New Insights into Chemical and Biological Properties of Funicone-like Compounds
Abstract
:1. Introduction
2. Structures and Chemical Properties
2.1. True Funicones
2.2. Furopyrone Type
2.3. Phthalide Type
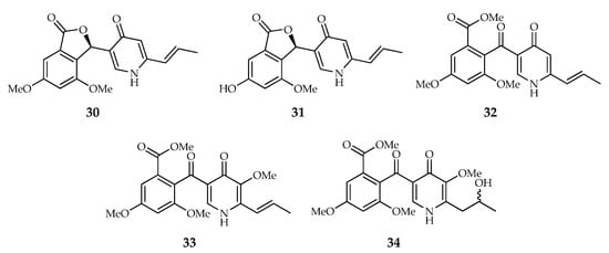
2.4. Pyridone Type
3. Fungal Sources
4. Biosynthesis
5. Bioactivities
6. Potential Role of Funicone-like Compounds as Mycotoxins
7. Conclusions
Author Contributions
Funding
Institutional Review Board Statement
Informed Consent Statement
Data Availability Statement
Conflicts of Interest
References
- Nicoletti, R.; Manzo, E.; Ciavatta, M.L. Occurence and bioactivities of funicone-related compounds. Int. J. Mol. Sci. 2009, 10, 1430–1444. [Google Scholar] [CrossRef] [PubMed]
- Merlini, L.; Nasini, G.; Selva, A. The structure of funicone: A new metabolite from Penicillium funiculosum Thom. Tetrahedron 1970, 26, 2739–2749. [Google Scholar] [CrossRef]
- Yilmaz, N.; Visagie, C.M.; Houbraken, J.; Frisvad, J.C.; Samson, R.A. Polyphasic taxonomy of the genus Talaromyces. Stud. Mycol. 2014, 78, 175–341. [Google Scholar] [CrossRef] [PubMed] [Green Version]
- Komai, S.; Hosoe, T.; Itabashi, T.; Nozawa, K.; Okada, K.; de Campos Takaki, G.M.; Chikamori, M.; Yaguchi, T.; Fukushima, K.; Miyaji, M.; et al. A new funicone derivative isolated from Talaromyces flavus IFM52668. Mycotoxins 2004, 54, 15–19. [Google Scholar] [CrossRef] [Green Version]
- Chen, M.J.; Fu, Y.W.; Zhou, Q.Y. Penifupyrone, a new cytotoxic funicone derivative from the endophytic fungus Penicillium sp. HSZ-43. Nat. Prod. Res. 2014, 28, 1544–1548. [Google Scholar] [CrossRef]
- Komai, S.I.; Hosoe, T.; Itabashi, T. New vermistatin derivatives isolated from Penicillium simplicissimum. Heterocycles 2005, 65, 2771–2776. [Google Scholar]
- Wu, C.; Zhao, Y.; Chen, R.; Liu, D.; Liu, M.; Proksch, P.; Guo, P.; Lin, W. Phenolic metabolites from mangrove-associated Penicillium pinophilum fungus with lipid-lowering effects. RSC Adv. 2016, 6, 21969–21978. [Google Scholar] [CrossRef]
- Jiao, Y.; Zhang, X.; Wang, L.; Li, G.; Zhou, J.C.; Lou, H.X. Metabolites from Penicillium sp.; An endophytic fungus from the liverwort Riccardia multifida (L.) S. Gray. Phytochem. Lett. 2013, 6, 14–17. [Google Scholar] [CrossRef]
- Arai, M.; Tomoda, H.; Okuda, T.; Wang, H.; Tabata, N.; Masuma, R.; Yamaguchi, Y.; Omura, S. Funicone-related compounds, potentiators of antifungal miconazole activity, produced by Talaromyces flavus FKI-0076. J. Antibiot. 2002, 55, 172–180. [Google Scholar] [CrossRef] [Green Version]
- Sassa, T.; Nukina, M.; Suzuki, Y. Deoxyfunicone, a new γ-pyrone metabolite from a resorcylide-producing fungus (Penicillium sp.). Agric. Biol. Chem. 1991, 55, 2415–2416. [Google Scholar]
- Singh, S.B.; Jayasuriya, H.; Dewey, R.; Polishook, J.D.; Dombrowski, A.W.; Zink, D.L.; Guan, Z.; Collado, J.; Platas, G.; Pelaez, F.; et al. Isolation, structure, and HIV-1-integrase inhibitory activity of structurally diverse fungal metabolites. J. Ind. Microbiol. Biotechnol. 2003, 30, 721–731. [Google Scholar] [PubMed]
- Rusman, Y. Isolation of New Secondary Metabolites from Sponge-Associated and Plant-Derived Fungi; Heinrich-Heine-Universität-Düsseldorf: Dusseldorf, Germany, 2006. [Google Scholar]
- Ha, T.M.; Kim, D.C.; Sohn, J.H.; Yim, J.H.; Oh, H. Anti-inflammatory and protein tyrosine phosphatase 1b inhibitory metabolites from the antarctic marine-derived fungal strain Penicillium glabrum SF-7123. Mar. Drugs 2020, 18, 247. [Google Scholar] [CrossRef] [PubMed]
- Wang, Y.; Wang, L.; Zhuang, Y.; Kong, F.; Zhang, C.; Zhu, W. Phenolic polyketides from the co-cultivation of marine-derived Penicillium sp. WC-29-5 and Streptomyces fradiae 007. Mar. Drugs 2014, 12, 2079–2088. [Google Scholar] [CrossRef] [PubMed]
- De Stefano, S.; Nicoletti, R.; Zambardino, S.; Milone, A. Structure elucidation of a novel funicone-like compound produced by Penicillium pinophilum. Nat. Prod. Lett. 2002, 16, 207–211. [Google Scholar] [CrossRef]
- Kimura, Y.; Yoshinari, T.; Shimada, A.; Hamasaki, T. Isofunicone, a pollen growth inhibitor produced by the fungus, Penicillium sp. Phytochemistry 1995, 40, 629–631. [Google Scholar] [CrossRef]
- Liu, Y.; Yang, Q.; Xia, G.; Huang, H.; Li, H.; Ma, L.; Lu, Y.; He, L.; Xia, X.; She, Z. Polyketides with α-glucosidase inhibitory activity from a mangrove endophytic fungus, Penicillium sp. HN29-3B1. J. Nat. Prod. 2015, 78, 1816–1822. [Google Scholar] [CrossRef]
