Pyrrolizidine Alkaloids in Foods, Herbal Drugs, and Food Supplements: Chemistry, Metabolism, Toxicological Significance, Analytical Methods, Occurrence, and Challenges for Future
Abstract
1. Introduction
2. Pyrrolizidine Alkaloids
2.1. Data Sources and Search Strategy
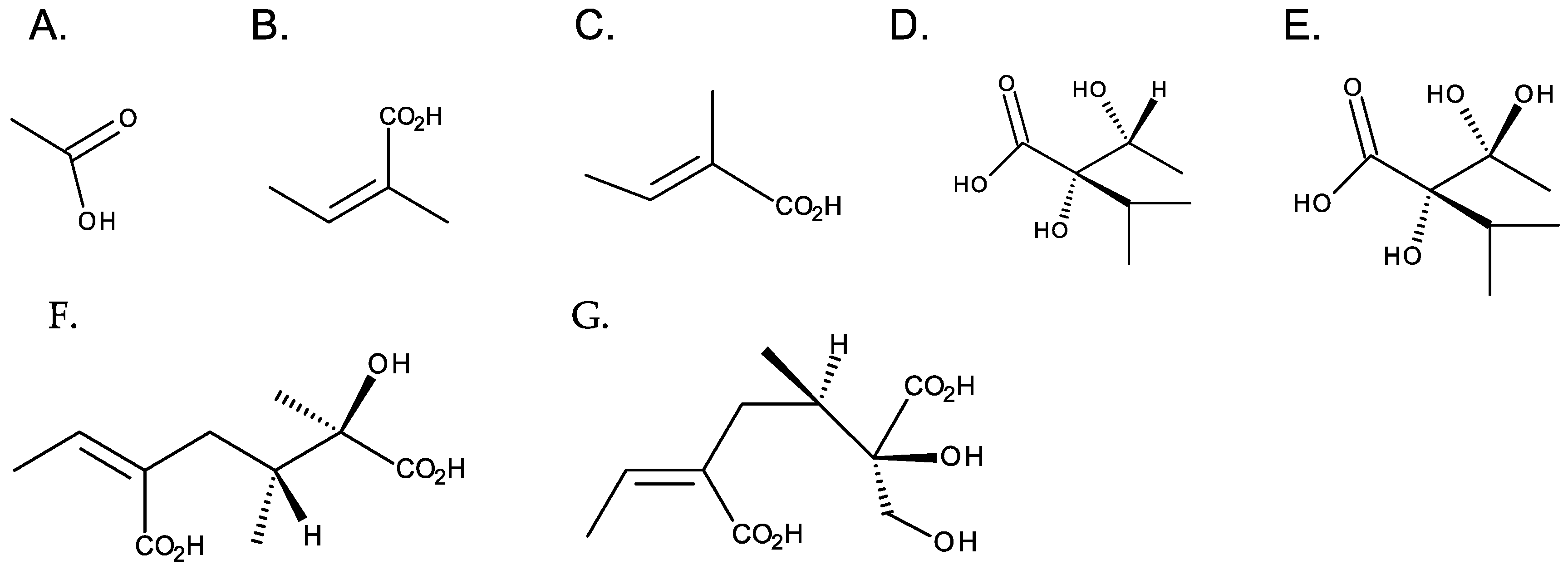
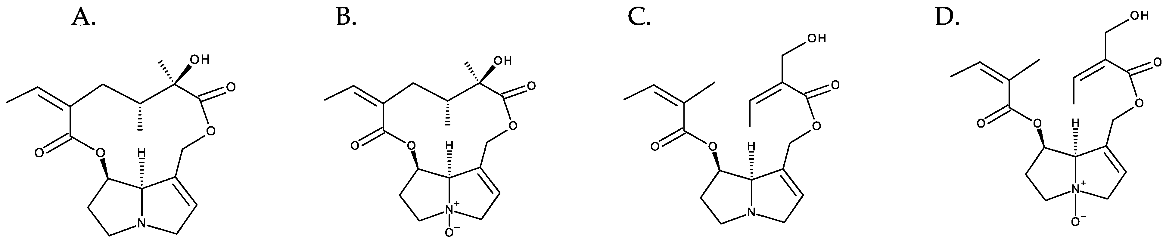
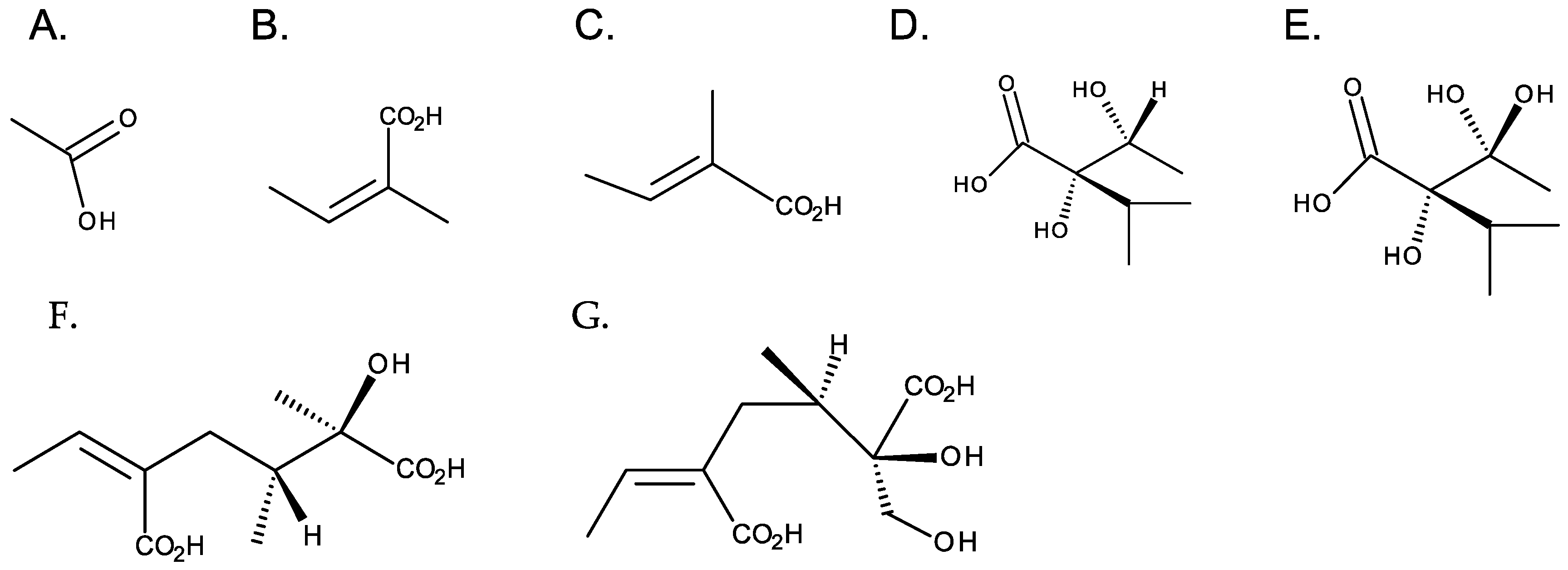
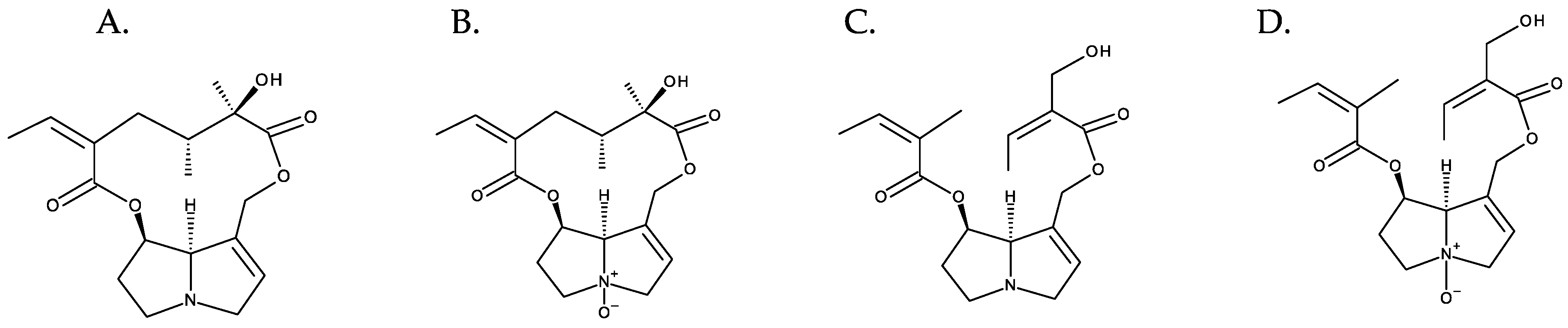
