Glucose-Dependent Insulinotropic Polypeptide and Substance P Mediate Emetic Response Induction by Masked Trichothecene Deoxynivalenol-3-Glucoside through Ca2+ Signaling
Abstract
:1. Introduction
2. Results
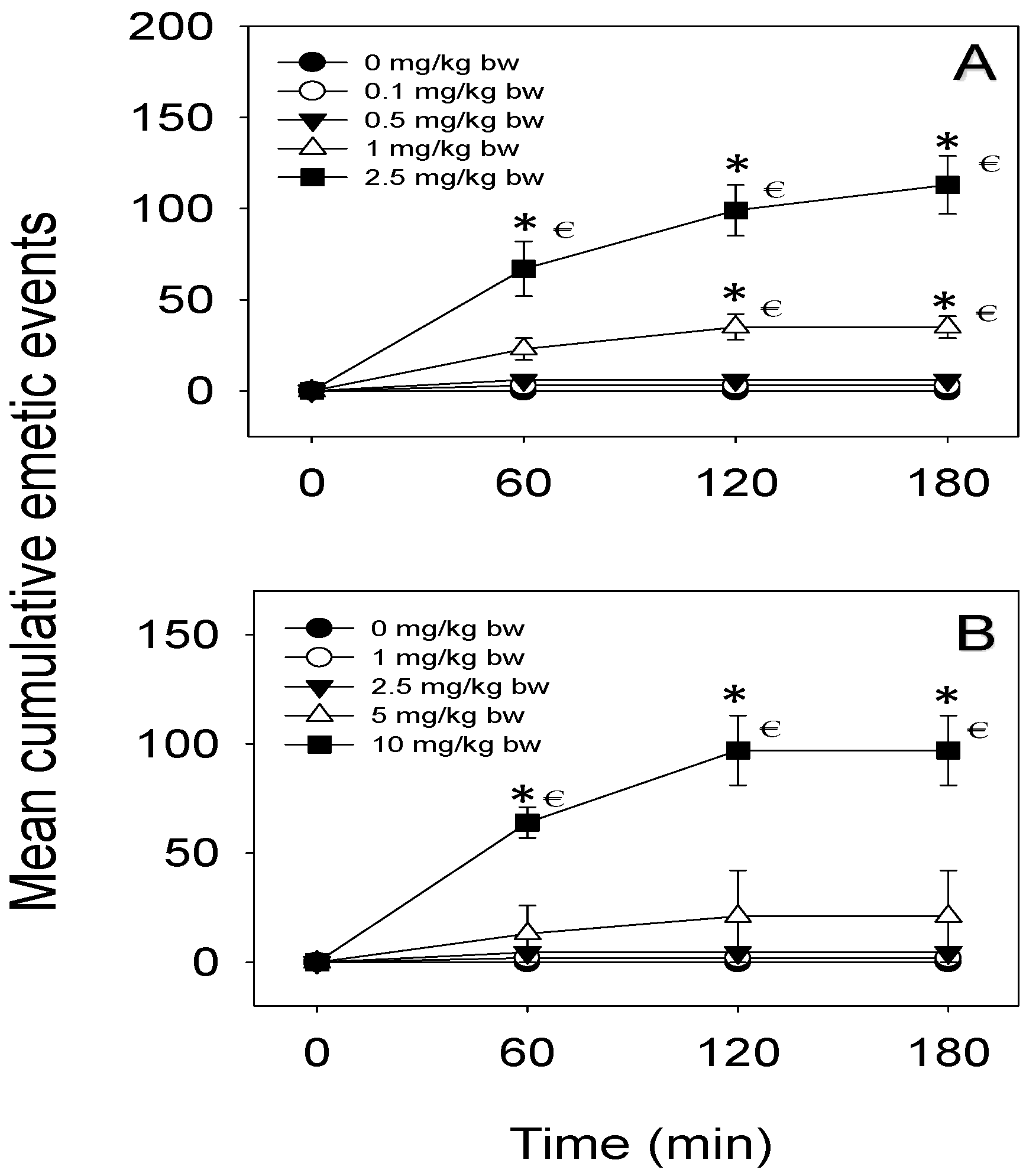
2.1. Emetic Potencies of D3G following Oral and IP Dosing
2.2. D3G-Induced Emetic Effect Corresponds to Elevation of GIP and SP
2.3. Effects of Brain-Gut Peptide Receptor Inhibitor on D3G-Induced Emesis
2.4. Roles of CaSR and TRP Channel on D3G-Induced Emesis and Brain-Gut Peptides
3. Discussion
4. Conclusions
5. Materials and Methods
5.1. Animal and Reagent
5.2. Experimental Design
5.3. Statistics
Author Contributions
Funding
Institutional Review Board Statement
Informed Consent Statement
Data Availability Statement
Conflicts of Interest
References
- You, L.; Zhao, Y.; Kuca, K.; Wang, X.; Oleksak, P.; Chrienova, Z.; Nepovimova, E.; Jaćević, V.; Wu, Q.; Wu, W. Hypoxia, oxidative stress, and immune evasion: A trinity of the trichothecenes T-2 toxin and deoxynivalenol (DON). Arch. Toxicol. 2021, 95, 1899–1915. [Google Scholar] [CrossRef] [PubMed]
- EFSA. Scientific opinion on the risk to human and animal health related to the presence of deoxynivalenol and its acetylated and modified forms in food and feed. EFSA J. 2017, 15, 345. [Google Scholar]
- Zhang, L.; Ma, R.; Zhu, M.; Zhang, N.; Liu, X.; Wang, Y.; Qin, T.; Zheng, L.; Liu, Q.; Zhang, W.; et al. Effect of deoxynivalenol on the porcine acquired immune response and potential remediation by a novel modified HSCAS adsorbent. Food Chem. Toxicol. 2020, 138, 111187. [Google Scholar] [CrossRef] [PubMed]
- Mishra, S.; Srivastava, S.; Dewangan, J.; Divakar, A.; Rath, S.K. Global occurrence of deoxynivalenol in food commodities and exposure risk assessment in humans in the last decade: A survey. Crit. Rev. Food Sci. Nutr. 2020, 60, 1346–1374. [Google Scholar] [CrossRef] [PubMed]
- Zhao, L.; Zhang, L.; Xu, Z.; Liu, X.; Chen, L.; Dai, J.; Karrow, N.; Sun, L. Occurrence of Aflatoxin B-1, deoxynivalenol and zearalenone in feeds in China during 2018–2020. J. Anim. Sci. Biotechnol. 2021, 12, 74. [Google Scholar] [CrossRef] [PubMed]
- Deng, Y.; You, L.; Nepovimova, E.; Wang, X.; Musilek, K.; Wu, Q.; Wu, W.; Kuca, K. Biomarkers of deoxynivalenol (DON) and its modified form DON-3-glucoside (DON-3G) in humans. Trends Food Sci. Technol. 2021, 110, 551–558. [Google Scholar] [CrossRef]
- Biomin. BIOMIN Mycotoxin Survey Q3 2021 Results. Available online: https://www.biomin.net/science-hub/biomin-mycotoxin-survey-q3-2021-results/ (accessed on 6 March 2022).
- Liu, M.; Zhao, L.; Gong, G.; Zhang, L.; Shi, L.; Dai, J.; Han, Y.; Wu, Y.; Khalil, M.; Sun, L. Invited review: Remediation strategies for mycotoxin control in feed. J. Anim. Sci. Biotechnol. 2022, 13, 19. [Google Scholar] [CrossRef] [PubMed]
