Comparative Analysis of γ-Oryzanol, β-Glucan, Total Phenolic Content and Antioxidant Activity in Fermented Rice Bran of Different Varieties
Abstract
:1. Introduction
2. Materials and Methods
2.1. Chemicals
2.2. Sample Preparation
2.3. Analysis of γ-Oryzanol Content
2.4. Analysis of Total Phenol Content (TPC)
2.5. Analysis of β-Glucan Content
2.6. Determination of Antioxidant Activity
2.7. Statistical Analysis
3. Results and Discussion
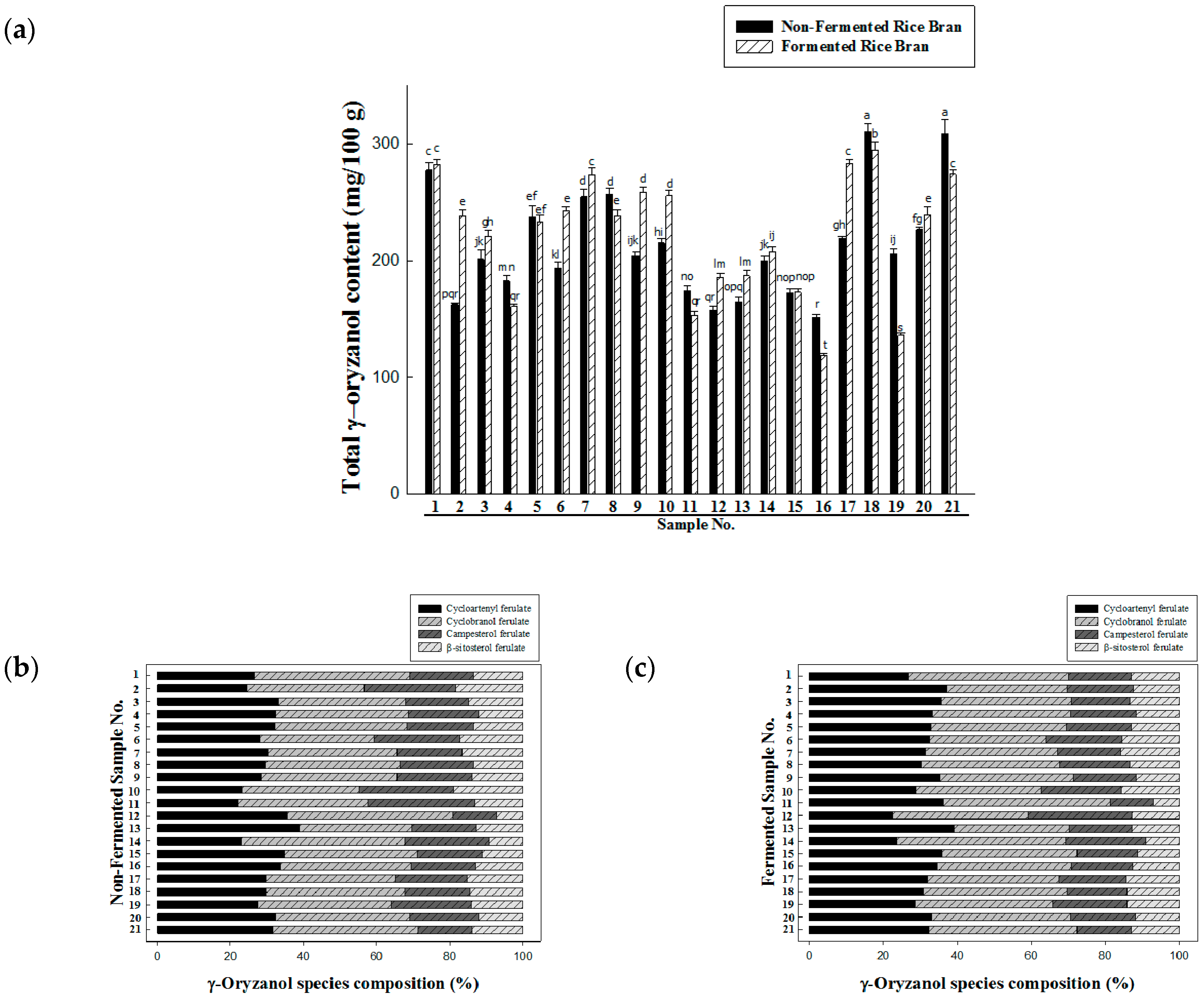
3.1. γ-Oryzanol Content of Non-Fermented and Fermented Rice Brans
3.2. Method Validation for Determination of γ-Oryzanol
3.3. Total Phenol Content of Non-Fermented and Fermented Rice Brans
3.4. Β-Glucan Content of Non-Fermented and Fermented Rice Brans
3.5. Antioxidant Activity of Non-Fermented and Fermented Rice Brans
3.6. Relationship between Antioxidant Activities and Bioactive Compounds
4. Conclusions
Acknowledgments
Author Contributions
Conflicts of Interest
References
- Moure, A.; Cruz, J.M.; Franco, D.; Manuel Domínguez, J.; Sineiro, J.; Domínguez, H.; José Núñezb, M.; Carlos Parajó, J. Natural antioxidants from residual sources. Food Chem. 2001, 72, 145–171. [Google Scholar] [CrossRef]
- Diack, M.; Saska, M. Separation of vitamin E and Gamma-Oryzanols from rice bran by Normal-Phase chromatography. J. Am. Oil Chem. Soc. 1994, 71, 1211–1217. [Google Scholar] [CrossRef]
- Kim, H.W.; Kim, J.B.; Shanmugavelan, P.; Kim, S.N.; Cho, Y.S.; Kim, H.R.; Lee, J.T.; Jeon, W.T.; Lee, D.J. Evaluation of γ-Oryzanol content and composition from the grains of pigmented Rice-Germplasms by LC-DAD-ESI/MS. BMC Res. Notes 2013, 6, 149. [Google Scholar] [CrossRef] [PubMed]
- Cicero, A.F.G.; Gaddi, A. Rice bran oil and γ-Oryzanol in the treatment of hyperlipoproteinaemias and other conditions. Phytother. Res. 2001, 15, 277–289. [Google Scholar] [CrossRef] [PubMed]
- Lai, P.; Li, K.Y.; Lu, S.; Chen, H.H. Phytochemicals and antioxidant properties of solvent extracts from Japonica rice bran. Food Chem. 2009, 117, 538–544. [Google Scholar] [CrossRef]
- Halliwell, B.; Aeschbach, R.; Löliger, J.; Aruoma, O.I. The characterization of antioxidants. Food Chem. Toxicol. 1995, 33, 601–617. [Google Scholar] [CrossRef]