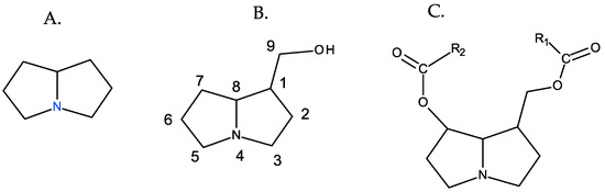
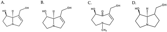
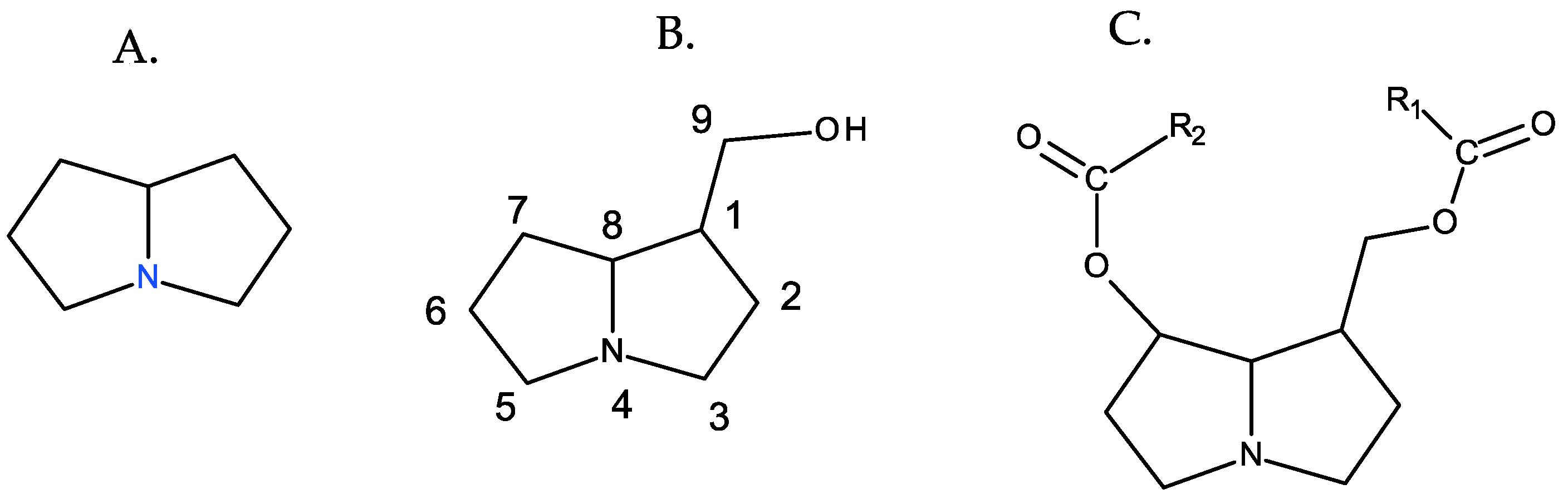
2.2. Chemistry of PAs
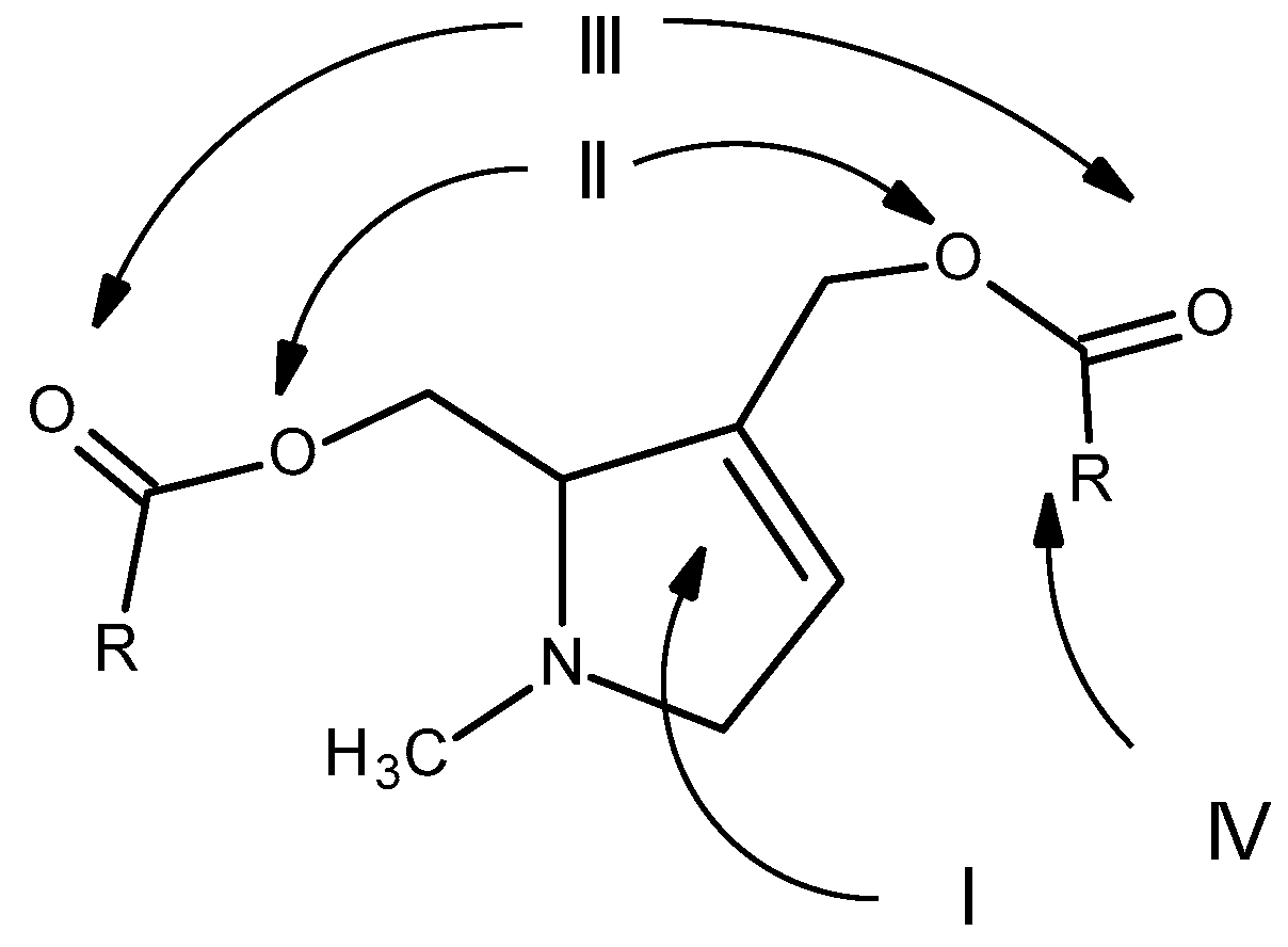
2.3. Metabolism and Toxicity of PAs
- Hydrolysis of the ester groups to form the necine base and the corresponding necic acids.
- N-oxidation, for conversion to PANOs.
- Hydrolysis of the ester groups to form the corresponding necine bases and necic acids.