- Zhou, H.; Guog, T.; Dai, H.; Yu, Y.; Zhang, Y.; Ma, L. Deoxynivalenol: Toxicological profiles and perspective views for future research. World Mycotoxin J. 2020, 13, 179–188. [Google Scholar] [CrossRef]
- Pestka, J.J. Deoxynivalenol: Mechanisms of action, human exposure, and toxicological relevance. Arch. Toxicol. 2010, 84, 663–679. [Google Scholar] [CrossRef]
- Wu, F.; Groopman, J.D.; Pestka, J.J. Public health impacts of foodborne mycotoxins. Annu. Rev. Food Sci. Technol. 2014, 5, 351–372. [Google Scholar] [CrossRef] [Green Version]
- Suzuki, T.; Iwahashi, Y. Low Toxicity of Deoxynivalenol-3-Glucoside in Microbial Cells. Toxins 2015, 7, 187–200. [Google Scholar] [CrossRef] [PubMed] [Green Version]
- JECFA. Evaluation of certain contaminants in food: 72nd report of the joint FAO/WHO expert committee on food additives. In Deoxynivalenol; WHO Technical Report Series, No. 959; WHO Press: Geneva, Switzerland, 2011; pp. 37–48. [Google Scholar]
- Freire, L.; Sant’Ana, A.S. Modified mycotoxins: An updated review on their formation, detection, occurrence, and toxic effects. Food Chem. Toxicol. 2018, 111, 189–205. [Google Scholar] [CrossRef] [PubMed]
- Payros, D.; Alassane-Kpembi, I.; Pierron, A.; Loiseau, N.; Pinton, P.; Oswald, I.P. Toxicology of deoxynivalenol and its acetylated and modified forms. Arch. Toxicol. 2016, 90, 2931–2957. [Google Scholar] [CrossRef] [PubMed]
- Vidal, A.; Claeys, L.; Mengelers, M.; Vanhoorne, V.; Vervaet, C.; Huybrechts, B.; De Saeger, S.; De Boevre, M. Humans significantly metabolize and excrete the mycotoxin deoxynivalenol and its modified form deoxynivalenol-3-glucoside within 24 hours. Sci. Rep. 2018, 8, 5255. [Google Scholar] [CrossRef] [Green Version]
- Gratz, S.W.; Duncan, G.; Richardson, A.J. Human fecal microbiota metabolize deoxynivalenol and deoxynivalenol-3-glucoside and may be responsible for urinary de-epoxy deoxynivalenol. Appl. Environ. Microbiol. 2013, 79, 1821–1825. [Google Scholar] [CrossRef] [Green Version]
- Gratz, S.W.; Currie, V.; Richardson, A.J.; Duncan, G.; Holtrop, G.; Farquharson, F.; Louis, P.; Pinton, P.; Oswald, I.P. Porcine Small and Large Intestinal Microbiota Rapidly Hydrolyze the Masked Mycotoxin Deoxynivalenol-3-Glucoside and Release Deoxynivalenol in Spiked Batch Cultures In Vitro. Appl. Microbiol. Biotechnol. 2018, 84, e02106–e02117. [Google Scholar] [CrossRef] [Green Version]
- Wu, W.; Zhou, H.R.; Bursian, S.J.; Pan, X.; Link, J.E.; Berthiller, F.; Adam, G.; Krantis, A.; Durst, T.; Pestka, J.J. Comparison of ano-rectic and emetic potencies of deoxynivalenol (vomitoxin) to the plant metabolite deoxynivalenol-3-glucoside and synthetic de-oxynivalenol derivatives EN139528 and EN139544. Toxicol. Sci. 2014, 142, 167–181. [Google Scholar] [CrossRef] [Green Version]