- Murakami, S.; Hayashi, N.; Inomata, T.; Kato, H.; Hitora, Y.; Tsukamoto, S. Induction of secondary metabolite production by fungal co-culture of Talaromyces pinophilus and Paraphaeosphaeria sp. J. Nat. Med. 2020, 74, 545–549. [Google Scholar] [CrossRef]
- De Stefano, S.; Nicoletti, R.; Milone, A.; Zambardino, S. 3-O-Methylfunicone, a fungitoxic metabolite produced by the fungus Penicillium pinophilum. Phytochemistry 1999, 52, 1399–1401. [Google Scholar] [CrossRef]
- Salvatore, M.M.; DellaGreca, M.; Nicoletti, R.; Salvatore, F.; Vinale, F.; Naviglio, D.; Andolfi, A. Talarodiolide, a new 12-membered macrodiolide, and GC/MS investigation of culture filtrate and mycelial extracts of Talaromyces pinophilus. Molecules 2018, 23, 950. [Google Scholar] [CrossRef] [Green Version]
- Liu, Y.; Xia, G.; Li, H.; Ma, L.; Ding, B.; Lu, Y.; He, L.; Xia, X.; She, Z. Vermistatin derivatives with α -glucosidase inhibitory activity from the mangrove endophytic fungus Penicillium sp. HN29-3B1. Planta Med. 2014, 80, 912–917. [Google Scholar] [CrossRef] [Green Version]
- Lacatena, F.; Marra, R.; Mazzei, P.; Piccolo, A.; Digilio, M.C.; Giorgini, M.; Woo, S.L.; Cavallo, P.; Lorito, M.; Vinale, F. Chlamyphilone, a novel Pochonia chlamydosporia metabolite with insecticidal activity. Molecules 2019, 24, 750. [Google Scholar] [CrossRef] [PubMed] [Green Version]
- Vinale, F.; Nicoletti, R.; Lacatena, F.; Marra, R.; Sacco, A.; Lombardi, N.; D’Errico, G.; Digilio, M.C.; Lorito, M.; Woo, S.L. Secondary metabolites from the endophytic fungus Talaromyces pinophilus. Nat. Prod. Res. 2017, 31, 1778–1785. [Google Scholar] [CrossRef] [PubMed] [Green Version]
- Stammati, A.; Nicoletti, R.; De Stefano, S.; Zampaglioni, F.; Zucco, F. Cytostatic properties of a novel compound derived from Penicillium pinophilum: An in vitro study. Altern. Lab. Anim. 2002, 30, 69–75. [Google Scholar] [CrossRef] [PubMed]
- Nicoletti, R.; De Stefano, M.; De Stefano, S.; Trincone, A.; Marziano, F. Antagonism against Rhizoctonia solani and fungitoxic metabolite production by some Penicillium isolates. Mycopathologia 2004, 158, 465–474. [Google Scholar] [CrossRef] [PubMed]
- Mizushina, Y.; Motoshima, H.; Yamaguchi, Y.; Takeuchi, T.; Hirano, K.; Sugawara, F.; Yoshida, H. 3-O-methylfunicone, a selective inhibitor of mammalian Y-family DNA polymerases from an Australian sea salt fungal strain. Mar. Drugs 2009, 7, 624–639. [Google Scholar] [CrossRef] [Green Version]
- Nozawa, K.; Nakajima, S.; Kawai, K.I.; Udagawa, S.I. A γ-pyrone derivative, rapicone from Ramichloridium apiculatum. Phytochemistry 1992, 12, 4177–4179. [Google Scholar] [CrossRef]
- He, F.; Li, X.; Yu, J.H.; Zhang, X.; Nong, X.; Chen, G.; Zhu, K.; Wang, Y.Y.; Bao, J.; Zhang, H. Secondary metabolites from the mangrove sediment-derived fungus Penicillium pinophilum SCAU037. Fitoterapia 2019, 136, 104177. [Google Scholar] [CrossRef]
- Massias, M.; Molho, L.; Rebuffat, S.; Cesario, M.; Guilhen, J.; Pascard, C.; Bodo, B. Vermiculinol and mermiculidiol, macrodiolides from the fungus Penicillium vermiculatum. Phytochemistry 1989, 28, 1491–1494. [Google Scholar] [CrossRef]
- Upadhyay, R.K.; Strobel, G.A.; Coval, S.J.; Clardy, J. Fijiensin, the first phytotoxin from Mycosphaerella fijiensis, the causative agent of Black Sigatoka disease. Experientia 1990, 46, 982–984. [Google Scholar] [CrossRef]
- Murtaza, N.; Husain, S.A.; Sarfaraz, T.B.; Sultana, N.; Faizi, S. Isolation and identification of vermistatin, ergosterol, stearic acid and mannitol, metabolic products of Penicillium verruculosum. Planta Med. 1997, 63, 191. [Google Scholar] [CrossRef]
- Komai, S.I.; Hosoe, T.; Itabashi, T.; Nozawa, K.; Yaguchi, T.; Fukushima, K.; Kawai, K.I. New penicillide derivatives isolated from Penicillium simplicissimum. J. Nat. Med. 2006, 60, 185–190. [Google Scholar] [CrossRef] [PubMed]
- Dethoup, T.; Manoch, L.; Kijjoa, A.; Pinto, M.; Gales, L.; Damas, A.M.; Silva, A.M.S.; Eaton, G.; Herz, W. Merodrimanes and other constituents from Talaromyces thailandiasis. J. Nat. Prod. 2007, 70, 1200–1202. [Google Scholar] [CrossRef] [PubMed]
- Xia, X.K.; Huang, H.R.; She, Z.G.; Cai, J.W.; Lan, L.; Zhang, J.Y.; Fu, L.W.; Vrijmoed, L.L.P.; Lin, Y.C. Structural and biological properties of vermistatin and two new vermistatin derivatives isolated from the marine-mangrove endophytic Guignardia sp. No. 4382. Helv. Chim. Acta 2007, 90, 1925–1931. [Google Scholar] [CrossRef]