3. Legal Framework of PAs
4. Analytical Methods for Determining PAs
4.1. Sampling
4.2. Extraction and Clean-Up Procedures
| Type of Sample | Number of Samples | Number of PAs/PANOs | Extraction Conditions | Sample Preparation Procedure | Sampling Period | Recovery (%) | Range of PAs Content Found (µg/kg) | Ref. |
|---|---|---|---|---|---|---|---|---|
| Food Supplements | 191 | Dry Samples: Sonication with 20 mL H2SO4 0.05 M Oil Samples: Shaking with 15 mL H2SO4 0.05 M | SPE—C18 eluted with 5 mL MeOH; Filtered PCX—SPE eluted with 5 mL 2.5% ammonia in MeOH; Reconstituted with 1 mL MeOH/H2O (5/95, v/v); Filtered | January 2014–April 2015 | 72–122 | <LOD—2410275 | [56] | |
| Spices, Tea, Herbals Teas (Tea Infusion and Ice-Tea beverages) | 218 | 30 | Dry Samples: 15 mL MeOH + 0.1% FA Infusion Extracts: Infusion with boiling H2O; | Dry Samples: SPE with graphitized non-porous carbon; Reconstituted with 1 mL H2O/MeOH (80:20). Infusion Extracts and Iced Tea beverages: Basified pH 9–10 with ammonia 28–30%; SPE—C18 eluted with MeOH; Reconstituted with 1 mL H2O/MeOH (80:20) | n.d. | 70–120 | Dry Samples: Range: <LOD—187151 Infusion Samples: Range: <LOD—2106 | [63] |
| Teas and Herbal Teas | 18 | 44 | 25 mL H2SO4 in H2O | PCX—SPE elute with 10 mL 5% ammoniated MeOH | n.d. | 52–152 | Range: 0.1–47.9 | [66] |
| Teas Herbal Medicines | 5 8 | 54 | Infusion with boiling H2O; 20 mL 1% FA in H2O | SPE eluted with 6 mL MeOH; Reconstituted with 10% MeOH; | n.d. | 73–107 | Teas: Range: 30.7–1120 Herbal Medicines: <LOQ—7883 | [58] |
| Teas | 50 | 29 | 30 mL H2SO4 0.005 M; Ultrasonics; | SCX cartridges eluted with 10 mL acetate, MeOH, ACN, ammonia solution and triethylamine (8:1:1:0.3:0.1, v/v); Reconstituted with MeOH and LiAlH4 in THF; Added Dichloromethane and 10% sodium hydroxide; Derivatization; | n.d. | 75.1–86.8 | Range: 2–6498 Mean: 455 | [67] |
| Spices and Culinary Herbs | 305 | 44 | 40 mL H2SO4 0.05 mM | PCX—SPE eluted with 10 mL 5% ammoniated methanol; Filtered | 2014–2017 | 50–119 | Range: 0.1–24,600 Mean: 0.9 | [68] |
| Food Supplements | 50 | 44 | Dry samples: 40 mL 0.05 mM H2SO4 in H2O; Liquid Forms: Lyophilized and reconstituted with 40 mL H2SO4 0.05 mM in H2O Oily capsule content: 20 mL H2SO4 0.05 mM in MeOH | SPE | June–July 2018 | Solid samples: 0.1–105.1 Liquid Forms: 0.03–2.20 | [62] | |
| Peppermint, Chamomile, Nettle and Linden | 50 | 30 | 10 mL H2O followed by 10 mL 0.1% FA in ACN | Ultrasound- Assisted QuEChERS Partition Salts: MgSO4, NaCl, TSCDH, DSHCSH 4:1:1:0.5 Clean-UP: Graphene; Filtered | n.d. | 61–128 | Range: 8–41 Mean: n.d. | [69] |
| Oregano | 23 | 21 | 1 mL H2O followed by 1 mL ACN | µ-QuEChERS Partition Salts: MgSO4, NaCl, TSCDH, DSHCSH 4:1:1:0.5 Clean-Up: dSPE with MgSO4 and PSA; Filtered | n.d. | 77–96 | Range: 334–6375 Mean: 1254 | [61] |
| Herbal Tea and Oregano | 33 | 10 mL MeOH:H2O:FA (60:39.6:0.4, v/v/v) | dSPE; Centrifugation | n.d. | Herbal Tea: 80–106 Oregano: 78–117 | [59] | ||
| Teas, Herbal Teas and Iced Tea Beverages | 10 | 37 | Infusion with boiling H2O; Extracted with 0.05 M H2SO4 (3 times) | PCX -SPE eluted with 8.5 mL NH3 in MeOH (1.5%, v/v); Evaporation; Dissolved in MeOH/H2O/FA (5:95:0.1%, v/v, v) | 2013–2020 | 70–120 | Range: 154–2412 Mean: 422 | [64] |
| Teas (Black, Green, Dark and Chrysanthemum) | 385 | 14 | Centrifugation with 10 mL 0.1 M H2SO4 | PCX—SPE eluted with 4 mL MeOH with 0.5% MH4OH; Filtered | n.d. | 68.6–110.2 | Range: <LOQ–151.33 Mean: n.d. | [46] |
| Teas | 290 | 21 | Shaking with 40 mL 0.05 M H2SO4 in 50% MeOH solution | MCX—SPE eluted with 4 mL H2O and 4 mL 2.5% NH3 in MeOH; Dissolved with 1 mL MeOH; Filtered | March–September 2017 | 86.72–101.44 | Range: 2–1880 Mean: 230 | [47] |
| Herbal Infusions (Mallow, Calendula and Hibiscus) | 9 | 21 | Infusion with 200 mL boiling H2O; Filtered | μSPEed | n.d. | 79–97 | Infusion Samples: Range: 23–113 µg/L Mean: n.d. Dry Samples: Range: 920–4520 µg/L Mean: n.d. | [57] |
| Tea and Herbs Infusions | 11 | 28 | 30 mL ACN:H2O (75:25, v/v) with 0.5% FA | QuEChERs Partition Salts: MgSO4, CH3COONa Clean-UP: dSPE with MgSO4, PSA, C18, GCB; Reconstitution with H2O:MeOH (95:5, v/v) with 0.1% FA; Filtered | n.d | 87–111 | Range: 0.2–2.6 Mean: n.d. | [52] |
| Herbal Beverage | 20 | 7 | 5 mL ACN | QuEChERs Partition Salts: NaCl Clean-UP: SPE with PSA; Dissolved with 0.5 mL ACN/H2O (5/95, v/v) | n.d | 60.6–120.1 | n.d | [59] |
| Aromatic Herbs (Rosemary, Basil, Thyme and Herbs de Provence) | 17 | 21 | 1 mL H2O followed by 1 mL ACN: Re-Extracted with 0.5 mL ACN before Clean-Up | µ-QuEChERs Partition Salts: MgSO4, NaCl, TSCDH, DSHCSH 4:1:1:0.5; Clean-Up: MgSO4 and LP-MS-NH2; Filtered | n.d | 73–105 | Range: 49–553 Mean: 262 | [70] |
| Borage | 6 | 22 | Sonication with H2SO4 in aqueous solution; Ultrasonication Bath; Centrifugation | SPE; Dry with N; Dissolved with MeOH:H2O (5/95, v/v); Filtration | n.d | 85–121 | Range: 87–8165 Mean: n.d. | [65] |
| Herbal Infusions | 60 (Mixed Plants) 25 (Rooibos, Anise, Lemon Balm, Thyme, Peppermint, Lemon Verbena and Mixtures) | 28 | Infusion with H2O; Filtration | SALLE; Dissolved in 200 µL of H2O/MeOH 7:3 v/v | 2019–2021 | 63–117 | 8.4.1. Range: 865–218,382 Mean: 14,025 8.4.2. Range: 6.5–97.7 Mean: 44 | [55] |
| Teas | 51 (Camellia sinensis and flavoured teas) | 28 | Infusion with H2O; Filtration | SALLE; Dissolved in 200 µL of H2O/MeOH 7:3 v/v | 2019–2021 | 63–117 | Range: 6.9–415.7 Mean: n.d. | [55] |
| Food Supplements | 73 (Plant—based)—41 as solid forms; 8 as syrups/liquid forms | 28 | Solid Forms: SLE With 0.05 M H2SO4; Centrifugated Syrups and Liquid Forms: Dilution with H2O | Solid Forms: SALLE; Dissolved in 250 µL of H2O/MeOH 7:3 v/v. | 2019–2021 | 63–117 | _ | [55] |
| Teas and Herbal Infusion Dietary Supplements | 152 52 | 28 | Infusion with 150 mL of boiling H2O; Filtered Solid Forms: 10 mL H2SO4 0.05 M followed by sonication; Syrups and Liquid Forms: Dilution with H2O | SALLE with 1 M of MgSO4·7H2O, 1.5 M Na2SO4 and pH 9.6; Reextracted with ACN; Redissolved with H2O/MeOH (7:3, v/v) | n.d. | 69–113 | - | [71] |
4.3. Analytical Methods
5. PAs Contamination in Food Supplements and Dried Plants
6. Conclusions: Challenges and Future Perspectives
Author Contributions
Funding
Institutional Review Board Statement
Informed Consent Statement
Data Availability Statement
Acknowledgments
Conflicts of Interest
Abbreviations
| ACN | Acetonitrile |
| APCI-MS | Atmospheric-pressure chemical ionization mass spectrometry |
| BfR | German Federal Institute for Risk Assessment |
| C18 | octadecyl bonded silica |
| CONTAM | Scientific Panel on Contaminants in the Food Chain |
| CYP450 | cytochrome P450 monooxygenase |
| DAD | diode array detection |
| DHP | reactive intermediates pyrolytic esters |
| DHPAs | dehydropyrrolizidine alkaloids |
| DNA | Deoxyribonucleic acid |
| DSHCSH | disodium hydrogen citrate sesquihydrate |
| dSPE | dispersive solid phase ex-traction |
| EC | European Commission |
| EEE | European Economic Area |
| EFSA | European Food Safety Authority |
| EFTA | European Free Trade Association |
| EMA | European Medicines Agency |
| ESI | electrospray ionization |
| EU | European Union |
| FA | Formic Acid |
| GC | Gas Chromatography |
| GCB | graphitized carbon black |
| HPLC | High performance liquid chromatography |
| HRMS | High-Resolution Mass Spectrometers |
| HSOS | Sinusiodal Obstruction Syndrome |
| HVOD | Hepatic Veno-Occlusive Disease |
| IARC | International Agency for Research on Cancer |
| LC | Liquid Chromatography |
| LOD | Limit of Detection |
| LOQ | Limit of Quantification |
| MCX | Mixed-mode Cation Exchange |
