Centrifugation-Assisted Solid-Phase Extraction Coupled with UPLC-MS/MS for the Determination of Mycotoxins in ARECAE Semen and Its Processed Products
Abstract
1. Introduction
2. Results and Discussion
2.1. Optimization of the UPLC-MS/MS System
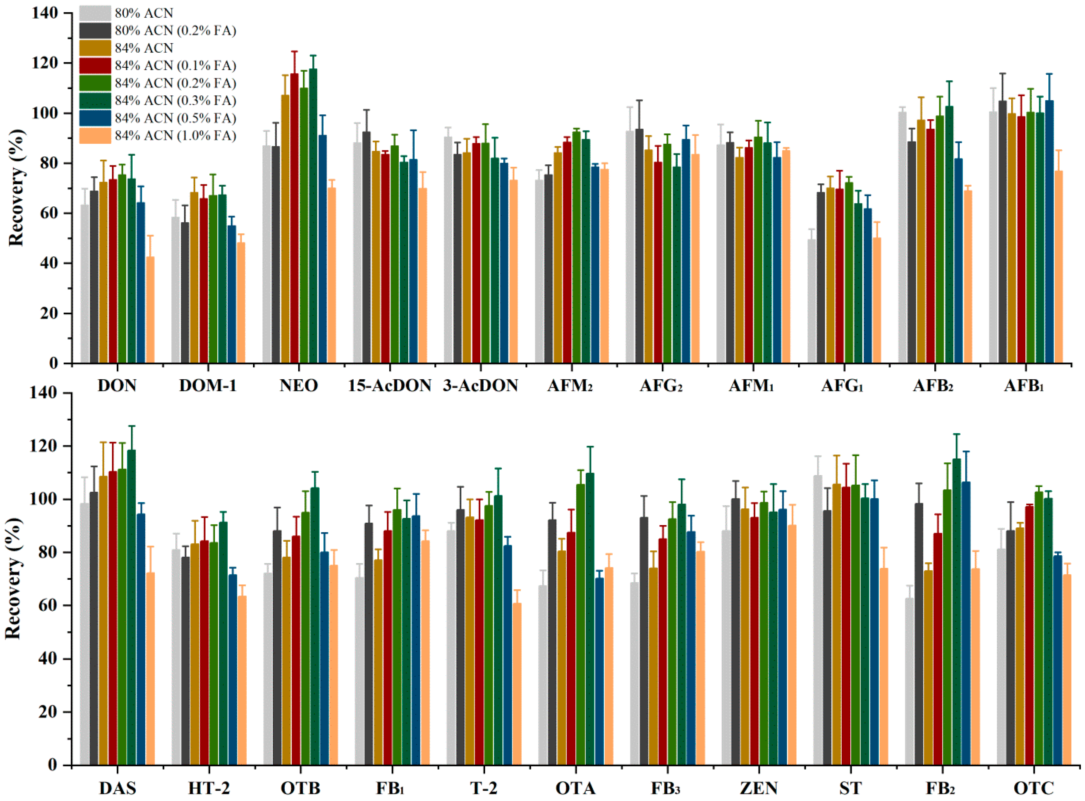
2.2. Optimization of Sample Preparation
2.3. Matrix Effect
2.4. Method Validation
2.5. Application
3. Conclusions
4. Materials and Methods
4.1. Chemicals and Reagents
4.2. UPLC-MS/MS Conditions
4.3. Samples
4.4. Sample Preparation
4.5. Preparation of Standard Solutions
4.6. Method Validation
4.7. Matrix Effect Evaluation
Supplementary Materials
Author Contributions
Funding
Institutional Review Board Statement
Informed Consent Statement
Data Availability Statement
Conflicts of Interest
References
- Jia, M.; Liao, X.; Fang, L.; Jia, B.; Liu, M.; Li, D.; Zhou, L.; Kong, W. Recent advances on immunosensors for mycotoxins in foods and other commodities. TrAC Trend Anal. Chem. 2021, 136, 116193. [Google Scholar] [CrossRef]
- Zhang, L.; Dou, X.W.; Zhang, C.; Logrieco, A.F.; Yang, M.H. A Review of Current Methods for Analysis of Mycotoxins in Herbal Medicines. Toxins 2018, 10, 65. [Google Scholar] [CrossRef] [PubMed]
- Weaver, A.C.; Adams, N.; Yiannikouris, A. Invited Review: Use of technology to assess and monitor multimycotoxin and emerging mycotoxin challenges in feedstuffs. Appl. Anim. Behav. Sci. 2020, 36, 19–25. [Google Scholar] [CrossRef]
- Haque, M.A.; Wang, Y.; Shen, Z.; Li, X.; Saleemi, M.K.; He, C. Mycotoxin contamination and control strategy in human, domestic animal and poultry: A review. Microb. Pathogenes. 2020, 142, 104095. [Google Scholar] [CrossRef] [PubMed]
- Sarpangala, K.; Sarpangala, M.; Devasya, A. Antimicrobial properties of Areca Nut, Areca catechu, L: A Review. Int. J. Res. Ayurveda Pharm. 2017, 8, 8–12. [Google Scholar] [CrossRef]
- Peng, W.; Liu, Y.J.; Wu, N.; Sun, T.; He, X.Y.; Gao, Y.X.; Wu, C.J. Areca catechu L. (Arecaceae): A review of its traditional uses, botany, phytochemistry, pharmacology and toxicology. J. Ethnopharmacol. 2015, 164, 340–356. [Google Scholar] [CrossRef] [PubMed]
- Asghar, A.; Ahmed, A.; Asghar, M. Comparison of aflatoxins contamination levels in betel nuts (Areca catechu L.) imported from Asian countries. Agric. Food Sec. 2020, 9, 8. [Google Scholar] [CrossRef]