- Wu, W.; Zhou, H.R.; Bursian, S.J.; Link, J.E.; Pestka, J.J. Emetic responses to T-2 toxin, HT-2 toxin and emetine correspond to plasma elevations of peptide YY3-36 and 5-hydroxytryptamine. Arch. Toxicol. 2016, 90, 997–1007. [Google Scholar] [CrossRef]
- Wu, W.; Bates, M.A.; Bursian, S.J.; Link, J.E.; Flannery, B.M.; Sugita-Konishi, Y.; Watanabe, M.; Zhang, H.; Pestka, J.J. Comparison of emetic potencies of the 8-ketotrichothecenes deoxynivalenol, 15-acetyldeoxynivalenol, 3-acetyldeoxynivalenol, fusarenon X, and nivalenol. Toxicol. Sci. 2013, 131, 279–291. [Google Scholar] [CrossRef]
- Wu, W.; Zhou, H.R.; Pestka, J.J. Potential roles for calcium-sensing receptor (CaSR) and transient receptor potential ankyrin-1 (TRPA1) in murine anorectic response to deoxynivalenol (vomitoxin). Arch. Toxicol. 2017, 91, 495–507. [Google Scholar] [CrossRef]
- Wu, W.; Zhou, H.R.; Bursian, S.J.; Link, J.E.; Pestka, J.J. Calcium-sensing receptor and transient receptor ankyrin-1 mediate emesis induction by deoxynivalenol (vomitoxin). Toxicol. Sci. 2017, 155, 32–42. [Google Scholar] [CrossRef] [PubMed] [Green Version]
- Liou, A.P. Digestive physiology of the pig symposium: G protein-coupled receptors in nutrient chemosensation and gastrointestinal hormone secretion. J. Anim. Sci. 2013, 91, 1946–1956. [Google Scholar] [CrossRef] [PubMed] [Green Version]
- Reimann, F.; Tolhurst, G.; Gribble, F.M. G-protein coupled receptors in intestinal chemosensation. Cell Metab. 2012, 15, 421–431. [Google Scholar] [CrossRef] [PubMed] [Green Version]
- Zhou, H.R.; Pestka, J.J. Deoxynivalenol (vomitoxin)-induced cholecystokinin and glucagon-like peptide-1 release in the STC-1 enteroendocrine cell model is mediated by calcium-sensing receptor and transient receptor potential ankyrin-1 channel. Toxicol. Sci. 2015, 145, 407–417. [Google Scholar] [CrossRef] [PubMed]
- Naylor, R.J.; Rudd, J.A. Mechanisms of chemotherapy/radiotherapy-induced emesis in animal models. Oncology 1996, 53, 8–17. [Google Scholar] [CrossRef]
- Horn, C.C.; Wallisch, W.J.; Homanics, G.E.; Williams, J.P. Why is the neurobiology of nausea and vomiting so important? Appetite 2008, 50, 430–434. [Google Scholar] [CrossRef] [Green Version]
- Johnston, K.D.; Lu, Z.; Rudd, J.A. Looking beyond 5-HT(3) receptors: A review of the wider role of serotonin in the pharmacology of nausea and vomiting. Eur. J. Pharmacol. 2014, 722, 13–25. [Google Scholar] [CrossRef]
- Koga, T.; Fukuda, H. Descending pathway from the central pattern generator of vomiting. Neuroreport 1997, 8, 2587–2590. [Google Scholar] [CrossRef]
- Navari, R.M.; Aapro, M. Antiemetic Prophylaxis for Chemotherapy-Induced Nausea and Vomiting. N. Engl. J. Med. 2016, 374, 1356–1367. [Google Scholar] [CrossRef]
- Finan, B.; Douros, J.D. GLP-1/GIP/glucagon receptor triagonism gets its try in humans. Cell Metab. 2022, 34, 3–4. [Google Scholar] [CrossRef]