| MeOH | Methanol |
| MP | Mobile Phase |
| MRM | Multiple Reaction Monitoring |
| MS | Mass Spectrometry |
| PA | Pyrrolizidine Alkaloid |
| PANOs | Pyrrolizidine Alkaloid N-oxide |
| PCX | Polymeric Cation Exchange |
| PSA | Primary Secondary Amine |
| QqQ | Triple Quadrupole |
| QuEChERS | Quick, Easy, Chip, Effective, Rugged and Safe |
| RASFF | Rapid Alert System for Food and Feed |
| RP | Reverse Phase |
| SALLE | Salting-out Assisted Liquid–Liquid Extraction |
| SCX | Strong Cation Exchange |
| SLE | Solid-Liquid Extraction |
| SPE | Solid-Phase Extraction |
| THF | Tetrahydrofuran |
| ToF | Time-of-Flight |
| TQ | Triple Quadrupole |
| TSCDH | Trisodium Citrate Dihydrate |
| UHPLC | Ultra-high-performance liquid chromatography |
| UPLC | Ultra-Performance Liquid Chromatography |
| UV | Ultraviolet |
| WHO | World Health Organization |
References
- Schramm, S.; Köhler, N.; Rozhon, W. Pyrrolizidine Alkaloids: Biosynthesis, Biological Activities and Occurrence in Crop Plants. Molecules 2019, 24, 498. [Google Scholar] [CrossRef] [PubMed]
- European Medicines Agency (EMA). EMA/HMPC/893108/2011 Public Statement on the Use of Herbal Medicinal Products Containing Toxic, Unsaturated Pyrrolizidine Alkaloids (PAs) Including Recommendations Regarding Contamination of Herbal Medicinal Products with Pas. Sci. Med. Health 2021, 1–36. [Google Scholar]
- Dusemund, B.; Nowak, N.; Sommerfeld, C.; Lindtner, O.; Schäfer, B.; Lampen, A. Risk Assessment of Pyrrolizidine Alkaloids in Food of Plant and Animal Origin. Food Chem. Toxicol. 2018, 115, 63–72. [Google Scholar] [CrossRef] [PubMed]
- Casado, N.; Morante-Zarcero, S.; Sierra, I. The Concerning Food Safety Issue of Pyrrolizidine Alkaloids: An Overview. Trends Food Sci. Technol. 2022, 120, 123–139. [Google Scholar] [CrossRef]
- Moreira, R.; Pereira, D.M.; Valentão, P.; Andrade, P.B. Pyrrolizidine Alkaloids: Chemistry, Pharmacology, Toxicology and Food Safety. Int. J. Mol. Sci. 2018, 19, 1668. [Google Scholar] [CrossRef]
- Chmit, M.S.; Horn, G.; Dübecke, A.; Beuerle, T. Pyrrolizidine Alkaloids in the Food Chain: Is Horizontal Transfer of Natural Products of Relevance? Foods 2021, 10, 1827. [Google Scholar] [CrossRef] [PubMed]
- Rather, I.A.; Koh, W.Y.; Paek, W.K.; Lim, J. The Sources of Chemical Contaminants in Food and Their Health Implications. Front. Pharmacol 2017, 8, 830. [Google Scholar] [CrossRef]
- Al-Subaie, S.F.; Alowaifeer, A.M.; Mohamed, M.E. Pyrrolizidine Alkaloid Extraction and Analysis: Recent Updates. Foods 2022, 11, 3873. [Google Scholar] [CrossRef]
- Avula, B.; Sagi, S.; Wang, Y.H.; Zweigenbaum, J.; Wang, M.; Khan, I.A. Characterization and Screening of Pyrrolizidine Alkaloids and N-Oxides from Botanicals and Dietary Supplements Using UHPLC-High Resolution Mass Spectrometry. Food Chem. 2015, 178, 136–148. [Google Scholar] [CrossRef]
- Louisse, J.; Rijkers, D.; Stoopen, G.; Holleboom, W.J.; Delagrange, M.; Molthof, E.; Mulder, P.P.J.; Hoogenboom, R.L.A.P.; Audebert, M.; Peijnenburg, A.A.C.M. Determination of Genotoxic Potencies of Pyrrolizidine Alkaloids in HepaRG Cells Using the ΓH2AX Assay. Food Chem. Toxicol. 2019, 131, 110532. [Google Scholar] [CrossRef]
- Roeder, E. Analysis of pyrrolizidine alkaloids. Curr. Org. Chem. 1999, 3, 557–576. [Google Scholar]
- EFSA Panel on Contaminants in the Food Chain. Scientific opinion on pyrrolizidine alkaloids in food and feed. EFSA J. 2011, 9, 2406. [Google Scholar]
- Hartmann, T. Chemical ecology of pyrrolizidine alkaloids. Planta 1999, 207, 483–495. [Google Scholar] [CrossRef]
- Langel, D.; Ober, D.; Pelser, P. The evolution of pyrrolizidine alkaloid biosynthesis and diversity in the Senecioneae. Phytochem. Rev. 2011, 10, 3–74. [Google Scholar] [CrossRef]
- Ehmke, A.; von Borstel, K.; Hartmann, T. Alkaloid N-oxides as transport and vacuolar storage compounds of pyrrolizidine alkaloids in Senecio vulgaris L. Planta 1988, 176, 83–90. [Google Scholar] [CrossRef] [PubMed]
- Kruse, L.H.; Stegemann, T.; Sievert, C.; Ober, D. Identification of a Second Site of Pyrrolizidine Alkaloid Biosynthesis in Comfrey to Boost Plant Defense in Floral Stage. Plant Physiol. 2017, 174, 47–55. [Google Scholar] [CrossRef] [PubMed]
- Schrenk, D.; Gao, L.; Lin, G.; Mahony, C.; Mulder, P.P.J.; Peijnenburg, A.; Pfuhler, S.; Rietjens, I.M.C.M.; Rutz, L.; Steinhoff, B.; et al. Pyrrolizidine Alkaloids in Food and Phytomedicine: Occurrence, Exposure, Toxicity, Mechanisms, and Risk Assessment—A Review. Food Chem. Toxicol. 2020, 136, 111107. [Google Scholar] [CrossRef] [PubMed]
- Chen, T.; Mei, N.; Fu, P.P. Genotoxicity of Pyrrolizidine Alkaloids. J. Appl. Toxicol. 2010, 30, 183–196. [Google Scholar] [CrossRef]
- Kakar, F.; Akbarian, Z.; Leslie, T.; Mustafa, M.L.; Watson, J.; Van Egmond, H.P.; Omar, M.F.; Mofleh, J. An Outbreak of Hepatic Veno-Occlusive Disease in Western Afghanistan Associated with Exposure to Wheat Flour Contaminated with Pyrrolizidine Alkaloids. J. Toxicol. 2010, 2010, 313280. [Google Scholar] [CrossRef]
- Bundesinstitut Für Risikobewertung (BfR). Pyrrolizidine Alkaloids in Herbal Teas and Teas; Bundesinstitut Für Risikobewertung (BfR): Berlin, Germany, 2013. [Google Scholar]
- Knutsen, H.K.; Alexander, J.; Barregård, L.; Bignami, M.; Brüschweiler, B.; Ceccatelli, S.; Cottrill, B.; Dinovi, M.; Edler, L.; Grasl-Kraupp, B.; et al. Risks for Human Health Related to the Presence of Pyrrolizidine Alkaloids in Honey, Tea, Herbal Infusions and Food Supplements. EFSA J. 2017, 15, e04908. [Google Scholar]
- Avila, C.; Breakspear, I.; Hawrelak, J.; Salmond, S.; Evans, S. A Systematic Review and Quality Assessment of Case Reports of Adverse Events for Borage (Borago Officinalis), Coltsfoot (Tussilago Farfara) and Comfrey (Symphytum Officinale). Fitoterapia 2020, 142, 104519. [Google Scholar] [CrossRef] [PubMed]
- Luckert, C.; Hessel, S.; Lenze, D.; Lampen, A. Disturbance of Gene Expression in Primary Human Hepatocytes by Hepatotoxic Pyrrolizidine Alkaloids: A Whole Genome Transcriptome Analysis. Toxicol. Vitr. 2015, 29, 1669–1682. [Google Scholar] [CrossRef]
- European Medicines Agency (EMA). Public Statement on Contamination of Herbal Medicinal Products/Traditional Herbal Medicinal Products with Pyrrolizidine Alkaloids; EMA: Amsterdam, The Netherlands, 2016. [Google Scholar]
- Fu, P.P.; Xia, Q.; Lin, G.; Chou, M.W. Pyrrolizidine Alkaloids—Genotoxicity, Metabolism Enzymes, Metabolic Activation, and Mechanisms. Drug Metab. Rev. 2004, 36, 1–55. [Google Scholar] [CrossRef] [PubMed]
- Fu, P.P. Pyrrolizidine Alkaloids: Metabolic Activation Pathways Leading to Liver Tumor Initiation. Chem. Res. Toxicol. 2017, 30, 81–93. [Google Scholar] [CrossRef] [PubMed]
- Kolrep, F.; Numata, J.; Kneuer, C.; Preiss-Weigert, A.; Lahrssen-Wiederholt, M.; Schrenk, D.; These, A. In vitro biotransformation of pyrrolizidine alkaloids in different species. Part I: Microsomal degradation. Arch Toxicol 2018, 92, 1089–1097. [Google Scholar] [CrossRef] [PubMed]
- Xu, J.; Wang, W.; Yang, X.; Xiong, A.; Yang, L.; Wang, Z. Pyrrolizidine Alkaloids: An Update on Their Metabolism and Hepatotoxicity Mechanism. Liver Res. 2019, 3, 176–184. [Google Scholar] [CrossRef]
- Prakash, A.S.; Pereira, T.N.; Reilly, P.E.B.; Seawright, A.A. Pyrrolizidine Alkaloids in Human Diet. Mutat. Res. Genet. Toxicol. Environ. Mutagen. 1999, 443, 53–67. [Google Scholar] [CrossRef]
- Mativcks, A.R.; Driver, H.E. Metabolism and toxicity of anacrotine, a pyrrolizidinic alkaloid, in rats. Chem. Biol. Interact. 1987, 63, 91–104. [Google Scholar]
- EFSA European Food Safety Authority. Available online: https://efsa.onlinelibrary.wiley.com/ (accessed on 6 August 2023).