- Liu, H.M.; Luo, J.Y.; Kong, W.J.; Liu, Q.T.; Hu, Y.C.; Yang, M.H. UFLC-ESI-MS/MS analysis of multiple mycotoxins in medicinal and edible Areca catechu. Chemosphere 2016, 150, 176–183. [Google Scholar] [CrossRef] [PubMed]
- Lin, H.Y.; Agrawal, D.C.; Yang, W.G.; Chien, W.J. A simple HPLC-MS/MS method for the analysis of multi-mycotoxins in betel nut. Int. J. Appl. Sci. Eng. 2021, 18, 2021145. [Google Scholar] [CrossRef]
- Song, E.; Pyreddy, S.; Mechref, Y. Quantification of glycopeptides by multiple reaction monitoring liquid chromatography/tandem mass spectrometry. Rapid Commun. Mass Spectrom. 2012, 26, 1941–1954. [Google Scholar] [CrossRef]
- Pereira, V.L.; Fernandes, J.; Cunha, S. Mycotoxins in cereals and related foodstuffs: A review on occurrence and recent methods of analysis. Trends Food Sci. Technol. 2014, 36, 96–136. [Google Scholar] [CrossRef]
- Berthiller, F.; Burdaspal, P.A.; Crews, C.; Iha, M.H.; Krska, R.; Lattanzio, V.M.; Macdonald, S.; Malone, R.J.; Maragos, C.M.; Solfrizzo, M.; et al. Developments in mycotoxin analysis: An update for 2012–2013. World Mycotoxin J. 2014, 7, 3–33. [Google Scholar] [CrossRef]
- Dagnac, T.; Latorre, A.; Fernández, L.B.; Llompart, M. Validation and application of a liquid chromatography-tandem mass spectrometry based method for the assessment of the co-occurrence of mycotoxins in maize silages from dairy farms in NW Spain. Food Addit. Contam. A 2016, 33, 1850–1863. [Google Scholar] [CrossRef] [PubMed]
- Kresse, M.; Drinda, H.; Romanotto, A.; Speer, K. Simultaneous determination of pesticides, mycotoxins, and metabolites as well as other contaminants in cereals by LC × LC-MS/MS. J. Chromatogr. B 2019, 1117, 86–102. [Google Scholar] [CrossRef] [PubMed]
- Du, Y.T.; Wang, Q.; Yang, G.L.; Han, F.L. Determination of 43 pesticide residues in intact grape berries (Vitis vinifera L.) by using an ultrasound-assisted acetonitrile extraction method followed by LC–MS/MS. Food Control. 2022, 140, 109123. [Google Scholar] [CrossRef]
- Zhao, X.S.; Liu, D.; Zhang, L.; Zhou, Y.K.; Yang, M.H. Development and Optimization of a Method Based on QuEChERS-dSPE Followed by UPLC-MS/MS for the Simultaneous Determination of 21 Mycotoxins in Nutmeg and Related Products. Microchem. J. 2021, 168, 106499. [Google Scholar] [CrossRef]
- Tang, Z.; Liu, F.; Fang, F.; Ding, X.; Han, Q.; Tan, Y.; Peng, C. Solid-phase extraction techniques based on nanomaterials for mycotoxin analysis: An overview for food and agricultural products. J. Sep. Sci. 2022, 45, 2273–2300. [Google Scholar] [CrossRef]