- Bai, M.; Zheng, C.J.; Tang, D.Q.; Zhang, F.; Wang, H.Y.; Chen, G.Y. Two new secondary metabolites from a mangrove-derived fungus Cladosporium sp. JS1-2. J. Antibiot. 2019, 72, 779–782. [Google Scholar] [CrossRef]
- Gubiani, J.R.; Wijeratne, E.M.K.; Shi, T.; Araujo, A.R.; Arnold, A.E.; Chapman, E.; Gunatilaka, A.A.L. An epigenetic modifier induces production of (10’S)-verruculide B, an inhibitor of protein tyrosine phosphatases by Phoma sp. nov. LG0217, a fungal endophyte of Parkinsonia microphylla. Bioorganic Med. Chem. 2017, 25, 1860–1866. [Google Scholar] [CrossRef] [Green Version]
- He, X.P. Secondary metabolites of co-culture of Alternaria alternate YX-25 and Streptomyces exfoliatus YX-32. Chinese Tradit. Herb. Drugs 2018, 24, 5772–5779. [Google Scholar]
- Hong, X.; Guan, X.; Lai, Q.; Yu, D.; Chen, Z.; Fu, X.; Zhang, B. Characterization of a bioactive meroterpenoid isolated from the marine—Derived fungus Talaromyces sp. Appl. Microbiol. Biotechnol. 2022, 106, 2927–2935. [Google Scholar] [CrossRef]
- Liu, G.; Huo, R.; Niu, S.; Song, F.; Liu, L. Two new cytotoxic decalin derivatives from marine-derived fungus Talaromyces sp. Chem. Biodivers. 2022, 19, 1–8. [Google Scholar] [CrossRef]
- Liu, W.; Zhao, H.; Li, R.; Zheng, H.; Yu, Q. Polyketides and meroterpenoids from Neosartorya glabra. Helv 2015, 98, 515–519. [Google Scholar] [CrossRef]
- Luo, X.W.; Gao, C.H.; Han, F.H.; Chen, X.Q.; Lin, X.P.; Zhou, X.F.; Wang, J.J.; Liu, Y.H. A new naphthopyranone from the sponge-associated fungus Penicillium sp. XWS02F62. Magn. Reson. Chem. 2019, 57, 982–986. [Google Scholar] [CrossRef]
- Liu, Z.; Xia, G.; Chen, S.; Liu, Y.; Li, H.; She, Z. Eurothiocin a and B, sulfur-containingbenzofurans from a soft coral-derived fungus Eurotium rubrum SH-823. Mar. Drugs 2014, 12, 3669–3680. [Google Scholar] [CrossRef] [PubMed] [Green Version]
- Nonaka, K.; Iwatsuki, M.; Horiuchi, S.; Shiomi, K.; Omura, S.; Masuma, R. Induced production of BE-31405 by co-culturing of Talaromyces siamensis FKA-61 with a variety of fungal strains. J. Antibiot. 2015, 68, 573–578. [Google Scholar] [CrossRef] [PubMed]
- Stierle, A.A.; Stierle, D.B. Bioactive secondary metabolites from acid mine waste extremophiles. Nat. Prod. Commun. 2014, 9, 1037–1044. [Google Scholar] [CrossRef] [PubMed] [Green Version]
- Stierle, A.A.; Stierle, D.B.; Girtsman, T. Caspase-1 inhibitors from an extremophilic fungus that target specific leukemia cell lines. J. Nat. Prod. 2012, 75, 344–350. [Google Scholar] [CrossRef] [Green Version]
- Sun, J.; Zhu, Z.X.; Song, Y.L.; Ren, Y.; Dong, D.; Zheng, J.; Liu, T.; Zhao, Y.F.; Tu, P.F.; Li, J. Anti-neuroinflammatory constituents from the fungus Penicillium purpurogenum MHZ 111. Nat. Prod. Res. 2017, 31, 562–567. [Google Scholar] [CrossRef]
- Fuska, J.; Fuskova, A.; Nemec, P. Vermistatin, an antibiotic with cytotoxic effects, produced from Penicillium vermiculatum. Biologia 1979, 34, 735–739. [Google Scholar]
- Fuska, J.; Uhrín, D.; Proksa, B.; Votický, Z.; Ruppeldt, J. The structure of vermistatin, a new metabolite from Penicillium vermiculatum. J. Antibiot. 1986, 39, 1605–1608. [Google Scholar] [CrossRef] [Green Version]
- Xia, X.K.; Liu, F.; She, Z.G.; Yang, L.G.; Li, M.F.; Vrijmoed, L.L.P.; Lin, Y.C. 1H and 13C NMR assignments for 6-demethylvermistatin and two penicillide derivatives from the mangrove fungus Guignardia sp. (No. 4382) from the South China Sea. Magn. Reson. Chem. 2008, 46, 693–696. [Google Scholar] [CrossRef]
- Ciavatta, M.L.; Manzo, E.; Contillo, R.; Nicoletti, R. Methoxyvermistatin production by Penicillium pinophilum isolate LT4. In Proceedings of the 4th FEMS Congress of European Microbiologists, Geneva, Switzerland, 26–30 June 2011; pp. 26–30. [Google Scholar]
- Ge, H.M.; Shen, Y.; Zhu, C.H.; Tan, S.H.; Ding, H.; Song, Y.C.; Tan, R.X. Penicidones A-C, three cytotoxic alkaloidal metabolites of an endophytic Penicillium sp. Phytochemistry 2008, 69, 571–576. [Google Scholar] [CrossRef]
- Ehrlich, M.; Carell, T. Total syntheses and biological evaluation of 3-O-methylfunicone and its derivatives prepared by TMPZnCl·LiCl-mediated halogenation and carbonylative stille cross-coupling. European J. Org. Chem. 2013, 2013, 77–83. [Google Scholar] [CrossRef]
- Manzo, E.; Ciavatta, M.L.; Nicoletti, R. Process for the Synthesis of Funicone Analogues. WO2012042482A1, 28 September 2012. [Google Scholar]