- Allgaier, C.; Franz, S. Risk Assessment on the Use of Herbal Medicinal Products Containing Pyrrolizidine Alkaloids. Regul. Toxicol. Pharmacol. 2015, 73, 494–500. [Google Scholar] [CrossRef]
- Commission Regulation (EU) 1881/2006 of 19 December 2006 setting maximum levels for certain contaminants in foodstuffs. Off. J. Eur. Union 2006, L364, 5–24.
- Commission Regulation (EU). 2020/2040 of 11 December 2020 amending Regulation (EC) No 1881/2006 as regards maximum levels of pyrrolizidine alkaloids in certain foodstuffs. J. Eur. Union Off. J. Eur. Union. 2020, L420, 1–5. [Google Scholar]
- Commission Regulation (EU). 2023/915 of 25 April 2023 on maximum levels for certain contaminants in food and repealing Regulation (EC) No 1881/2006. J. Eur. Union Off. J. 2023, 119, 103–157. [Google Scholar]
- Crews, C.; Berthiller, F.; Krska, R. Update on Analytical Methods for Toxic Pyrrolizidine Alkaloids. Anal Bioanal Chem. 2010, 396, 327–338. [Google Scholar] [CrossRef] [PubMed]
- Sousa, A.C.; Ribeiro, C.; Gonçalves, V.M.F.; Pádua, I.; Leal, S. Chromatographic Methods for Detection and Quantification of Pyrrolizidine Alkaloids in Flora, Herbal Medicines, and Food: An Overview. Crit. Rev. Anal Chem. 2023, 10, 1–25. [Google Scholar] [CrossRef] [PubMed]
- Moldoveanu, S.; David, V. Preliminaries to Sample Preparation. In Modern Sample Preparation for Chromatography; Elsevier: Amsterdam, The Netherlands, 2015; pp. 3–32. [Google Scholar]
- Crews, C. Methods for analysis of pyrrolizidine alkaloids. In Natural Products: Phytochemistry, Botany and Metabolism of Alkaloids, Phenolics and Terpenes; Ramawat, K.G., Mérillon, J.-M., Eds.; Springer: Berlin/Heidelberg, Germany, 2013; pp. 1049–1068. [Google Scholar]
- Moldoveanu, S.; David, V. The Role of Sample Preparation. In Modern Sample Preparation for Chromatography; Elsevier: Amsterdam, The Netherlands, 2015; pp. 33–49. [Google Scholar]
- Commission Regulation (EC) No 401/2006 of 23 February 2006 laying down the methods of sampling and analysis for the official control of the levels of mycotoxins in foodstuffs. J. Eur. Union Off. J. 2006, 70, 12–34. Available online: https://eur-lex.europa.eu/legal-content/EN/TXT/PDF/?uri=CELEX:02006R0401-20140701 (accessed on 6 August 2023).
- Constantin, O.E.; Istrati, D.I. Extraction, Quantification and Characterization Techniques for Anthocyanin Compounds in Various Food Matrices—A Review. Horticulturae 2022, 8, 1084. [Google Scholar] [CrossRef]
- Santos, A.R.; Carreiró, F.; Freitas, A.; Barros, S.; Brites, C.; Ramos, F.; Sanches Silva, A. Mycotoxins Contamination in Rice: Analytical Methods, Occurrence and Detoxification Strategies. Toxins 2022, 14, 647. [Google Scholar] [CrossRef]
- Hussain, C.M.; Keçili, R. Sampling and Sample Preparation Techniques for Environmental Analysis. In Modern Environmental Analysis Techniques for Pollutants; Elsevier: Amsterdam, The Netherlands, 2020; pp. 75–119. [Google Scholar]
- Gao, X.; Teng, P.; Peng, L.; Ji, H.; Qiu, Y.; Liu, X.; Guo, D.; Jiang, S. Development and Validation of an Ultra-Performance Liquid Chromatography–Tandem Mass Spectrometry Method to Determine Maduramicin in Crayfish (Procambarus clarkii) and Evaluate Food Safety. Foods 2021, 10, 301. [Google Scholar] [CrossRef]
- Han, H.; Jiang, C.; Wang, C.; Wang, Z.; Chai, Y.; Zhang, X.; Liu, X.; Lu, C.; Chen, H. Development, Optimization, Validation and Application of Ultra High Performance Liquid Chromatography Tandem Mass Spectrometry for the Analysis of Pyrrolizidine Alkaloids and Pyrrolizidine Alkaloid N-Oxides in Teas and Weeds. Food Control 2022, 132, 108518. [Google Scholar] [CrossRef]
- Kwon, Y.; Koo, Y.; Jeong, Y. Determination of Pyrrolizidine Alkaloids in Teas Using Liquid Chromatography–Tandem Mass Spectrometry Combined with Rapid-Easy Extraction. Foods 2021, 10, 2250. [Google Scholar] [CrossRef]
- Kim, L.; Lee, D.; Cho, H.K.; Choi, S.D. Review of the QuEChERS Method for the Analysis of Organic Pollutants: Persistent Organic Pollutants, Polycyclic Aromatic Hydrocarbons, and Pharmaceuticals. Trends Environ. Anal. Chem. 2019, 22, e00063. [Google Scholar] [CrossRef]
- Perestrelo, R.; Silva, P.; Porto-Figueira, P.; Pereira, J.A.M.; Silva, C.; Medina, S.; Câmara, J.S. QuEChERS—Fundamentals, Relevant Improvements, Applications and Future Trends. Anal. Chim. Acta 2019, 1070, 1–28. [Google Scholar] [CrossRef] [PubMed]
- González-Curbelo, M.; Socas-Rodríguez, B.; Herrera-Herrera, A.V.; González-Sálamo, J.; Hernández-Borges, J.; Rodríguez-Delgado, M. Evolution and Applications of the QuEChERS Method. Trends Anal. Chem. 2015, 71, 169–185. [Google Scholar] [CrossRef]
- Santana-Mayor, Á.; Socas-Rodríguez, B.; Herrera-Herrera, A.V.; Rodríguez-Delgado, M.Á. Current Trends in QuEChERS Method. A Versatile Procedure for Food, Environmental and Biological Analysis. Trends Anal. Chem. 2019, 116, 214–235. [Google Scholar] [CrossRef]
- León, N.; Miralles, P.; Yusà, V.; Coscollà, C. A Green Analytical Method for the Simultaneous Determination of 30 Tropane and Pyrrolizidine Alkaloids and Their N-Oxides in Teas and Herbs for Infusions by LC-Q-Orbitrap HRMS. J. Chromatogr. A 2022, 1666, 462835. [Google Scholar] [CrossRef] [PubMed]
- Rizzo, S.; Celano, R.; Campone, L.; Rastrelli, L.; Piccinelli, A.L. Salting-out Assisted Liquid-Liquid Extraction for the Rapid and Simple Simultaneous Analysis of Pyrrolizidine Alkaloids and Related N-Oxides in Honey and Pollen. J. Food Compos. Anal. 2022, 108, 104457. [Google Scholar] [CrossRef]
- Tang, Y.Q.; Weng, N. Salting-out Assisted Liquid-Liquid Extraction for Bioanalysis. Bioanalysis 2013, 5, 1583–1598. [Google Scholar] [CrossRef]
- Rizzo, S.; Celano, R.; Piccinelli, A.L.; Russo, M.; Rastrelli, L. Target Screening Method for the Quantitative Determination of 118 Pyrrolizidine Alkaloids in Food Supplements, Herbal Infusions, Honey and Teas by Liquid Chromatography Coupled to Quadrupole Orbitrap Mass Spectrometry. Food Chem. 2023, 423, 136306. [Google Scholar] [CrossRef]
- Mulder, P.P.J.; López, P.; Castelari, M.; Bodi, D.; Ronczka, S.; Preiss-Weigert, A.; These, A. Occurrence of Pyrrolizidine Alkaloids in Animal- and Plant-Derived Food: Results of a Survey across Europe. Food Addit. Contam. Part A Chem. Anal. Control Expo. Risk Assess 2018, 35, 118–133. [Google Scholar] [CrossRef] [PubMed]
- Casado, N.; Fernández-Pintor, B.; Morante-Zarcero, S.; Sierra, I. Quick and Green Microextraction of Pyrrolizidine Alkaloids from Infusions of Mallow, Calendula, and Hibiscus Flowers Using Ultrahigh-Performance Liquid Chromatography Coupled to Tandem Mass Spectrometry Analysis. J. Agric. Food Chem. 2022, 70, 7826–7841. [Google Scholar] [CrossRef] [PubMed]
