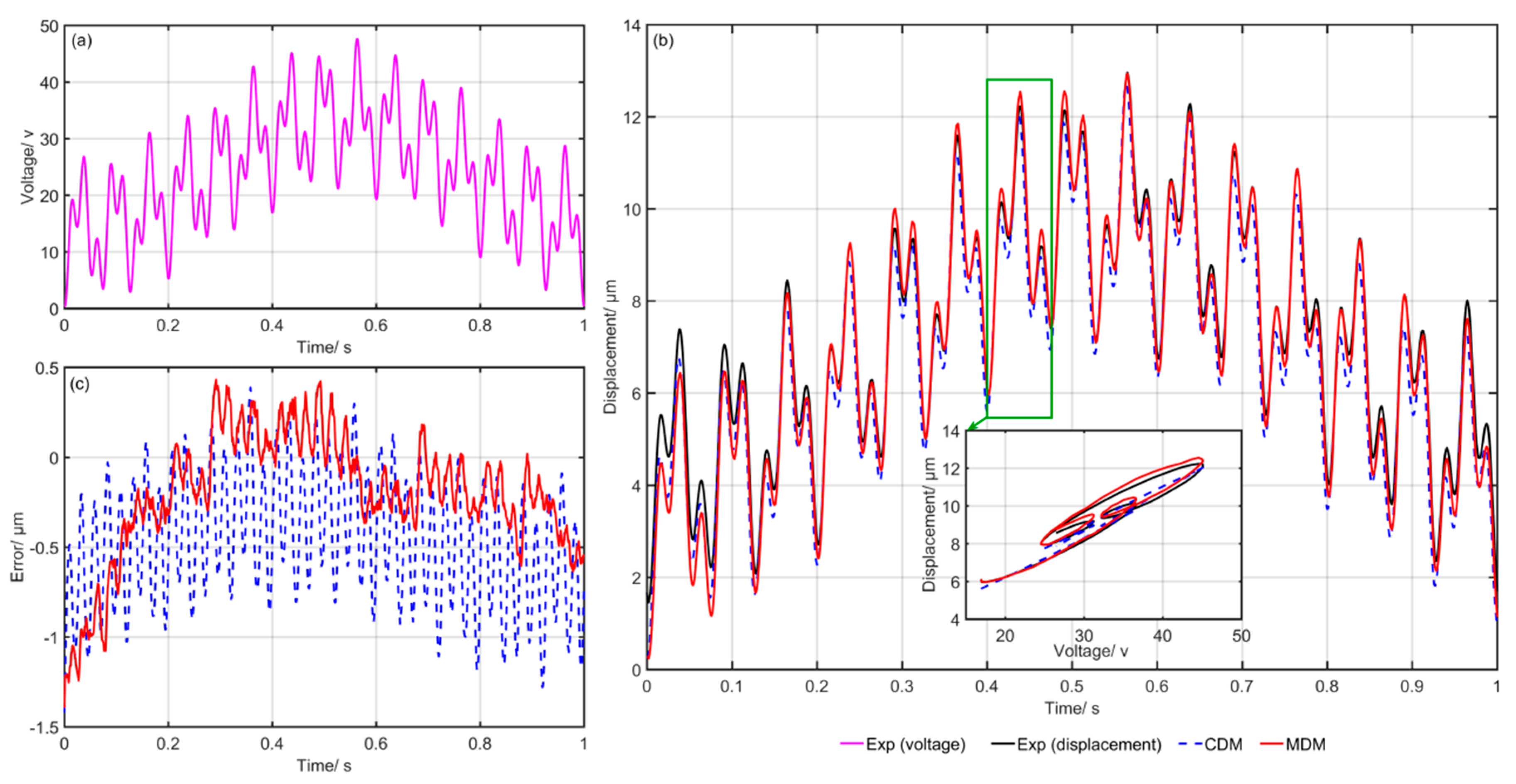
4.2. Experiment Results and Discussion
5. Conclusions
Author Contributions
Funding
Conflicts of Interest
References
- Aggogeri, F.; Al-Bender, F.; Brunner, B.; Elsaid, M.; Mazzola, M.; Merlo, A.; Ricciardi, D.; Rodriguez, M.D.L.O.; Salvi, E. Design of piezo-based AVC system for machine tool applications. Mech. Syst. Signal Process. 2013, 36, 53–65. [Google Scholar] [CrossRef]
- Grossard, M.; Rotinat-Libersa, C.; Chaillet, N.; Boukallel, M. Mechanical and control-oriented design of a monolithic piezoelectric microgripper using a new topological optimization method. IEEE/ASME Trans. Mechatron. 2009, 14, 32–45. [Google Scholar] [CrossRef]
- Song, C.; Prasad, G.; Chan, K.; V, M. Characterization and optimization of illumination translation vector for dimensional parameters measurement of surface form and feature using DSPI. Rev. Sci. Instrum. 2016, 87, 63116. [Google Scholar] [CrossRef] [PubMed]
- Haridas, A.; Song, C.; Chan, K.; Murukeshan, V.M. Nondestructive characterization of thermal damages and its interactions in carbon fibre composite panels. Fatigue Fract. Eng. M 2017, 40, 1562–1580. [Google Scholar] [CrossRef]
- Gan, J.; Zhang, X. A review of nonlinear hysteresis modeling and control of piezoelectric actuators. AIP Adv. 2019, 9, 40702. [Google Scholar] [CrossRef]
- Mayergoyz, I.D.; Friedman, G. Generalized Preisach model of hysteresis. IEEE Trans. Magn. 1988, 24, 212–217. [Google Scholar] [CrossRef]
- Song, G.; Zhao, J.Q.; Zhou, X.Q.; de Abreu-Garcia, J.A. Tracking control of a piezoceramic actuator with hysteresis compensation using inverse Preisach model. IEEE/ASME Trans. Mechatron. 2005, 10, 198–209. [Google Scholar] [CrossRef]
- U-Xuan, T.; Win, T.L.; Cheng, Y.S.; Riviere, C.N.; Wei, T.A. Feedforward controller of ill-conditioned hysteresis using singularity-free Prandtl–Ishlinskii model. IEEE/ASME Trans. Mechatron. 2009, 14, 598–605. [Google Scholar] [CrossRef]
- Tan, U.X.; Win, T.L.; Ang, W.T. Modeling piezoelectric actuator hysteresis with singularity free Prandtl–Ishlinskii model. In Proceedings of the 2006 IEEE International Conference on Robotics and Biomimetics, Kunming, China, 17–20 December 2006. [Google Scholar]
- Goldfarb, M.; Celanovic, N. Modeling piezoelectric stack actuators for control of micromanipulation. IEEE Control Syst. 1997, 17, 69–79. [Google Scholar]
- Tri, V.M.; Tjahjowidodo, T.; Ramon, H.; Van Brussel, H. A new approach to modeling hysteresis in a pneumatic artificial muscle using the Maxwell-slip model. IEEE/ASME Trans. Mechatron. 2011, 16, 177–186. [Google Scholar]
- Ru, C.H.; Sun, L.N. Hysteresis and creep compensation for piezoelectric actuator in open-loop operation. Sensor Actuat. A Phys. 2005, 122, 124–130. [Google Scholar]
- Changhai, R.; Lining, S. Improving positioning accuracy of piezoelectric actuators by feedforward hysteresis compensation based on a new mathematical model. Rev. Sci. Instrum. 2005, 76, 95111. [Google Scholar]