- Salvatore, M.M.; Andolfi, A.; Nicoletti, R. The genus Cladosporium: A rich source of diverse and bioactive natural compounds. Molecules 2021, 26, 3959. [Google Scholar] [CrossRef] [PubMed]
- Samson, R.A.; Yilmaz, N.; Houbraken, J.; Spierenburg, H.; Seifert, K.A.; Peterson, S.W.; Varga, J.; Frisvad, J.C. Phylogeny and nomenclature of the genus Talaromyces and taxa accommodatedin Penicillium subgenus Biverticillium. Stud. Mycol. 2011, 70, 159–183. [Google Scholar] [CrossRef] [PubMed] [Green Version]
- Fitzpatrick, D.A. Horizontal gene transfer in fungi. FEMS Microbiol. Lett. 2012, 329, 1–8. [Google Scholar] [CrossRef]
- Tiwari, P.; Bae, H. Horizontal gene transfer and endophytes: An implication for the acquisition of novel traits. Plants 2020, 9, 305. [Google Scholar] [CrossRef] [PubMed] [Green Version]
- Vinale, F.; Nicoletti, R.; Borrelli, F.; Mangoni, A.; Parisi, O.A.; Marra, R.; Lombardi, N.; Lacatena, F.; Grauso, L.; Finizio, S.; et al. Co-culture of plant beneficial microbes as source of bioactive metabolites. Sci. Rep. 2017, 7, 1–12. [Google Scholar] [CrossRef] [Green Version]
- Locci, R.; Merlini, L.; Nasini, G.; Locci, J.R. Mitorubrinic acid and related compounds from a strain of Penicillium funiculosum Thom. G. Microbiol. 1967, 15, 93. [Google Scholar]
- Peng, X.Y.; Wu, J.T.; Shao, C.L.; Li, Z.Y.; Chen, M.; Wang, C.Y. Co-culture: Stimulate the metabolic potential and explore the molecular diversity of natural products from microorganisms. Mar. Life Sci. Technol. 2021, 3, 363–374. [Google Scholar] [CrossRef]
- Nakajima, S.; Watashi, K.; Kamisuki, S.; Tsukuda, S.; Takemoto, K.; Matsuda, M.; Suzuki, R.; Aizaki, H.; Sugawara, F.; Wakita, T. Specific inhibition of hepatitis C virus entry into host hepatocytes by fungi-derived sulochrin and its derivatives. Biochem. Biophys. Res. Commun. 2013, 440, 515–520. [Google Scholar] [CrossRef]
- Fiorito, F.; Cerracchio, C.; Salvatore, M.M.; Serra, F.; Pucciarelli, A.; Amoroso, M.G.; Nicoletti, R.; Andolfi, A. Antiviral property of the fungal metabolite 3-O-methylfunicone in bovine Herpesvirus 1 infection. Microorganisms 2022, 10, 188. [Google Scholar] [CrossRef]
- Buommino, E.; Nicoletti, R.; Gaeta, G.M.; Orlando, M.; Ciavatta, M.L.; Baroni, A.; Tufano, M.A. 3-O-methylfunicone, a secondary metabolite produced by Penicillium pinophilum, induces growth arrest and apoptosis in HeLa cells. Cell Prolif. 2004, 37, 413–426. [Google Scholar] [CrossRef]
- Buommino, E.; Boccellino, M.; De Filippis, A.; Petrazzuolo, M.; Cozza, V.; Nicoletti, R.; Ciavatta, M.L.; Quagliuolo, L.; Tufano, M.A. 3-O-methylfunicone produced by Penicillium pinophilum affects cell motility of breast cancer cells, downregulating αvβ5 integrin and inhibiting metalloproteinase-9 secretion. Mol. Carcinog. 2007, 46, 930–940. [Google Scholar] [CrossRef] [PubMed]
- Buommino, E.; Tirino, V.; de Filippis, A.; Silvestri, F.; Nicoletti, R.; Ciavatta, M.L.; Pirozzi, G.; Tufano, M.A. 3-O-methylfunicone, from Penicillium pinophilum, is a selective inhibitor of breast cancer stem cells. Cell Prolif. 2011, 44, 401–409. [Google Scholar] [CrossRef] [PubMed]
- Baroni, A.; De Luca, A.; De Filippis, A.; Petrazzuolo, M.; Manente, L.; Nicoletti, R.; Tufano, M.A.; Buommino, E. 3-O-methylfunicone, a metabolite of Penicillium pinophilum, inhibits proliferation of human melanoma cells by causing G2 + M arrest and inducing apoptosis. Cell Prolif. 2009, 42, 541–553. [Google Scholar] [CrossRef] [PubMed]
- Buommino, E.; Paoletti, I.; De Filippis, A.; Nicoletti, R.; Ciavatta, M.L.; Menegozzo, S.; Menegozzo, M.; Tufano, M.A. 3-O-Methylfunicone, a metabolite produced by Penicillium pinophilum, modulates ERK1/2 activity, affecting cell motility of human mesothelioma cells. Cell Prolif. 2010, 43, 114–123. [Google Scholar] [CrossRef]
- Buommino, E.; De Filippis, A.; Nicoletti, R.; Menegozzo, M.; Menegozzo, S.; Ciavatta, M.L.; Rizzo, A.; Brancato, V.; Tufano, M.A.; Donnarumma, G. Cell-growth and migration inhibition of human mesothelioma cells induced by 3-O-methylfunicone from Penicillium pinophilum and cisplatin. Invest. New Drugs 2012, 30, 1343–1351. [Google Scholar] [CrossRef]
- Pleadin, J.; Frece, J.; Markov, K. Mycotoxins in food and feed. Adv. Food Nutr. Res. 2019, 89, 297–345. [Google Scholar]