- Kim, D.Y.; Piao, J.; Hong, H.S. Substance-P inhibits cardiac microvascular endothelial dysfunction caused by high glucose-induced oxidative stress. Antioxidants 2021, 10, 1084. [Google Scholar] [CrossRef] [PubMed]
- Meleine, M.; Melchior, C.; Prinz, P.; Penfornis, A.; Coffin, B.; Stengel, A.; Ducrotté, P.; Gourcerol, G. Gastrointestinal peptides during chronic gastric electrical stimulation in patients with intractable vomiting. Neuromodulation 2017, 20, 774–782. [Google Scholar] [CrossRef] [PubMed]
- Jin, Z.; Daksla, N.; Gan, T.J. Neurokinin-1 antagonists for postoperative nausea and vomiting. Drugs 2021, 81, 1171–1179. [Google Scholar] [CrossRef] [PubMed]
- Tian, L.; Qian, W.; Qian, Q.; Zhang, W.; Cai, X. Gingerol inhibits cisplatin-induced acute and delayed emesis in rats and minks by regulating the central and peripheral 5-HT, SP, and DA systems. J. Nat. Med. 2020, 74, 353–370. [Google Scholar] [CrossRef] [PubMed] [Green Version]
- Forsyth, D.M.; Yoshizawa, T.; Morooka, N.; Tuite, J. Emetic and refusal activity of deoxynivalenol to swine. Appl. Environ. Microbiol. 1977, 34, 547–552. [Google Scholar] [CrossRef] [Green Version]
- Yue, J.; Guo, D.; Gao, X.; Wang, J.; Nepovimova, E.; Wu, W.; Kuca, K. Deoxynivalenol (Vomitoxin)-induced anorexia is induced by the release of intestinal hormones in mice. Toxins 2021, 13, 512. [Google Scholar] [CrossRef] [PubMed]
- Zhang, J.; Jia, H.; Wang, Q.; Zhang, Y.; Wu, W.; Zhang, H. Role of peptide YY3-36 and glucose-dependent insulinotropic polypeptide in anorexia induction by trichothecences T-2 toxin, HT-2 toxin, diacetoxyscirpenol, and neosolaniol. Toxicol. Sci. 2017, 159, 203–210. [Google Scholar] [CrossRef] [Green Version]
- Zhang, J.; Zhang, H.; Liu, S.L.; Wu, W.; Zhang, H. Comparison of anorectic potencies of type A trichothecenes T-2 toxin, HT-2 toxin, diacetoxyscirpenol, and neosolaniol. Toxins 2018, 10, 179. [Google Scholar] [CrossRef] [Green Version]
- Sheng, K.; Zhang, H.; Yue, J.; Gu, W.; Gu, C.; Zhang, H.; Wu, W. Anorectic response to the trichothecene T-2 toxin correspond to plasma elevations of the satiety hormone glucose-dependent insulinotropic polypeptide and peptide YY3-36. Toxicology 2018, 402–403, 28–36. [Google Scholar] [CrossRef]
- Sheng, K.; Lu, X.; Yue, J.; Gu, W.; Gu, C.; Zhang, H.; Wu, W. Role of neurotransmitters 5-hydroxytryptamine and substance P in anorexia induction following oral exposure to the trichothecene T-2 toxin. Food Chem. Toxicol. 2019, 123, 1–8. [Google Scholar] [CrossRef]
- Jia, H.; Wu, W.; Lu, X.; Zhang, J.; He, C.H.; Zhang, H.B. Role of glucagon-like peptide-1 and gastric inhibitory peptide in anorexia induction following oral exposure to the trichothecene mycotoxin deoxynivalenol (Vomitoxin). Toxicol. Sci. 2017, 159, 16–24. [Google Scholar] [CrossRef] [PubMed]