- Zhu, W.; Wang, D.H. Non-symmetrical Bouc–Wen model for piezoelectric ceramic actuators. Sensor Actuat. A Phys. 2012, 181, 51–60. [Google Scholar] [CrossRef]
- Gan, J.; Zhang, X. An enhanced Bouc–Wen model for characterizing rate-dependent hysteresis of piezoelectric actuators. Rev. Sci. Instrum. 2018, 89, 115002. [Google Scholar] [CrossRef] [PubMed]
- Dahl, P.R. A solid friction model. In Proceedings of the Technical Report Tor-0158(3107-18)-1, The Aerospace Corporation, EI Segundo, CA, USA, 1968. [Google Scholar]
- Xu, Q.; Li, Y. Dahl model-based hysteresis compensation and precise positioning control of an XY parallel micromanipulator with piezoelectric actuation. J. Dyn. Syst. Meas. Control 2010, 132, 041011. [Google Scholar] [CrossRef]
- Shome, S.K.; Prakash, M.; Mukherjee, A.; Datta, U. Dither control for dahl model based hysteresis compensation. In Proceedings of the 2013 IEEE International Conference on Signal Processing, Computing and Control (ISPCC), Solan, India, 26–28 September 2013. [Google Scholar]
- Chen, H.; Tan, Y.; Zhou, X.; Dong, R.; Zhang, Y. Identification of dynamic hysteresis based on Duhem model. In Proceedings of the 2011 International Conference on Intelligent Computation Technology and Automation (ICICTA), Shenzhen, China, 28–29 March 2011. [Google Scholar]
- Feng, Y.; Rabbath, C.A.; Chai, T.; Su, C. Robust adaptive control of systems with hysteretic nonlinearities: A Duhem hysteresis modelling approach. In Proceedings of the AFRICON 2009, Nairobi, Kenya, 23–25 September 2009. [Google Scholar]
- Padthe, A.K.; Oh, J.; Bernstein, D.S. Counterclockwise dynamics of a rate-independent semilinear Duhem model. In Proceedings of the 44th IEEE Conference on Decision and Control, Seville, Spain, 15 December 2005. [Google Scholar]
- Zhou, M.; Wang, J. Research on hysteresis of piezoceramic actuator based on the Duhem model. Sci. World J. 2013, 2013, 1–6. [Google Scholar] [CrossRef] [PubMed]
- Lin, C.; Lin, P. Tracking control of a biaxial piezo-actuated positioning stage using generalized Duhem model. Comput. Math. Appl. 2012, 64, 766–787. [Google Scholar] [CrossRef]
- Wang, X.; Wang, X.; Mao, Y. Hysteresis compensation in GMA actuators using Duhem model. In Proceedings of the 2008 7th World Congress on Intelligent Control and Automaiton, Chongqing, China, 25–27 June 2008. [Google Scholar]
- Xie, W.; Fu, J.; Yao, H.; Su, C.Y. Observer based control of piezoelectric actuators with classical Duhem modeled hysteresis. In Proceedings of the 2009 American Control Conference, St. Louis, MO, USA, 10–12 June 2009. [Google Scholar]
- Al Janaideh, M.; Su, C.Y.; Rakheja, S. Development of the rate-dependent Prandtl–Ishlinskii model for smart actuators. Smart Mater. Struct. 2008, 17, 035026. [Google Scholar] [CrossRef]
- Gu, G.Y.; Zhu, L.M. Modeling of rate-dependent hysteresis in piezoelectric actuators using a family of ellipses. Sensor Actuat. A Phys. 2011, 165, 303–309. [Google Scholar] [CrossRef]