- Madariaga-Mazón, A.; Hernández-Alvarado, R.B.; Noriega-Colima, K.O.; Osnaya-Hernández, A.; Martinez-Mayorga, K. Toxicity of secondary metabolites. Phys. Sci. Rev. 2019, 4, 1–11. [Google Scholar] [CrossRef]
- Drakopoulos, D.; Sulyok, M.; Krska, R.; Logrieco, A.F.; Vogelgsang, S. Raised concerns about the safety of barley grains and straw: A Swiss survey reveals a high diversity of mycotoxins and other fungal metabolites. Food Control 2021, 125, 107919. [Google Scholar] [CrossRef]
- Noar, R.D.; Thomas, E.; Daub, M.E. Genetic characteristics and metabolic interactions between Pseudocercospora fijiensis and banana: Progress toward controlling black Sigatoka. Plants 2022, 11, 948. [Google Scholar] [CrossRef]
- Ayeni, K.I.; Sulyok, M.; Krska, R.; Ezekiel, C.N. Fungal and plant metabolites in industrially-processed fruit juices in Nigeria. Food Addit. Contam. Part B Surveill. 2020, 13, 155–161. [Google Scholar] [CrossRef]
- Barral, B.; Chillet, M.; Doizy, A.; Grassi, M.; Ragot, L.; Léchaudel, M.; Durand, N.; Rose, L.J.; Viljoen, A.; Schorr-Galindo, S. Diversity and toxigenicity of fungi that cause pineapple fruitlet core rot. Toxins 2020, 12, 339. [Google Scholar] [CrossRef] [PubMed]
- Vignassa, M.; Meile, J.C.; Chiroleu, F.; Soria, C.; Leneveu-Jenvrin, C.; Schorr-Galindo, S.; Chillet, M. Pineapple mycobiome related to fruitlet core rot occurrence and the influence of fungal species dispersion patterns. J. Fungi 2021, 7, 175. [Google Scholar] [CrossRef] [PubMed]
- Müller, W.A.; Silva, P.R.S. Da Modelagem e simulação do crescimento de Talaromyces flavus em abacaxi: Uma integração entre modelos cinéticos e de fenômenos de transporte. Brazilian J. Food Technol. 2019, 22, 1–15. [Google Scholar] [CrossRef]
- Evelyn, E.; Muria, S.R.; Chairul, C.; Fozla, D.; Khoirunnisa, F.K. Thermal inactivation of Talaromyces flavus ascospores in pineapple juice as influenced by temperature, soluble solids, and spore age. J. Adv. Res. Fluid Mech. Therm. Sci. 2020, 69, 111–119. [Google Scholar] [CrossRef]
- Nicoletti, R.; Carella, A. Composti a scheletro funiconico prodotti da specie di Penicillium. Petria 2004, 14, 1–11. [Google Scholar]
- Kemboi, D.C.; Ochieng, P.E.; Antonissen, G.; Croubels, S.; Scippo, M.L.; Okoth, S.; Kangethe, E.K.; Faas, J.; Doupovec, B.; Lindahl, J.F.; et al. Multi-mycotoxin occurrence in dairy cattle and poultry feeds and feed ingredients from Machakos Town, Kenya. Toxins 2020, 12, 762. [Google Scholar] [CrossRef]
- Chen, A.; Mao, X.; Sun, Q.; Wei, Z.; Li, J.; You, Y.; Zhao, J.; Jiang, G.; Wu, Y.; Wang, L.; et al. Alternaria mycotoxins: An overview of toxicity, metabolism, and analysis in food. J. Agric. Food Chem. 2021, 69, 7817–7830. [Google Scholar] [CrossRef]
- Nicoletti, R.; Salvatore, M.M.; Andolfi, A. Secondary metabolites of mangrove-associated strains of Talaromyces. Mar. Drugs 2018, 16, 12. [Google Scholar] [CrossRef] [Green Version]
- Mincuzzi, A.; Sanzani, S.M.; Garganese, F.; Ligorio, A.; Ippolito, A. First report of Talaromyces albobiverticillius causing postharvest fruit rot on pomegranate in Italy. J. Plant Pathol. 2017, 99, 303. [Google Scholar]
- Yang, Q.; Wang, H.; Zhang, H.; Zhang, X.; Apaliya, M.T.; Zheng, X.; Mahunu, G.K. Effect of Yarrowia lipolytica on postharvest decay of grapes caused by Talaromyces rugulosus and the protein expression profile of T. rugulosus. Postharvest Biol. Technol. 2017, 126, 15–22. [Google Scholar] [CrossRef]
- Stošić, S.; Ristić, D.; Gašić, K.; Starović, M.; Grbić, M.L.; Vukojević, J.; Živković, S. Talaromyces minioluteus: New postharvest fungal pathogen in Serbia. Plant Dis. 2020, 104, 656–667. [Google Scholar] [CrossRef] [PubMed]
- Stošić, S.; Ristić, D.; Savković, Ž.; Grbić, M.L.; Vukojević, J.; Živković, S. Penicillium and Talaromyces species as postharvest pathogens of pear fruit (Pyrus communis) in Serbia. Plant Dis. 2021, 105, 3510–3521. [Google Scholar] [CrossRef] [PubMed]
- Mukhtar, I.; Quan, X.; Chou, T.; Huang, Q.; Yan, J.; Chen, B.; Jiang, S.; Liu, F.; Wen, Z.; Xie, B. First report of Talaromyces funiculosus causing fruit core rot of peach (Prunus persica) in China. Plant Dis. 2019, 103, 2124. [Google Scholar] [CrossRef]
- Wang, L.; Du, Y.; Ju, L.; Zhao, Y.; Zhang, R.; Sun, G.; Gleason, M.L. Ramichloridium apiculatum, a new record for China, causing sooty blotch and flyspeck. Mycotaxon 2014, 127, 121–127. [Google Scholar] [CrossRef]






| Code | Name | Formula | Nominal Mass (U) | Source |