- Yamamoto, K.; Asano, K.; Tasaka, A.; Ogura, Y.; Kim, S.; Ito, Y.; Yamatodani, A. Involvement of substance P in the development of cisplatin-induced acute and delayed pica in rats. Br. J. Pharmacol. 2014, 171, 2888–2899. [Google Scholar] [CrossRef] [PubMed] [Green Version]
- Urva, S.; Coskun, T.; Loghin, C.; Cui, X.; Beebe, E.; O’Farrell, L.; Briere, D.A.; Benson, C.; Nauck, M.A.; Haupt, A. The novel dual glucose-dependent insulinotropic polypeptide and glucagon-like peptide-1 (GLP-1) receptor agonist tirzepatide transiently delays gastric emptying similarly to selective long-acting GLP-1 receptor agonists. Diabetes Obes. Metab. 2020, 22, 1886–1891. [Google Scholar] [CrossRef] [PubMed]
- Sun, X.; Xu, L.; Guo, F.; Luo, W.; Gao, S.; Luan, X. Neurokinin-1 receptor blocker CP-99 994 improved emesis induced by cisplatin via regulating the activity of gastric distention responsive neurons in the dorsal motor nucleus of vagus and enhancing gastric motility in rats. Neurogastroenterol. Motil. 2017, 29, 1–11. [Google Scholar] [CrossRef] [PubMed]
- Prelusky, D.B.; Trenholm, H.L. The efficacy of various classes of anti-emetics in preventing deoxynivalenol-induced vomiting in swine. Nat. Toxins 1993, 1, 296–302. [Google Scholar] [CrossRef] [PubMed]
- Liu, M.; Zhang, L.; Chu, X.; Ma, R.; Wang, Y.; Liu, Q.; Zhang, N.; Karrow, N.; Sun, L. Effects of deoxynivalenol on the porcine growth performance and intestinal microbiota and potential remediation by a modified HSCAS binder. Food Chem. Toxicol. 2020, 141, 111373. [Google Scholar] [CrossRef]
- Koivisto, A.P.; Belvisi, M.G.; Gaudet, R.; Szallasi, A. Advances in TRP channel drug discovery: From target validation to clinical studies. Nat. Rev. Drug Discov. 2022, 21, 41–59. [Google Scholar] [CrossRef]
- Moran, M.M. TRP channels as potential drug targets. Annu. Rev. Pharmacol. Toxicol. 2018, 58, 309–330. [Google Scholar] [CrossRef]
- Nilius, B.; Szallasi, A. Transient receptor potential channels as drug targets: From the science of basic research to the art of medicine. Pharmacol. Rev. 2014, 66, 676–814. [Google Scholar] [CrossRef]
- Gorvin, C.M. Molecular and clinical insights from studies of calcium-sensing receptor mutations. J. Mol. Endocrinol. 2019, 63, R1–R16. [Google Scholar] [CrossRef] [Green Version]
- Tuffour, A.; Kosiba, A.A.; Zhang, Y.; Peprah, F.A.; Gu, J.; Shi, H. Role of the calcium-sensing receptor (CaSR) in cancer metastasis to bone: Identifying a potential therapeutic target. Biochim. Biophys. Acta Rev. Cancer 2021, 1875, 188528. [Google Scholar] [CrossRef] [PubMed]
- Berthiller, F.; Dall′Asta, C.; Schuhmacher, R.; Lemmens, M.; Adam, G.; Krska, R. Masked mycotoxins: Determination of a deoxynivalenol glucoside in artificially and naturally contaminated wheat by liquid chromatography-tandem mass spectrometry. J. Agric. Food Chem. 2005, 53, 3421–3425. [Google Scholar] [CrossRef] [PubMed]