- Martí, M.P.; Pantaleón, A.; Rozek, A.; Soler, A.; Valls, J.; Macia, A.; Romero, M.P.; Motilva, M.J. Rapid analysis of procyanidins and anthocyanins in plasma by microelution SPE and ultra-HPLC. J. Sep. Sci. 2010, 33, 2841–2853. [Google Scholar] [CrossRef]
- Liu, Q.T.; Xiao, C.; Liu, H.M.; Hu, Y.C.; Guo, W.Y.; Kong, W.J. Sensitive assessment of multi-class mycotoxins residue in Atractylodis rhizoma. Ind. Crops Prod. 2019, 127, 1–10. [Google Scholar] [CrossRef]
- Guo, W.B.; Yang, J.H.; Niu, X.K.; Tangni, E.K.; Zhao, Z.H.; Han, Z. A reliable and accurate UHPLC-MS/MS method for screening of Aspergillus, Penicillium and Alternaria mycotoxins in orange, grape and apple juices. Anal. Methods 2021, 13, 192–201. [Google Scholar] [CrossRef]
- European Commission. Commission Decision 2002/657/EC of 12 August 2002 implementing council directive 96/23/EC concerning the performance of analytical methods and the interpretation of results. Off. J. Eur. Commun. 2002, 221, 8–36. [Google Scholar]
- Chinese Pharmacopoeia Commission. Pharmacopoeia of People’s Republic of China; China Medical Science Press: Beijing, China, 2020.
- Diaz, C.; Granero, A.; Zon, M.; Fernández, H. Sterigmatocystin: A mycotoxin to be seriously considered. Food Chem. Toxicol. 2018, 118, 460–470. [Google Scholar] [CrossRef] [PubMed]
- International Agency for Research on Cancer (IARC). Some naturally occurring substances. In IARC Monographs on the Evaluation of Carcinogenic Risks to Humans. Summaries and Evaluations; IARC Monographs on the Evaluation of Carcinogenic Risks to Humans, Supplement 7; IARC Press: Lyon, France, 1987. [Google Scholar]
- Zheng, R.; Xu, H.; Wang, W.; Zhan, R.; Chen, W. Simultaneous determination of aflatoxin B1, B2, G1, G2, ochratoxin A, and sterigmatocystin in traditional Chinese medicines by LC–MS–MS. Anal. Bioanal. Chem. 2014, 406, 3031–3039. [Google Scholar] [CrossRef] [PubMed]
- Zingales, V.; Fernández-Franzón, M.; Ruiz, M.J. Sterigmatocystin: Occurrence, toxicity and molecular mechanisms of action—A review. Food Chem. Toxicol. 2020, 146, 111802. [Google Scholar] [CrossRef] [PubMed]
- Bijl, P.; Vismer, H. Incidence of fungi and aflatoxins in imported areca nut samples. S. Afr. J. Sci. 1996, 92, 154–156. [Google Scholar]