|---|---|---|---|---|
| True Funicones | ||||
| 1 | Funicone | C19H18O8 | 374 | [2,3,4,5,6,7,8] |
| 2 | Actofunicone | C21H22O9 | 418 | [9] |
| 3 | Deoxyfunicone | C19H18O7 | 358 | [5,7,9,10,11,12,13,14] |
| 4 | 9,14-Epoxy-11-deoxyfunicone | C19H18O8 | 374 | [4] |
| 5 | 9R,14S-Epoxy-11-deoxyfunicone | C19H18O8 | 374 | [14] |
| 6 | 9S,14R-Epoxy-11-deoxyfunicone | C19H18O8 | 374 | [14] |
| 7 | 3-O-Methyl-5,6-epoxyfunicone | C20H20O9 | 404 | [15] |
| 8 | 6-Hydroxyl-deoxyfunicone | C19H18O8 | 374 | [8] |
| 9 | Isofunicone | C19H18O8 | 374 | [16] |
| 10 | 3-O-Methylfunicone | C20H20O8 | 388 | [5,7,17,18,19,20,21,22,23,24,25,26] |
| 11 | Rapicone | C17H16O7 | 332 | [27] |
| 12 | Pinophilone A | C19H18O8 | 374 | [28] |
| 13 | Pinophilone B | C19H18O8 | 374 | [28] |
| Furopyrone type | ||||
| 14 | Penifupyrone | C19H18O8 | 374 | [5,17,18] |
| Phthalide type | ||||
| 15 | Vermistatin (=fijiensin) | C18H16O6 | 328 | [3,4,6,7,9,12,20,21,28,29,30,31,32,33,34,35,36,37,38,39,40,41,42,43,44,45,46,47,48] |
| 16 | Acetoxydihydrovermistatin | C20H20O8 | 388 | [6,33] |
| 17 | 6-Demethylvermistatin | C17H14O6 | 314 | [8,21,28,40,49] |
| 18 | 14,15-Dihydrovermistatin | C18H18O6 | 330 | [6,8,12,28,33,36,38,41,44,45,46] |
| 19 | 2″-epihydroxydihydrovermistatin | C18H18O7 | 346 | [21,28] |
| 20 | Hydroxydihydrovermistatin | C18H18O7 | 346 | [6,33] |
| 21 | Hydroxyvermistatin | C18H16O7 | 344 | [7,21,28,34] |
| 22 | 5′-O-methyldihydrovermistatin | C19H20O7 | 360 | [28] |
| 23 | Methoxyvermistatin | C19H18O7 | 358 | [6,7,21,28,34,40,42,50] |
| 24 | Neosarphenol A | C18H16O6 | 344 | [40] |
| 25 | Penisimplicissin | C16H14O6 | 302 | [3,6,20,21,28,33,44,45] |
| 26 | 6-Demethylpenisimplicissin | C15H12O6 | 288 | [21,28] |
| 27 | 5′-Hydroxypenisimplicissin | C16H14O7 | 318 | [21] |
| 28 | Pinophilone C | C17H16O6 | 316 | [28] |
| 29 | Pinophilone D | C18H18O7 | 346 | [28] |
| Pyridone type | ||||
| 30 | Penicidone A | C18H17NO5 | 327 | [51] |
| 31 | Penicidone B | C17H15NO5 | 313 | [51] |
| 32 | Penicidone C | C19H19NO6 | 357 | [18,21,28,51] |
| 33 | Penicidone D | C20H21NO7 | 387 | [17,18,28] |
| 34 | Talarodone A | C20H23NO8 | 405 | [18] |
| Species | Source/Lifestyle/Substrate | Location | Compounds | Ref. |
|---|---|---|---|---|
| Dothideomycetes, Pleosporales, Didymellaceae | ||||
| Phoma sp. nov. LG0217 | Endophytic in Parkinsonia microphylla | Tucson (Arizona, USA) | 15, 18 | [36] |
| Dothideomycetes, Botryosphaeriales, Phyllostictaceae | ||||
| Guignardia sp. No. 4382 | Endophytic in Kandelia candel | Hong Kong (China) | 17 | [49] |
| Dothideomycetes, Mycosphaerellales, Mycosphaerellaceae | ||||
| Pseudocercospora (=Mycosphaerella) fijiensis | Banana plant | Honduras | 15 | [30] |
| Dothideomycetes, Capnodiales, Dissoconaceae | ||||
| Ramichloridium apiculatum NHL2956 | Air in bakery | Nagoya (Japan) | 11 | [27] |
| Dothideomycetes, Cladosporiales, Cladosporiaceae | ||||
| Cladosporium sp. JS1-2 | endophytic in Ceriops tagal | Hainan (China) | 15 | [35] |
| Eurotiomycetes, Eurotiales, Aspergillaceae | ||||
| Aspergillus neoglaber (identified as Neosartorya glabra) CGMCC 32286 | Unknown | China | 24 | [40] |
| Aspergillus ruber (identified as Eurotium rubrum) SH-823 | Soft coral (Sarcophyton sp.) | Xuwen (China) | 15, 23 | [42] |
| Penicillium citreonigrum PAI 1/1 C | Sponge (Pseudoceratina purpurea) | Bali (Indonesia) | 3, 15, 18 | [12] |
| Penicillium glabrum SF-7123 | Sediment | Ross Sea (Antarctica) | 3 | [13] |
| Penicillium simplicissimum IFM53375 | Unknown | Japan | 1, 15, 16, 18, 20, 25 | [6] |
| Penicillium sp. | Endophytic in Riccardia multifida | Maoer Mountain (China) | 8, 17, 1 | [8] |
| Penicillium sp. | Unknown | Japan | 3 | [10] |
| Penicillium sp. | Unknown | Japan | 9 | [16] |
| Penicillium sp. | Ash | Mount Pinotubo (Philippines) | 3 | [11] |
| Eurotiomycetes, Eurotiales, Trichocomaceae | ||||
| Talaromyces flavus | 15 | [29] | ||
| Talaromyces flavus CCM-F748 | Slovakia | 15 | [47] | |
| Talaromyces flavus FKI-0076 | Soil | Hiroo (Japan) | 2, 3, 15 | [9] |
| Talaromyces flavus IFM52668 | Unknown | Japan | 1, 4, 15 | [4] |
| Talaromyces pinophilus F36CF | Endophytic in Arbutus unedo | Favignana Isle (Italy) | 10 | [58] |
| Talaromyces pinophilus H608 | Mangrove sediment | Xiamen (China) | 1, 3, 10, 15, 21, 23 | [7] |
| Talaromyces sp. IPV2 (identified as Penicillium funiculosum) | Apple root | Sondrio Province (Italy) | 1 | [2,59] |