- Chen, L.; Mulder, P.P.J.; Peijnenburg, A.; Rietjens, I.M.C.M. Risk Assessment of Intake of Pyrrolizidine Alkaloids from Herbal Teas and Medicines Following Realistic Exposure Scenarios. Food Chem. Toxicol. 2019, 130, 142–153. [Google Scholar] [CrossRef]
- Dzuman, Z.; Jonatova, P.; Stranska-Zachariasova, M.; Prusova, N.; Brabenec, O.; Novakova, A.; Fenclova, M.; Hajslova, J. Development of a New LC-MS Method for Accurate and Sensitive Determination of 33 Pyrrolizidine and 21 Tropane Alkaloids in Plant-Based Food Matrices. Anal. Bioanal. Chem. 2020, 412, 7155–7167. [Google Scholar] [CrossRef] [PubMed]
- Guo, Q.; Yang, Y.; Li, J.; Shao, B.; Zhang, J. Screening for Plant Toxins in Honey and Herbal Beverage by Ultrahigh-Performance Liquid Chromatography-Ion Mobility-Quadrupole Time of Flight Mass Spectrometry. Am. J. Analyt. Chem. 2022, 13, 108–134. [Google Scholar] [CrossRef]
- Izcara, S.; Casado, N.; Morante-Zarcero, S.; Sierra, I. A Miniaturized QuEChERS Method Combined with Ultrahigh Liquid Chromatography Coupled to Tandem Mass Spectrometry for the Analysis of Pyrrolizidine Alkaloids in Oregano Samples. Foods 2020, 9, 1319. [Google Scholar] [CrossRef] [PubMed]
- Kaltner, F.; Kukula, V.; Gottschalk, C. Screening of Food Supplements for Toxic Pyrrolizidine Alkaloids. J. Fur Verbraucherschutz Und Leb. 2020, 15, 237–243. [Google Scholar] [CrossRef]
- Picron, J.F.; Herman, M.; Van Hoeck, E.; Goscinny, S. Analytical Strategies for the Determination of Pyrrolizidine Alkaloids in Plant Based Food and Examination of the Transfer Rate during the Infusion Process. Food Chem. 2018, 266, 514–523. [Google Scholar] [CrossRef]
- Reinhard, H.; Zoller, O. Pyrrolizidine Alkaloids in Tea, Herbal Tea and Iced Tea Beverages–Survey and Transfer Rates. Food Addit. Contam. Part A Chem. Anal. Control Expo. Risk Assess 2021, 38, 1914–1933. [Google Scholar] [CrossRef]
- Sattler, M.; Müller, V.; Bunzel, D.; Kulling, S.E.; Soukup, S.T. Pyrrolizidine Alkaloids in Borage (Borago Officinalis): Comprehensive Profiling and Development of a Validated LC-MS/MS Method for Quantification. Talanta 2023, 258, 124425. [Google Scholar] [CrossRef]
- Kaltner, F.; Stiglbauer, B.; Rychlik, M.; Gareis, M.; Gottschalk, C. Development of a Sensitive Analytical Method for Determining 44 Pyrrolizidine Alkaloids in Teas and Herbal Teas via LC-ESI-MS/MS. Anal. Bioanal. Chem. 2019, 411, 7233–7724. [Google Scholar] [CrossRef]
- Kowalczyk, E.; Kwiatek, K. Application of the Sum Parameter Method for the Determination of Pyrrolizidine Alkaloids in Teas. Food Addit. Contam. Part A Chem. Anal. Control Expo. Risk Assess 2020, 37, 622–633. [Google Scholar] [CrossRef]
- Kaltner, F.; Rychlik, M.; Gareis, M.; Gottschalk, C. Occurrence and Risk Assessment of Pyrrolizidine Alkaloids in Spices and Culinary Herbs from Various Geographical Origins. Toxins 2020, 12, 155. [Google Scholar] [CrossRef] [PubMed]
- Kaczyński, P.; Łozowicka, B. A Novel Approach for Fast and Simple Determination Pyrrolizidine Alkaloids in Herbs by Ultrasound-Assisted Dispersive Solid Phase Extraction Method Coupled to Liquid Chromatography–Tandem Mass Spectrometry. J. Pharm. Biomed. Anal. 2020, 187, 113351. [Google Scholar] [CrossRef]
- Izcara, S.; Casado, N.; Morante-Zarcero, S.; Pérez-Quintanilla, D.; Sierra, I. Miniaturized and Modified QuEChERS Method with Mesostructured Silica as Clean-up Sorbent for Pyrrolizidine Alkaloids Determination in Aromatic Herbs. Food Chem. 2022, 380, 132189. [Google Scholar] [CrossRef]
- Rizzo, S.; Celano, R.; Piccinelli, A.L.; Serio, S.; Russo, M.; Rastrelli, L. An Analytical Platform for the Screening and Identification of Pyrrolizidine Alkaloids in Food Matrices with High Risk of Contamination. Food Chem. 2023, 406, 135058. [Google Scholar] [CrossRef]
- Council of Europe European Pharmacopoeia Commission Adopts New General Chapter Contaminant Pyrrolizidine Alkaloids (2.8.26). Available online: https://www.edqm.eu/en/-/european-pharmacopoeia-commission-adopts-new-general-chapter-contaminant-pyrrolizidine-alkaloids-2.8.26- (accessed on 13 November 2023).
- ECA Academy USP Proposal for Contaminant Pyrrolizidine Alkaloids. Available online: https://www.gmp-compliance.org/gmp-news/usp-proposal-for-contaminant-pyrrolizidine-alkaloids (accessed on 13 November 2023).
- Harris, D.C. Quantitative Chemical Analysis, 8th ed; Macmillan: New York, NY, USA, 2010; ISBN 978-85-216-2042-6. [Google Scholar]
- Loos, G.; Van Schepdael, A.; Cabooter, D. Quantitative Mass Spectrometry Methods for Pharmaceutical Analysis. Philos. Trans. R. Soc. A Math. Phys. Eng. Sci. 2016, 374, 20150366. [Google Scholar] [CrossRef]
- Avula, B.; Wang, Y.H.; Wang, M.; Smillie, T.J.; Khan, I.A. Simultaneous Determination of Sesquiterpenes and Pyrrolizidine Alkaloids from the Rhizomes of Petasites Hybridus (L.) G.M. et Sch. and Dietary Supplements Using UPLC-UV and HPLC-TOF-MS Methods. J. Pharm. Biomed. Anal. 2012, 70, 53–63. [Google Scholar] [CrossRef] [PubMed]
- European Commission. Questions and Answers: Rapid Alert System for Food and Feed (RASFF). 2017. Available online: https://ec.europa.eu/commission/presscorner/detail/en/MEMO_17_2461 (accessed on 17 August 2023).
- Commission Implementing Regulation (EU). 2022/913 of 30 May 2022 amending Implementing Regulation (EU) 2019/1793 on the temporary increase of official controls and emergency measures governing the entry into the Union of certain goods from certain third countries implementing Regulations (EU) 2017/625 and (EC) No 178/2002 of the European Parliament and of the Council. J. Eur. Union Off. J. 2022, 158, 1–26. Available online: https://eur-lex.europa.eu/legal-content/EN/TXT/PDF/?uri=CELEX:32022R0913 (accessed on 17 August 2023).












| Family | Genus | Species (e.g.) | Type of PA | PAs |
|---|---|---|---|---|
| Fabaceae | Crotalaria spp. | C. albida C. assamica C. pallida C. sessiliflora | Monocrotalin-type | Monocrotaline Aucherine |
| Senecionine-type | Senecionine Platyphylline Rosmarinine Senecivernine Nemorensine | |||
| Asteraceae | Senecio spp. | S. jacobaea S. vulgaris L. S. nemorensis L. S. argunensis S. integrifolius (L.) S. scandens S. longilobus | Triangularine-type | Triangularine Sarracine Macrophylline |
| Eupatoriae spp. | E. cannabinum E. chinense E. japonicum E. fortunei | Lycopsamine-type | Acetylechimidine and isomers Echimidine and isomers | |
| Boraginaceae | Heliotropium spp. | H. arborescens H. indicum | Lycopsamine-type Phalaenosine-type | Europine Heliotrine Lasiocarpine |
| Regulatory Body | Limits | |
|---|---|---|
| BfR (1992) | Internal use: Up to 6 weeks: 1 µg PA/day Prolonged use: 0.11 µg PA/day | External use: Up to 6 weeks: 100 µg PA/day Prolonged use: 10 µg PA/day |
| 10 µg PA/day if consuming coltsfoot leaves as a tea infusion | ||