- Yenjit, P.; Issarakraisila, M.; Intana, W.; Chantrapromma, K. Fungicidal activity of compounds extracted from the pericarp of Areca catechu against Colletotrichum gloeosporioides in vitro and in mango fruit. Postharvest Biol. Tecnol. 2010, 55, 129–132. [Google Scholar] [CrossRef]
- Zhao, X.S.; Kong, W.J.; Wang, S.; Wei, J.H.; Yang, M.H. Simultaneous analysis of multiple mycotoxins in Alpinia oxyphylla by UPLC-MS/MS. World Mycotoxin J. 2016, 10, 41–51. [Google Scholar] [CrossRef]





| Mycotoxins | tR (min) | Parent Ion | Cone Voltage (V) | MRM Transitions | |||
|---|---|---|---|---|---|---|---|
| Quantification | Identification | ||||||
| Product Ion | Collision Energy (eV) | Product Ion | Collision Energy (eV) | ||||
| DON | 1.61 | 297.1 | 23 | 249.1 | 10 | 231.1 | 12 |
| DOM-1 | 2.77 | 281.1 | 22 | 215.1 | 13 | 233.1 | 13 |
| NEO | 3.05 | 400.37 | 26 | 305.14 | 12 | 215.1 | 16 |
| 3-AcDON | 4.26 | 339.2 | 24 | 231.1 | 13 | 203.0 | 14 |
| 15-AcDON | 4.34 | 339.2 | 24 | 321.1 | 10 | 261.0 | 12 |
| AFM2 | 4.81 | 331.1 | 38 | 313.1 | 17 | 285.1 | 25 |
| AFG2 | 5.21 | 331.2 | 54 | 245.1 | 28 | 189.0 | 44 |
| AFM1 | 5.33 | 329.0 | 36 | 273.0 | 23 | 259.1 | 25 |
| AFG1 | 5.67 | 329.2 | 56 | 243.1 | 26 | 283.1 | 42 |
| AFB2 | 6.08 | 315.1 | 60 | 287.1 | 26 | 259.1 | 30 |
| AFB1 | 6.46 | 313.2 | 58 | 241.1 | 34 | 285.1 | 22 |
| DAS | 6.75 | 384.3 | 23 | 307.1 | 11 | 229.0 | 15 |
| HT-2 | 8.06 | 442.2 | 20 | 215.2 | 13 | 263.1 | 13 |
| OTB | 8.42 | 370.2 | 31 | 205.1 | 16 | 324.1 | 13 |
| FB1 | 8.61 | 722.5 | 45 | 352.3 | 32 | 334.2 | 35 |
| T-2 | 8.90 | 484.2 | 20 | 305.2 | 15 | 185.1 | 25 |
| OTA | 9.10 | 404.2 | 20 | 105.1 | 18 | 239.1 | 21 |
| FB3 | 9.48 | 706.5 | 68 | 336.2 | 35 | 318.2 | 35 |
| ZEN | 9.50 | 319.2 | 34 | 187.1 | 20 | 185.1 | 25 |
| ST | 9.77 | 325.1 | 51 | 310.1 | 23 | 281.1 | 31 |
| FB2 | 10.32 | 706.4 | 53 | 354.2 | 34 | 688.2 | 29 |
| OTC | 11.35 | 432.2 | 34 | 239.1 | 22 | 358.1 | 14 |
| [13C17]-AFB1(IS) | 6.46 | 330.2 | 19 | 301.1 | 27 | / | / |
| [13C34]-FB1(IS) | 8.61 | 756.7 | 50 | 356.4 | 40 | / | / |
| [13C20]-OTA(IS) | 9.10 | 424.4 | 28 | 250.0 | 27 | / | / |
| Mycotoxins | WBL | BLS | JBL | DFP | ||||
|---|---|---|---|---|---|---|---|---|
| ME (%) | RSD (%) | ME (%) | RSD (%) | ME (%) | RSD (%) | ME (%) | RSD (%) | |
| DON | 78.30 | 9.88 | 75.23 | 7.60 | 90.04 | 6.65 | 95.57 | 8.09 |
| DOM-1 | 101.07 | 7.70 | 98.33 | 10.34 | 83.56 | 9.87 | 79.97 | 7.49 |
| NEO | 128.25 | 12.25 | 134.78 | 8.24 | 100.66 | 5.37 | 119.15 | 3.59 |
| 15-AcDON | 78.98 | 5.27 | 86.50 | 6.86 | 90.01 | 6.13 | 115.82 | 10.15 |