- Oh, J.; Bernstein, D.S. Semilinear Duhem model for rate-independent and rate-dependent hysteresis. IEEE Trans. Automat. Contr. 2005, 50, 631–645. [Google Scholar]
- Coleman, B.D.; Hodgdon, M.L. A constitutive relation for rate-independent hysteresis in ferromagnetically soft materials. Int. J. Eng. Sci. 1986, 24, 897–919. [Google Scholar] [CrossRef]
- Gu, G.; Yang, M.; Zhu, L. Real-time inverse hysteresis compensation of piezoelectric actuators with a modified Prandtl–Ishlinskii model. Rev. Sci. Instrum. 2012, 83, 65106. [Google Scholar] [CrossRef] [PubMed]
- Ming, M.; Feng, Z.; Ling, J.; Xiao, X. Hysteresis modelling and feedforward compensation of piezoelectric nanopositioning stage with a modified Bouc–Wen model. Micro Nano Lett. 2018, 13, 1170–1174. [Google Scholar] [CrossRef]
- Wang, G.; Chen, G. Identification of piezoelectric hysteresis by a novel Duhem model based neural network. Sensor Actuat. A Phys. 2017, 264, 282–288. [Google Scholar] [CrossRef]
- Gan, J.; Zhang, X. Nonlinear hysteresis modeling of piezoelectric actuators using a generalized Bouc–Wen model. Micromachines 2019, 10, 183. [Google Scholar] [CrossRef]











| Material | PZT |
|---|---|
| Nominal stroke (μm) ±15% | 60 |
| Stiffness (N/μm) ±20% | 15 |
| Length (mm) ±0.3 | 64 |
| Nominal thrust/tension (N) | 1800/300 |
| Electrical capacitance (μF) ±20% | 5.4 |
| Resonant frequency (kHz) | 15 |
| Stiffness (N/μm) ±20% | 15 |
| Parameters | CDM | MDM |
|---|---|---|
| 0.39854 | 0.46992 | |
| 0.18695 | 0.24599 | |
| 0.049939 | 0.016074 | |
| 0.0056835 | 0.0027751 | |
| \ | −0.030389 | |
| \ | −0.00072364 | |
| \ | −0.00035258 |
| Experiment | CDM | MDM | Optimization Ratio | ||
|---|---|---|---|---|---|
| (%) | |||||
| Exp1: | 0.3789 | 3.1 | 0.2467 | 1.96 | 34.89 |
| Exp2: | 0.5845 | 4.6 | 0.4008 | 3.1 | 31.43 |
| Exp3: | 0.2166 | 2.84 | 0.1187 | 1.56 | 45.20 |
| Exp4: | 0.1426 | 3.6 | 0.0916 | 1.2 | 35.76 |
| Exp5: | 0.3313 | 15.94 | 0.2899 | 13.95 | 12.50 |
| Exp6: | 0.3868 | 18.86 | 0.3325 | 16.21 | 14.04 |
© 2019 by the authors. Licensee MDPI, Basel, Switzerland. This article is an open access article distributed under the terms and conditions of the Creative Commons Attribution (CC BY) license (http://creativecommons.org/licenses/by/4.0/).
Share and Cite
Gan, J.; Mei, Z.; Chen, X.; Zhou, Y.; Ge, M.-F. A Modified Duhem Model for Rate-Dependent Hysteresis Behaviors. Micromachines 2019, 10, 680. https://doi.org/10.3390/mi10100680
Gan J, Mei Z, Chen X, Zhou Y, Ge M-F. A Modified Duhem Model for Rate-Dependent Hysteresis Behaviors. Micromachines. 2019; 10(10):680. https://doi.org/10.3390/mi10100680
Chicago/Turabian StyleGan, Jinqiang, Zhen Mei, Xiaoli Chen, Ye Zhou, and Ming-Feng Ge. 2019. "A Modified Duhem Model for Rate-Dependent Hysteresis Behaviors" Micromachines 10, no. 10: 680. https://doi.org/10.3390/mi10100680
APA StyleGan, J., Mei, Z., Chen, X., Zhou, Y., & Ge, M.-F. (2019). A Modified Duhem Model for Rate-Dependent Hysteresis Behaviors. Micromachines, 10(10), 680. https://doi.org/10.3390/mi10100680