| Australia New Zealand Food Authority (2001) | 1 µg PA/kg/day | |
| Dutch National Institute for Public Health and the Environment (2005) | 0.1 µg PA/kg/day | |
| Committee on Toxicity of Chemicals in Food, Consumer Products and Environment (2008) | 0.1 µg riddelliine/kg/day for non-carcinogenic PAs 0.007 µg PA/kg/day for carcinogenic Pas | |
| EFSA (2011) | 0.007 µg PA/kg/day | |
| Food Product | Maximum Concentration Level (μg/kg) 1 |
|---|---|
| Herbal Infusions of rooibos, anise, lemon balm, chamomile, thyme, peppermint, lemon verbena (dried product) and mixtures exclusively composed of dried herbs | 400 |
| Other herbal infusions (dried product) excluding those mentioned above | 200 |
| Tea (Camellia sinensis) and flavoured tea (Camellia sinensis) (dried product) | 150 |
| Tea (Camellia sinensis) and flavoured tea (Camellia sinensis) and herbal infusions for infants and young children (dried product) | 75 |
| Tea (Camellia sinensis) and flavoured tea (Camellia sinensis) and herbal infusions for infants and young children (liquid) | 1.0 |
| Food supplements containing herbal ingredients including extracts with the exception of the pollen-based food supplements, pollend and pollen products | 400 |
| Pollen based food supplements. Pollen and pollen products | 500 |
| Borage leaves (fresh, frozen) placed on the market for the final consumer | 750 |
| Borage, lovage, marjoram and oregano (dried) and mixtures exclusively composed of these dried herbs | 1000 |
| Dried herbs except those mentioned above | 400 |
| Cumin seeds (seed spice) | 400 |
| Analytical Technique | Conditions | Analytical Column | Type of Mass Spectrometer and Ionization | LOD and LOQ (µg/kg) | Ref. |
|---|---|---|---|---|---|
| UHPLC—MS/MS | MP: A: 0.1% FA + 5 mM NH4HCO2 in H2O; B: 0.1% FA + 5 mM NH4HCO2 in MeOH/H2O (95:5, v/v) Flow Rate: 0.3 mL/min Injection Volume: 10 µL | C18 column (100 × 2.1 mm, 1.9 µm) Oven: 40 °C | TQ—MRM ESI (+) | Dry Samples LOD: 0.3–2.3 LOQ: n.d Oil Samples: LOD: 0.9–3.8 LOQ: n.d | [56] |
| UPLC-MS/MS | MP: A: H2O with 0.1% ammonia; B: ACN; Flow Rate: 0.4 mL/min Injection Volume: 10 µL (plant extracts) and 5 µL (infusion extracts) | C18 (100 × 2.1 mm, 1.7 µm particle size) Oven: 45 °C | TQ—MRM ESI (+) | LOD: - LOQ: 0.1–1 (dry samples); 0.01 (infusion extracts); | [63] |
| LC—MS/MS | M.P: A: H2O, MeOH/H2O (10/90,5/95, v/v) or ACN/H2O (10/90, 5/95, v/v): B: MeOH/H2O or ACN/H2O (95/5 v/v) or (90/10 v/v), C: MeOH/H2O (90/10, v/v) or ACN/H2O (90/10, v/v) Flow Rate: 0.4 mL/min Injection Volume: 20 µL | C18 (150 × 2.1 mm, 5 µm particle size) Oven: 30 °C | TQ—MRM ESI (+/−) | LOD: 0.1–7.0 LOQ: 0.1–27.9 | [66] |
| UPLC—MS/MS | MP: A: 10 mM (NH₄) ₂CO₃ pH 9 in H2O; B: ACN; Flow Rate: 400 µL/min Injection Volume: 2 µL | C18 column (150 mm × 2.1 mm, 1.7 µm particle size) Oven: 50 °C | TQ—MRM ESI (+) | Teas LOD: 0.01–0.02 LOQ: 0.05 Herbal Medicines: LOD: 1–2 LOQ: 4–5 | [58] |
| GC—MS | Flow Rate: 0.8 mL/min Injection Volume: 2 µL | DB—5 MS (30 × 0.25 mm, 0.25 film thicknesses Oven: 250 °C | MSDI | LOD: 0.3 LOQ: 1.1 | [67] |
| HPLC—MS/MS | MP: A: 0.1%FA + 5 mM NH4HCO2 in H2O; B: 0.1%FA + 5 mM NH4HCO2 in ACN/H2O (95/5, v/v); Flow Rate: 0.4 mL/min Injection Volume: 20 µL | C18 column (150 mm × 2.1 mm) protected by C18 2.1 mm Oven: 30 °C | TQ | LOD: <0.1–2.6 LOQ: n.d. | [62] |
| LC—MS/MS | MP: A: 0.5% FA + 2 mM NH4HCO2 in H2O; B: 0.5% FA + 2 mM NH4HCO2 in MeOH low Rate: 0.3 mL/min Injection Volume: 5 µL | C18 column (100 × 2.1 mm, 1.9 µm) Oven: 40 °C | Qtrap MRM ESI (+) | LOD: n.d. LOQ: 1 | [69] |
| UHPLC-MS/MS | MP: A: 0.2% FA + 5 mM NH₄CH₃CO₂ in H2O; B: 10 mM NH₄CH₃CO₂ in MeOH; Flow Rate: 0.25 mL/min Injection Volume: 2 µL | C18 Column (100 mm × 2.1 mm, 1.6 µm particle size). Oven: 25 °C | Ion-Trap ESI (+) | LOD: 0.1–7.5 LOQ: 0.5–25 | [61] |
| RP—UHPLC—MS/MS | MP: 0.2% FA + 2 mM NH4HCO2 in H2O; B: 0.2% FA + 2 mM NH4HCO2 in MeOH; Flow Rate: 0.25 mL/min Injection Volume: 1 µL MP: A: 0.1% FA + 5 mM NH4HCO2 in H2O; B: 0.1% FA + 5 mM NH4HCO2 in ACN:H2O (95:5, v/v); Flow Rate: 0.3 mL/min Injection Volume: 1 µL | C18 Column (150 mm × 2.1 mm, 1.6 µm particle size). Oven: 50 °C ACQUITY UPLC BEH Amide (100 mm × 2.1 mm, 1.7 µm particle size) Oven: 40 °C | Qtrap MRM ESI (+) | LOD: LOQ: 0.5–10 | [59] |
| LC—HR—MS | MP: A: 0.1% FA in H2O; B: 0.1% FA in MeOH; Flow rate: 0.2 mL/min Injection Volume: 5 µL | C18 (125 × 2 mm, 3.5 µm) Oven: 30 °C | Qq-TOF ESI (+) | LOD: 0.1–5 LOQ: n.d. | [64] |
| UHPLC-MS/MS | MP: A: 0.1% FA + 1 mM NH4HCO2 in MeOH; B: 0.1% FA + 1 mM NH4HCO2 in H2O; Flow Rate: 0.25 mL/min Injection Volume: 3 µL | T3 (100 × 2.1 mm, 1.8 µm particle size) Oven: 40 °C | TQ ESI (+) MRM | LOD: 0.001–0.4 LOQ: 1–5 | [64] |
| LC—MS/MS | MP: A: 5 mM NH4HCO2 + 0.1% FA in H2O; B: 5 mM NH4HCO2 + 0.1% FA in 95% MeOH; Flow Rate: 0.3 mL/min Injection Volume: 10 µL | C18 (100 mm × 2.1 mm, 3.5 µm) Oven: 40 °C | Tandem MS ESI (+) MRM | LOD: 0.1–3.0 LOQ: 0.3–9.0 | [47] |
| UHPLC-MS/MS | MP: A: 10 mM NH₄CH₃CO₂ in MeOH; B: 5 mM NH₄CH₃CO₂ in H2O; Flow Rate: 0.25 mL/min Injection Volume: 5 µL | C18 Column (100 mm × 2.1 mm, 1.6 µm particle size). Oven: 25 °C | Ion-Trap ESI (+) | LOD: 0.1–0.3 µg/L LOQ: 0.3–1 µg/L | [57] |
| LC—HRMS | MP: A: 0.1% FA in H2O; B: 0.1% FA in MeOH; Flow rate: 300 µL/min Injection Volume: n.d. | C18 column (100 × 2.1 mm, 1.9 µm) Oven: 40 °C | Q- Orbitrap H-ESI (+) PRM | LOD: n.d. LOQ: 5 | [53] |
| UPLC-IM-QTOF | MP: A: 0.1% FA in H2O; B: 0.1% FA in ACN; Flow Rate: 0.45 mL/min Injection Volume: 5 µL | C18 column (2.1 mm × 100 mm; 1.7 µm) Oven: 50 °C | QTOF ESI (+) | LOD: n.d. LOQ: 1–20 | [59] |
| UHPLC-MS/MS | MP: A: 0.2% FA + 5 mM NH4HCO2 in H2O; B: NH4CO2 in MeOH; Flow Rate: 0.25 mL/min Injection Volume: 2 µL | C18 Column (100 mm × 2.1 mm, 1.6 µm particle size). Oven: 25 °C | Ion-Trap ESI (+) MRM | LOD: 0.4–3.0 LOQ: 1.2–10 | [69] |
| LC—MS/MS | MP: A: 0.1% FA + 5 mM NH4HCO2; B: ACN Flow Rate: 0.3 mL/min Injection Volume: 2 uL | C18 Column (150 mm × 2.1 mm, 1.6 µm particle size) with a pre-column Fully Porous Polar C18 (2.1 mm ID columns) Oven: 25 °C | DAD coupled a Triple TOF ESI (+) | LOD: n.d. LOQ: 25–50 | [65] |
| UHPLC—HRMS/MS | MP: A: 0.1% HCOOH in H2O; B: 0.1% HCOOH in ACN; Flow rate: 400 µL/min | C18 (2.1 × 100 mm, 1.6 μm) a Oven: 40 °C | Q-Exactive HESI-II (+) | Solid Matrices: LOQ: 0.1–2.1 LOD: 0.0 Infusions and Teas: LOQ: 1–12 LOD: 0.0 | [55] |
| UHPLC—HRMS/MS | MP: A: 0.1% FA in H2O; B: 0.1% FA in ACN; Flow rate: 400 µL/min Injection Volume: 5 µL | C18 (2.1 × 100 mm, 1.6 μm) a Oven: 40 °C | Q-Exactive HESI-II (+) | LOD: 0.6–30 LOQ: n.d. | [71] |
| Date (Day/Month/Year) | Country | Origin Country | Product | Levels of Contamination (μg/kg) |
|---|---|---|---|---|
| 11/07/2023 | Poland | India, Poland | Ground Cumin | 1217 |