| Talaromyces pinophilus LT4, LT6 | Soil from rhizosphere of Nicotiana tabacum | Lecce Province (Italy) | 7, 10 | [15,19] |
| Talaromyces pinophilus SCAU037 | Soil from rhizosphere of Rhizophora stylosa | Techeng Isle (China) | 10, 12, 13, 15, 17, 18, 19, 21, 22, 23, 25, 26, 28, 29, 32, 33 | [28] |
| Talaromyces pinophilus ST2 | Soil from rhizosphere of Nicotiana tabacum | Scafati (Italy) | 10 | [25] |
| Talaromyces purpureogenus MHZ 111 | Soil | Mohe (China) | 15, 18 | [46] |
| Talaromyces ruber (identified as Penicillium rubrum) | Water | Berkeley Pit lake (USA) | 15, 18, 25 | [45] |
| Talaromyces sp. ZHS32 | Marine sediment | Zhejiang (China) | 15 | [39] |
| Talaromyces sp. AF1-2 (unidentified in original report) | Salt pan | Australia | 10 | [26] |
| Talaromyces sp. HM6-1-1 | Seawater | Dongshan Isle (China) | 15, 18 | [38] |
| Talaromyces sp. HN29-3B1 (identified as Penicillium sp.) | Endophytic in Cerbera manghas | Hainan (China) | 15, 17, 19, 21 23, 25, 26, 27 | [21] |
| Talaromyces sp. HSZ-43 (identified as Penicillium sp.) | Endophytic in Trypterigium wilfordii | Shanxi (China) | 1, 3, 10, 14 | [5] |
| Talaromyces sp. IFB-E022 (identified as Penicillium sp.) | Endophytic in Quercus variabilis | Zijin Mountain (China) | 30, 31, 32 | [51] |
| Talaromyces sp. XWS02F62 (identified as Penicillium sp.) | Sponge (Callyspongia sp.) | Xuwen County (China) | 15, 18 | [41] |
| Talaromyces thailandiasis KPFC 3399 | Soil | Thailand | 15, 20, 25 | [33] |
| Talaromyces verruculosus CMI294548 | Unknown | Pakistan | 15 | [31] |
| Species 1 | Species 2 | Source/Substrate | Location | Compounds | Ref. |
|---|---|---|---|---|---|
| Alternaria alternata YX-25 | Streptomyces exfoliatus YX-32 | mangrove mud | Yunxiao (China) | 15 | [37] |
| Penicillium sp. WC-29-5 | Streptomyces fradiae 007 | rhizosphere of Aegiceras corniculatum/sediment | Hainan (China) Jiaozhou Bay (China) | 3, 5, 6, 15 | [14] |
| Talaromyces pinophilus 17F4103 | Paraphaeosphaeria sp. 17F4110 | soil | Miyazaki (Japan) | 10, 14, 32, 33, 34 | [18] |
| Talaromyces siamensis FKA-61 | Phomopsis sp. FKA-62 | soil | Japan | 15 | [43] |
| Name (Code) | Bioactivity | Concentration | Bioassay | Ref. |
|---|---|---|---|---|
| Actofunicone (2) | Reinforcement of miconazole | 3.7 µM | Candida albicans (IC50) | [9] |
| 6-Demethylpenisimplicissin (26) | Enzyme inhibitory | 9.5 µM | α-glucosidase (IC50) | [21] |
| Deoxyfunicone (3) | Anticholesterol | 10 µM | Efflux from RAW264.7 | [7] |
| Antiviral | 4.6 µM | HCV (IC50 on Huh-7.5.1) | [61] | |
| Cytotoxic | 22.6 µM | KB (IC50) | [5] | |
| Enzyme inhibitory | 24.3 µM | Protein tyrosine phosphate 1B (IC50) | [13] | |
| 1.1–4.4 µM | HIV-1-integrase (IC50) | [11] | ||
| Lipid inhibitory | 10 µM | Accumulation in HepG2 | [7] | |
| Downregulation of FAS, ACC, HMGR | ||||
| Decrease in oxLDL in RAW264.7 | ||||
| NO inhibitory | 10.6 µM 40.1 µM | LPS-stimulated BV2 (IC50) LPS-stimulated RAW264.7 (IC50) | [13] | |
| PGE2 inhibitory | 32.3 µM | LPS-stimulated BV2 (IC50) | [13] | |
| Reinforcement of miconazole | 1.6 µM | C. albicans (IC50) | [9] | |
| 2″-epiHydroxydihydrovermistatin (19) | Enzyme inhibitory | 8 µM | α-glucosidase (IC50) | [21] |
| 9,14-Epoxy-11-deoxyfunicone (4) | Antifungal | 0.53 µmol/disc | Aspergillus niger | [4] |
| 9R,14S-Epoxy-11-deoxyfunicone (5) | Cytotoxic | 3.97 µM | H1975 (IC50) | [14] |
| 9S,14R-Epoxy-11-deoxyfunicone (6) | Cytotoxic | 3.73 µM 5.73 µM | HL-60 (IC50) H1975 (IC50) | [14] |
| Funicone (1) | Anticholesterol | 10 µM | Efflux from RAW264.7 | [7] |
| Antifungal | 0.27 µmol/disc | Aspergillus fumigatus | [4] | |
| Cytotoxic | 13.2 µM | KB (IC50) | [5] | |
| Lipid inhibitory | 10 µM | Accumulation in HepG2 | [7] | |
| Downregulation of FAS, ACC, HMGR | ||||
| Isofunicone (9) | Pollen growth inhibitory | 8.02 mM | Camellia sinensis (84%) | [16] |
| Hydroxyvermistatin (21) | Anticholesterol | 10 µM | Efflux from RAW264.7 | [7] |
| Upregulation of PPARγ, LXRα, ABCG1 | ||||
| Decrease scavenger receptors CD36, SR-1 | ||||
| Enzyme inhibitory | 20.3 µM | α-glucosidase (IC50) | [21] | |
| Lipid inhibitory | 10 µM | Accumulation in HepG2 | [7] | |
| Decrease in FAS, ACC, HMGR | ||||
| Decrease in oxLDL in RAW264.7 | ||||
| Methoxyvermistatin (23) | Anticholesterol | 10 µM | Decrease scavenger receptors CD36, SR-1 | [7] |
| Cytotoxic | 0.056 mM 0.042 mM | KB (IC50) KBv200 (IC50) | [34] | |