| 3-AcDON | 90.20 | 5.03 | 94.28 | 2.96 | 84.63 | 4.93 | 106.96 | 2.72 |
| AFM2 | 100.93 | 6.77 | 102.75 | 5.09 | 113.10 | 4.02 | 114.20 | 11.71 |
| AFG2 | 77.91 | 3.85 | 73.85 | 9.10 | 79.41 | 3.03 | 63.83 | 7.62 |
| AFM1 | 104.53 | 8.57 | 107.21 | 3.99 | 108.63 | 6.56 | 104.95 | 7.23 |
| AFG1 | 71.68 | 8.70 | 75.97 | 4.52 | 75.36 | 7.91 | 72.28 | 12.18 |
| AFB2 | 91.18 | 9.97 | 93.93 | 6.40 | 102.46 | 7.29 | 100.19 | 2.07 |
| AFB1 | 109.10 | 9.54 | 105.93 | 5.32 | 121.08 | 7.03 | 121.46 | 11.21 |
| DAS | 124.47 | 7.83 | 126.74 | 4.93 | 120.10 | 6.23 | 117.74 | 6.15 |
| HT-2 | 87.07 | 8.20 | 79.13 | 4.41 | 96.54 | 5.07 | 106.59 | 7.52 |
| OTB | 101.67 | 8.48 | 112.47 | 8.63 | 100.44 | 11.10 | 109.55 | 10.29 |
| FB1 | 77.11 | 8.00 | 81.49 | 6.31 | 79.01 | 3.75 | 56.50 | 3.80 |
| T-2 | 94.45 | 6.08 | 96.82 | 6.87 | 91.95 | 6.01 | 103.20 | 3.83 |
| OTA | 104.73 | 5.52 | 109.08 | 3.94 | 110.97 | 6.10 | 101.18 | 2.44 |
| FB3 | 81.61 | 4.30 | 87.63 | 5.89 | 81.44 | 5.32 | 59.14 | 5.15 |
| ZEN | 90.79 | 4.68 | 103.88 | 10.51 | 106.08 | 5.99 | 111.18 | 8.11 |
| ST | 94.35 | 10.71 | 92.77 | 5.41 | 97.55 | 5.47 | 105.63 | 9.50 |
| FB2 | 84.93 | 6.48 | 90.66 | 3.76 | 80.96 | 6.57 | 66.74 | 4.63 |
| OTC | 108.44 | 6.67 | 107.11 | 8.85 | 109.17 | 9.00 | 111.53 | 6.21 |
| Mycotoxins | Calibration Curves | r2 | Linear Range (μg/kg) | LOQ (μg/kg) | LOD (μg/kg) | Precision (%) | |
|---|---|---|---|---|---|---|---|
| Intra-Day (n = 6) | Inter-Day (n = 6) | ||||||
| DON | Y = 0.0097X − 0.0118 | 0.9989 | 2.5–250 | 2.5 | 1.0 | 4.76 | 5.75 |
| DOM-1 | Y = 0.0120X − 0.0202 | 0.9962 | 2.5–250 | 2.5 | 1.0 | 2.30 | 4.01 |
| NEO | Y = 0.0534X − 0.0203 | 0.9992 | 2.5–500 | 2.5 | 0.8 | 2.67 | 2.48 |
| 3-AcDON | Y = 0.0588X − 0.0047 | 0.9983 | 2.5–500 | 2.5 | 0.8 | 2.34 | 2.79 |
| 15-AcDON | Y = 0.0280X − 0.0373 | 0.9988 | 2.5–500 | 2.5 | 0.8 | 2.44 | 3.76 |
| AFM2 | Y = 0.3726X − 0.0174 | 0.9990 | 0.1–50 | 0.1 | 0.04 | 2.21 | 3.19 |
| AFG2 | Y = 0.3746X − 0.0226 | 0.9994 | 0.1–25 | 0.1 | 0.05 | 4.77 | 5.14 |
| AFM1 | Y = 0.5129X − 0.0005 | 0.9998 | 0.1–50 | 0.1 | 0.04 | 2.42 | 3.73 |
| AFG1 | Y = 0.7509X − 0.0888 | 0.9979 | 0.1–50 | 0.1 | 0.04 | 1.82 | 2.45 |
| AFB2 | Y = 0.4713X − 0.0034 | 0.9952 | 0.1–25 | 0.1 | 0.05 | 4.35 | 7.51 |
| AFB1 | Y = 0.5695X − 0.0376 | 0.9992 | 0.1–50 | 0.1 | 0.04 | 1.44 | 2.83 |
| DAS | Y = 0.1918X + 0.0294 | 0.9998 | 2.5–500 | 2.5 | 0.8 | 1.95 | 2.95 |