- Wu, W.; Bates, M.A.; Bursian, S.J.; Flannery, B.; Zhou, H.R.; Link, J.E.; Zhang, H.; Pestka, J.J. Peptide YY3-36 and 5-hydroxytryptamine mediate emesis induction by trichothecene deoxynivalenol (vomitoxin). Toxicol. Sci. 2013, 133, 186–195. [Google Scholar] [CrossRef] [PubMed] [Green Version]








| Exposure Route | Dose (mg/kg bw) | Incidence (Responding/Tested) | Latency (min) A,B | Duration (min) A,B | Emetic Episodes C | ||
|---|---|---|---|---|---|---|---|
| Retch | Vomit | Total | |||||
| Oral | 0 | 0/5 | - | - | 0 ± 0 | 0 ± 0 | 0 ± 0 |
| 0.1 | 0/5 | - | - | 0 ± 0 | 0 ± 0 | 0 ± 0 | |
| 0.5 | 0/5 | - | - | 0 ± 0 | 0 ± 0 | 0 ± 0 | |
| 1 | 2/5 | 31 ± 3 a | 33 ± 2 a | 27 ± 4 | 8 ± 2 | 35 ± 6 | |
| 2.5 * | 5/5 | 25 ± 4 a | 101 ± 9 b | 92 ± 10 | 21 ± 6 | 113 ± 16 | |
| IP | 0 | 0/5 | - | - | 0 ± 0 | 0 ± 0 | 0 ± 0 |
| 1 | 0/5 | - | - | 0 ± 0 | 0 ± 0 | 0 ± 0 | |
| 2.5 | 0/5 | - | - | 0 ± 0 | 0 ± 0 | 0 ± 0 | |
| 5 | 1/5 | 37 ± 0 a | 9 ± 0 a | 16 ± 16 | 5 ± 5 | 21 ± 21 | |
| 10 * | 5/5 | 32 ± 5 a | 82 ± 6 b | 83 ± 10 | 14 ± 6 | 97 ± 16 | |
Publisher’s Note: MDPI stays neutral with regard to jurisdictional claims in published maps and institutional affiliations. |
© 2022 by the authors. Licensee MDPI, Basel, Switzerland. This article is an open access article distributed under the terms and conditions of the Creative Commons Attribution (CC BY) license (https://creativecommons.org/licenses/by/4.0/).
Share and Cite
Qin, Z.; Zhang, H.; Wu, Q.; Wei, B.; Wu, R.; Guo, X.; Xiao, H.; Wu, W. Glucose-Dependent Insulinotropic Polypeptide and Substance P Mediate Emetic Response Induction by Masked Trichothecene Deoxynivalenol-3-Glucoside through Ca2+ Signaling. Toxins 2022, 14, 371. https://doi.org/10.3390/toxins14060371
Qin Z, Zhang H, Wu Q, Wei B, Wu R, Guo X, Xiao H, Wu W. Glucose-Dependent Insulinotropic Polypeptide and Substance P Mediate Emetic Response Induction by Masked Trichothecene Deoxynivalenol-3-Glucoside through Ca2+ Signaling. Toxins. 2022; 14(6):371. https://doi.org/10.3390/toxins14060371
Chicago/Turabian StyleQin, Zihui, Hua Zhang, Qinghua Wu, Ben Wei, Ran Wu, Xinyi Guo, Huiping Xiao, and Wenda Wu. 2022. "Glucose-Dependent Insulinotropic Polypeptide and Substance P Mediate Emetic Response Induction by Masked Trichothecene Deoxynivalenol-3-Glucoside through Ca2+ Signaling" Toxins 14, no. 6: 371. https://doi.org/10.3390/toxins14060371
APA StyleQin, Z., Zhang, H., Wu, Q., Wei, B., Wu, R., Guo, X., Xiao, H., & Wu, W. (2022). Glucose-Dependent Insulinotropic Polypeptide and Substance P Mediate Emetic Response Induction by Masked Trichothecene Deoxynivalenol-3-Glucoside through Ca2+ Signaling. Toxins, 14(6), 371. https://doi.org/10.3390/toxins14060371