| Enzymatic inhibitory | 236 µM | α-glucosidase (IC50) | [42] | |
| Lipid inhibitory | 10 µM | Decrease in oxLDL in RAW264.7 | [7] | |
| 3-O-Methylfunicone (10) | Anticholesterol | 10 µM | Efflux from RAW264.7 | [7] |
| Antifungal | 0.27 mM | Rhizoctonia solani, Fusarium solani, Cylindrocladium scoparium, Alternaria alternata (IC100) | [19] | |
| Antiviral | 5 µM | decreased mortality of MDBK infected by BoHV-1 | [62] | |
| 6.2 µM | HCV (IC50 on Huh-7.5.1) | [61] | ||
| Cytotoxic/ antiproliferative/ proapoptotic | 35.3 µM | KB (IC50) | [5] | |
| 10 µM | MDBK (IC50) | [62] | ||
| 63.8 µM 63.3 µM | HCT116 (LD50) HeLa (LD50) | [26] | ||
| 0.16 mM | HEp-2; inhibition colony formation, decrease neutral red uptake, inhibition O2 consumption (IC50) | [24] | ||
| 0.07 mM | HeLa (44%); promotion p21; downregulation cyclin D1/Cdk4 complex | [63] | ||
| 0.21 mM | MCF-7; downregulates αvβ5 integrin, MMP-9 inhibitor, impairs microtubule assemblage, inhibitor of survivin, hTERT and Nanog-1 expression, reduces mammospheres | [64,65] | ||
| 0.21 mM | A375M (IC85, 48 h) | [66] | ||
| 0.14 mM | NCI-H2452; decreases αvβ5 integrin, MMP-2, VEGF, ERK1/2; synergism with cisplatin | [67,68] | ||
| Enzyme Inhibitory | 12.5 µM 50.1 µM 34.3 µM | DNA polymerase κ DNA polymerase η DNA polymerase ι | [26] | |
| 5 mM | DNA polymerase κ and η | [52] | ||
| Insecticidal | 0.14 mM | Acyrthosiphon pisum (26.2%) | [23] | |
| Lipid inhibitory | 10 µM | Accumulation in HepG2 | [7] | |
| Decrease in FAS, ACC, HMGR | ||||
| Decrease in oxLDL in RAW264.7 | ||||
| Penicidone A (30) | Cytotoxic | 60.1 µM 54 µM 46.5 µM 41.5 µM | SW116 (IC50) K562 (IC50) KB (IC50) HeLa (IC50) | [51] |
| Penicidone B (31) | Cytotoxic | 54.2 µM 21.1 µM 29.6 µM 35.1 µM | SW116 (IC50) K562 (IC50) KB (IC50) HeLa (IC50) | [51] |
| Penicidone C (32) | Cytotoxic | 80.8 µM 54.3 µM 44.3 µM 54.7 µM | SW116 (IC50) K562 (IC50) KB (IC50) HeLa (IC50) | [51] |
| Enzyme inhibitory | 51.9 µM | α-glucosidase (IC50) | [28] | |
| Penifupyrone (14) | Cytotoxic | 4.7 µM | KB (IC50) | [5] |
| Penisimplicissin (25) | Cytotoxic | −6.70 −5.83 | CCRF-CEM (log10 GI50) HL-60 (log10 GI50) | [45] |
| Enzyme inhibitory | 0.66 mM 0.33 mM | IL-1β (IC100) caspase 1 (IC100) | [44] | |
| Rapicone (11) | Enzyme inhibitory | 5 mM | DNA polymerase κ | [52] |
| Vermistatin (15) | Antibacterial | 0.076 mM | Staphylococcus aureus, Bacillus cereus (MIC) | [35] |
| Anticholesterol | 10 µM | Efflux from RAW264.7 | [7] | |
| Decrease scavenger receptors CD36, SR-1 | ||||
| Cytotoxic | 0.28 mM | KB (IC50) | [34] | |
| 33.9 µM | B16 (IC50) | [39] | ||
| Enzyme inhibitory | 29.2 µM | α-glucosidase (IC50) | [21] | |
| 107.1 µM | α-glucosidase (IC50) | [42] | ||
| Insecticidal | 0.46 mM | Helicoverpa armigera (IC50) | [35] | |
| Lipid inhibitory | 10 µM | accumulation in HepG2 | [7] | |
| Decrease in FAS, ACC, HMGR | ||||
| Decrease in oxLDL in RAW264.7 | ||||
| NO inhibitory | 52.7 µM | LPS-stimulated BV2 (IC50) | [46] | |
| Phytotoxic | 3.1–6.1 mM | Banana leaves | [30] | |
| Reinforcement of miconazole | 2.1 µM | C. albicans (IC50) | [9] |
Publisher’s Note: MDPI stays neutral with regard to jurisdictional claims in published maps and institutional affiliations. |
© 2022 by the authors. Licensee MDPI, Basel, Switzerland. This article is an open access article distributed under the terms and conditions of the Creative Commons Attribution (CC BY) license (https://creativecommons.org/licenses/by/4.0/).
Share and Cite
Salvatore, M.M.; DellaGreca, M.; Andolfi, A.; Nicoletti, R. New Insights into Chemical and Biological Properties of Funicone-like Compounds. Toxins 2022, 14, 466. https://doi.org/10.3390/toxins14070466
Salvatore MM, DellaGreca M, Andolfi A, Nicoletti R. New Insights into Chemical and Biological Properties of Funicone-like Compounds. Toxins. 2022; 14(7):466. https://doi.org/10.3390/toxins14070466
Chicago/Turabian StyleSalvatore, Maria Michela, Marina DellaGreca, Anna Andolfi, and Rosario Nicoletti. 2022. "New Insights into Chemical and Biological Properties of Funicone-like Compounds" Toxins 14, no. 7: 466. https://doi.org/10.3390/toxins14070466
APA StyleSalvatore, M. M., DellaGreca, M., Andolfi, A., & Nicoletti, R. (2022). New Insights into Chemical and Biological Properties of Funicone-like Compounds. Toxins, 14(7), 466. https://doi.org/10.3390/toxins14070466