| HT-2 | Y = 0.0134X − 0.0194 | 0.9978 | 1.0–250 | 1.0 | 0.4 | 3.78 | 3.96 |
| OTB | Y = 0.7845X + 0.0042 | 0.9997 | 0.25–250 | 0.25 | 0.1 | 1.19 | 2.04 |
| FB1 | Y = 0.0321X − 0.02 | 0.9970 | 5.0–1000 | 5.0 | 1.5 | 3.49 | 4.05 |
| T-2 | Y = 0.0704X − 0.0296 | 0.9978 | 1.0–250 | 1.0 | 0.4 | 2.75 | 3.57 |
| OTA | Y = 0.2748X + 0.0149 | 0.9988 | 0.25–250 | 0.25 | 0.1 | 2.33 | 4.32 |
| FB3 | Y = 0.0956X − 0.0588 | 0.9991 | 5.0–1000 | 5.0 | 1.5 | 2.16 | 4.52 |
| ZEN | Y = 0.0247X − 0.01 | 0.9980 | 1.0–250 | 1.0 | 0.4 | 2.33 | 4.47 |
| ST | Y = 0.4391X + 0.3946 | 0.9997 | 1.0–250 | 1.0 | 0.3 | 1.80 | 3.19 |
| FB2 | Y = 0.0648X − 0.0226 | 0.9997 | 5.0–1000 | 5.0 | 1.5 | 2.44 | 3.98 |
| OTC | Y = 1.5487X + 0.0199 | 0.9954 | 0.25–250 | 0.25 | 0.1 | 3.29 | 4.79 |
| Mycotoxins | Spike Levels | |||||
|---|---|---|---|---|---|---|
| Low * | Middle | High | ||||
| Recovery (%) | RSD (%) | Recovery (%) | RSD (%) | Recovery (%) | RSD (%) | |
| DON | 59.52 | 6.32 | 75.38 | 5.54 | 71.58 | 6.89 |
| DOM-1 | 62.07 | 8.35 | 67.13 | 7.67 | 76.68 | 7.33 |
| NEO | 109.77 | 11.13 | 110.04 | 10.57 | 117.28 | 4.88 |
| 3-AcDON | 84.97 | 4.72 | 86.88 | 4.46 | 88.24 | 5.37 |
| 15-AcDON | 86.20 | 8.36 | 86.04 | 5.52 | 81.73 | 5.83 |
| AFM2 | 87.77 | 7.07 | 95.50 | 6.08 | 85.96 | 10.72 |
| AFG2 | 88.98 | 9.89 | 87.59 | 5.01 | 86.44 | 5.76 |
| AFM1 | 85.66 | 7.29 | 92.47 | 3.29 | 93.57 | 4.35 |
| AFG1 | 79.82 | 3.29 | 77.22 | 5.59 | 73.65 | 4.52 |
| AFB2 | 94.09 | 8.49 | 98.84 | 6.00 | 92.18 | 7.44 |
| AFB1 | 103.46 | 4.42 | 100.41 | 2.42 | 95.00 | 2.86 |
| DAS | 103.24 | 4.28 | 113.21 | 5.51 | 110.13 | 3.16 |
| HT-2 | 87.71 | 4.59 | 83.55 | 8.21 | 90.68 | 4.80 |
| OTB | 102.54 | 10.81 | 94.90 | 5.84 | 97.17 | 6.87 |
| FB1 | 86.22 | 13.31 | 95.98 | 11.56 | 83.54 | 4.09 |
| T-2 | 99.53 | 4.10 | 97.49 | 4.40 | 99.09 | 3.14 |
| OTA | 83.87 | 14.67 | 105.47 | 10.43 | 106.85 | 3.56 |
| FB3 | 106.30 | 3.93 | 92.59 | 6.67 | 90.26 | 2.77 |
| ZEN | 87.44 | 4.67 | 96.68 | 4.17 | 84.72 | 8.04 |
| ST | 96.58 | 3.73 | 105.24 | 3.71 | 93.62 | 2.52 |
| FB2 | 107.77 | 7.96 | 103.41 | 3.26 | 94.39 | 3.30 |
| OTC | 105.57 | 5.57 | 102.69 | 3.56 | 98.21 | 5.85 |
| Sample | Mycotoxin Contents (μg/kg) | |||||||
|---|---|---|---|---|---|---|---|---|
| P.N/S.N a | Positive | AFB1 | AFB2 | AFG1 | AFG2 | AFM1 | AFM2 | ST |
| 2/15 | WBL-4 | 5.43 | 2.78 | / c | / | / | Tr | / |
| WBL-11 | Tr b | / | / | / | / | / | / | |