| 26/06/2023 | Belgium | Turkey | Ground Cumin | 23,813 |
| 26/06/2023 | Greece | Turkey | Ground Cumin | 8281 |
| 21/06/2023 | Germany | Turkey | Cumin | 13,600 |
| 14/06/2023 | Belgium | Turkey | Cumin | 2259 ± 890 |
| 14/06/2023 | Luxembourg | Spain | Cumin seeds | 717 ± 108 |
| 12/05/2023 | Poland | Poland | Herbata Loyd Earl grey | 240 ± 40 |
| 02/05/2023 | Bulgaria | Turkey | Ground Cumin | 1553.4 |
| 12/04/2023 | Sweden | Turkey | Dried Oregano | 2263 |
| 28/03/2023 | Germany | Germany and Greece | Organic oregano | 24,000 |
| 28/03/2023 | Czech Republic | Poland | Dried Oregano | 1448 |
| 22/03/2023 | Germany | Greece | Oregano | 17,000 |
| 07/03/2023 | France | Belgium and France | Cumin seeds | 10,000 |
| 17/02/2023 | Ireland | India | Cumin whole | 521.1 ± 87.9 |
| 17/02/2023 | Ireland | n.d. | Dried Oregano | n.d. |
| 07/02/2023 | Germany | Italy | Borage | >59,999 |
| 03/02/2023 | Belgium | Belgium | Ground Cumin | 16,596 |
| 30/01/2023 | Belgium | France | Ginkgo Biloba extract | 702 |
| 27/01/2023 | Belgium | n.d. | Camomile tea | 2470 |
| 27/01/2023 | France | Turkey | Cumin seeds | 1148.9 ± 574.4 |
| 660.9 ± 330.5 | ||||
| 563.7 ± 281.9 | ||||
| 23/01/2023 | Netherlands | France | Licorice root grinded | 1558 |
| 12/01/2023 | Norway | Moroco | Hayatea herbal tea with peppermint, mentha pulegium (pennyroyal), sage, verveine, and oregano | 11,608.3 |
| 10/01/2023 | Romania | Poland | Black Tea | 700 |
| 04/01/2023 | Italy | Turkey | Dried Oregano | n.d. |
| 03/01/2023 | Poland | Poland | Pollen | 1187 ± 301 |
| 29/12/2022 | Spain | Turkey | Cumin | 7290 ± 3650 |
| 16/12/2022 | Belgium | n.d. | Ground cumin | 5298 |
| 2926 | ||||
| 13/12/2022 | Poland | Turkey | Dried Oregano | 13,921 ± 2735 |
| 13/12/2022 | Greece | n.d. | Cumin | 17,512 |
| 01/12/2022 | Germany | India | Ground Cumin | 4040 ± 1620 |
| 22/11/2022 | Belgium | Afganistan and France | Ground Cumin | 23,899 |
| 14,249 | ||||
| 21/11/2022 | Belgium | Turkey | Oregano | 1983.5 |
| 17/11/2022 | France | Turkey | Dried Oregano | 5174 ± 2587 |
| 15/11/2022 | Poland | Turkey | Dried Oregano | 8236 ± 1564 |
| 03/11/2022 | Belgium | n.d. | Ground Cumin | 3697 ± 1395 |
| 10,118 ± 3915 | ||||
| 02/11/2022 | Netherlands | Greece | Oregano | 30,313 |
| 19/10/2022 | Italy | Turkey | Dried Oregano | 5591 ± 1177 |
| 10/10/2022 | Switzerland | Turkey | Ground Cumin | 4436 |
| 10/10/2022 | Bulgaria | Turkey | Dried Oregano | >2500 |
| 25/08/2022 | Ireland | Turkey | Ground Cumin | 1191.4 ± 197.8 |
| 10/06/2022 | Sweden | Turkey | Cumin | 12,350 |
| 10,560 | ||||
| 12/05/2022 | Bulgaria | Turkey | Ground Cumin | >2500 |
| 10/05/2022 | Bulgaria | Turkey | Dried Oregano | 2154 |
| 07/05/2022 | Bulgaria | Turkey | Dried Oregano | 2644.1 |
| 24/04/2022 | Bulgaria | Turkey | Cumin | 1505.4 |
| 22/04/2022 | Ireland | Turkey | Cumin | 1723.8 |
| 4810.6 ± 801.4 | ||||
| 30/03/2022 | Finland | Turkey | Dried Oregano | 6970 |
| 07/03/2022 | Spain | Turkey | Cumin seeds | 50,000 |
| 01/03/2022 | Czech Republic | Turkey | Ground Cumin | 11,907.7 |
| 05/01/2022 | Netherlands | Spain | Pollen | 880 |
| 23/12/2021 | Denmark | Spain | Oregano | 14,000 ± 5000 |
| 22/12/2021 | Denmark | Uzbekistan | Camomile tea | 5400 |
| 28/10/2021 | Germany | Turkey | Oregano | 2785 |
| 2568 | ||||
| 19/10/2021 | Germany | Turkey | Cumin seeds | 9474 |
| 02/06/2021 | Switzerland | Turkey | Oregano | 4879 |
| 20/05/2021 | Germany | Turkey | Oregano | 2079 |
| 14/05/2021 | Germany | Turkey | Organic cumin | 10,483.39 |
| 07/05/2021 | Germany | Turkey | Cumin | 10,906.77 |
| 05/05/2021 | Germany | Turkey | Cumin | 10,406.94 |
| 01/04/2021 | Germany | Czech Republic | Herbal Tea | 2928.1 |
| 26/03/2021 | Switzerland | Turkey | Oregano | 8895 |
| 12/02/2021 | Germany | Turkey | Ground Cumin | 27,500 ± 970 |
| 21/01/2021 | Germany | Netherlands | Ground Cumin | 21,200 ± 5300 |
| 24/12/2020 | Switzerland | Turkey | Ground Cumin | 9948 |
| 23/12/2020 | Switzerland | Turkey | Ground Cumin | 5786 |
| 20,377 | ||||
| 23/12/2020 | Switzerland | Turkey | Ground Cumin | 5522 |
| 04/12/2020 | Germany | Turkey | Cumin | 11,700 ± 2900 |
| 18/11/2020 | Germany | Netherlands | Ground cumin | 55,176 |
| 18/11/2020 | Germany | Lebanon | Cumin | 22,000 |
| 18,900 | ||||
| 20/08/2020 | Germany | Egypt | Anise seeds | 12,184 |
| 15,114 | ||||
| 1206 ± 188 | ||||
| 30/06/2020 | Switzerland | Turkey | Organic cumin | 29,120 |
| 30/04/2020 | Germany | Turkey | Organic cumin | 56,100 |
| 24/04/2020 | Denmark | Turkey | Ground Cumin and Dried Oregano | 15,000 |
| 7200 | ||||
| 30/03/2020 | Germany | Turkey | Oregano | 6620 |
| 11/02/2020 | Belgium | Poland | Camomile tea | 530 |
| 05/02/2020 | Germany | Turkey | Oregano | 16,962 ± 8481 |
| 04/02/2020 | Germany | Turkey | Rubbed oregano | 8836 |
Disclaimer/Publisher’s Note: The statements, opinions and data contained in all publications are solely those of the individual author(s) and contributor(s) and not of MDPI and/or the editor(s). MDPI and/or the editor(s) disclaim responsibility for any injury to people or property resulting from any ideas, methods, instructions or products referred to in the content. |
© 2024 by the authors. Licensee MDPI, Basel, Switzerland. This article is an open access article distributed under the terms and conditions of the Creative Commons Attribution (CC BY) license (https://creativecommons.org/licenses/by/4.0/).
Share and Cite
Tábuas, B.; Cruz Barros, S.; Diogo, C.; Cavaleiro, C.; Sanches Silva, A. Pyrrolizidine Alkaloids in Foods, Herbal Drugs, and Food Supplements: Chemistry, Metabolism, Toxicological Significance, Analytical Methods, Occurrence, and Challenges for Future. Toxins 2024, 16, 79. https://doi.org/10.3390/toxins16020079
Tábuas B, Cruz Barros S, Diogo C, Cavaleiro C, Sanches Silva A. Pyrrolizidine Alkaloids in Foods, Herbal Drugs, and Food Supplements: Chemistry, Metabolism, Toxicological Significance, Analytical Methods, Occurrence, and Challenges for Future. Toxins. 2024; 16(2):79. https://doi.org/10.3390/toxins16020079
Chicago/Turabian StyleTábuas, Bruna, Sílvia Cruz Barros, Catarina Diogo, Carlos Cavaleiro, and Ana Sanches Silva. 2024. "Pyrrolizidine Alkaloids in Foods, Herbal Drugs, and Food Supplements: Chemistry, Metabolism, Toxicological Significance, Analytical Methods, Occurrence, and Challenges for Future" Toxins 16, no. 2: 79. https://doi.org/10.3390/toxins16020079
APA StyleTábuas, B., Cruz Barros, S., Diogo, C., Cavaleiro, C., & Sanches Silva, A. (2024). Pyrrolizidine Alkaloids in Foods, Herbal Drugs, and Food Supplements: Chemistry, Metabolism, Toxicological Significance, Analytical Methods, Occurrence, and Challenges for Future. Toxins, 16(2), 79. https://doi.org/10.3390/toxins16020079