| 13/30 | BLS-1 | Tr | / | Tr | / | / | / | Tr |
| BLS-2 | 7.55 | 2.63 | / | / | 1.36 | / | / | |
| BLS-6 | 0.39 | / | 0.17 | / | Tr | / | Tr | |
| BLS-9 | Tr | / | Tr | / | / | / | / | |
| BLS-11 | Tr | / | Tr | / | / | / | / | |
| BLS-13 | 1.39 | Tr | Tr | / | / | Tr | 1.10 | |
| BLS-17 | 1.38 | 0.20 | Tr | / | / | / | / | |
| BLS-21 | 0.26 | / | 0.14 | / | / | / | 1.38 | |
| BLS-23 | 0.93 | Tr | Tr | / | / | / | 2.17 | |
| BLS-24 | 0.36 | 0.16 | 0.05 | / | Tr | / | / | |
| BLS-26 | 1.62 | 0.58 | 0.32 | 0.15 | 1.06 | / | / | |
| BLS-27 | Tr | / | / | / | / | / | / | |
| BLS-29 | Tr | / | / | / | / | / | / | |
| 6/15 | JBL-6 | Tr | 0.13 | / | / | / | / | / |
| JBL-8 | 0.33 | 0.39 | Tr | Tr | / | / | / | |
| JBL-9 | Tr | Tr | / | / | / | / | / | |
| JBL-11 | 4.02 | 0.57 | Tr | / | / | |||
| JBL-13 | Tr | / | / | / | / | / | / | |
| JBL-15 | 1.15 | 0.28 | 0.24 | 0.33 | Tr | / | / | |
Publisher’s Note: MDPI stays neutral with regard to jurisdictional claims in published maps and institutional affiliations. |
© 2022 by the authors. Licensee MDPI, Basel, Switzerland. This article is an open access article distributed under the terms and conditions of the Creative Commons Attribution (CC BY) license (https://creativecommons.org/licenses/by/4.0/).
Share and Cite
Liang, H.; Hou, Q.; Zhou, Y.; Zhang, L.; Yang, M.; Zhao, X. Centrifugation-Assisted Solid-Phase Extraction Coupled with UPLC-MS/MS for the Determination of Mycotoxins in ARECAE Semen and Its Processed Products. Toxins 2022, 14, 742. https://doi.org/10.3390/toxins14110742
Liang H, Hou Q, Zhou Y, Zhang L, Yang M, Zhao X. Centrifugation-Assisted Solid-Phase Extraction Coupled with UPLC-MS/MS for the Determination of Mycotoxins in ARECAE Semen and Its Processed Products. Toxins. 2022; 14(11):742. https://doi.org/10.3390/toxins14110742
Chicago/Turabian StyleLiang, Huanyan, Qianyu Hou, Yakui Zhou, Lei Zhang, Meihua Yang, and Xiangsheng Zhao. 2022. "Centrifugation-Assisted Solid-Phase Extraction Coupled with UPLC-MS/MS for the Determination of Mycotoxins in ARECAE Semen and Its Processed Products" Toxins 14, no. 11: 742. https://doi.org/10.3390/toxins14110742
APA StyleLiang, H., Hou, Q., Zhou, Y., Zhang, L., Yang, M., & Zhao, X. (2022). Centrifugation-Assisted Solid-Phase Extraction Coupled with UPLC-MS/MS for the Determination of Mycotoxins in ARECAE Semen and Its Processed Products. Toxins, 14(11), 742. https://doi.org/10.3390/toxins14110742