- Ito, N.; Hirose, M.; Fukushima, S.; Tsuda, H.; Shirai, T.; Tatematsu, M. Studies on antioxidants: Their carcinogenic and modifying effects on chemical carcinogenesis. Food Chem. Toxicol. 1986, 24, 1071–1082. [Google Scholar] [CrossRef]
- Gülçin, I. Comparison of in vitro antioxidant and antiradical activities of L-Tyrosine and L-Dopa. Amino Acids 2007, 32, 431–438. [Google Scholar] [CrossRef] [PubMed]
- Raghavarao, K.S.M.S.; Ranganathan, T.; Karanth, N. Some engineering aspects of solid-state fermentation. Biochem. Eng. J. 2003, 13, 127–135. [Google Scholar] [CrossRef]
- Singhania, R.R.; Patel, A.K.; Soccol, C.R.; Pandey, A. Recent advances in Solid-State fermentation. Biochem. Eng. J. 2009, 44, 13–18. [Google Scholar] [CrossRef]
- Liang, C.H.; Syu, J.L.; Lee, Y.L.; Mau, J.L. Antioxidant properties of Solid-State fermented adlay and rice by Phellinus linteus. Food Sci. Technol. 2009, 42, 1738–1743. [Google Scholar] [CrossRef]
- McCue, P.P.; Shetty, K. Phenolic antioxidant mobilization during yogurt production from soymilk using Kefir cultures. Process Biochem. 2005, 40, 1791–1797. [Google Scholar] [CrossRef]
- Lu, W.; Niu, Y.; Yang, H.; Sheng, Y.; Shi, H.; Yu, L. Simultaneous HPLC quantification of five major triterpene alcohol and sterol ferulates in rice bran oil using a single reference standard. Food Chem. 2014, 148, 329–334. [Google Scholar] [CrossRef] [PubMed]
- Q2 (R1): Validation of analytical procedure: Text and methodology. Available online: https://www.ich.org/fileadmin/Public_Web_Site/ICH_Products/Guidelines/Quality/Q2_R1/Step4/Q2_R1__Guideline.pdf (accessed on 3 June 2017).
- Tawaha, K.; Alali, F.Q.; Gharaibeh, M.; Mohammad, M.; El-Elimat, T. Antioxidant activity and total phenolic content of selected Jordanian plant species. Food Chem. 2007, 104, 1372–1378. [Google Scholar] [CrossRef]
- Molyneux, P. The Use of the Stable Free Radical Diphenylpicryl-hydrazyl (DPPH) for Estimating Antioxidant Activity. Songklanakarin J. Sci. Technol. 2004, 26, 211–219. [Google Scholar]
- Zulueta, A.; Esteve, M.J.; Frígola, A. ORAC and TEAC assays comparison to measure the antioxidant capacity of food products. Food Chem. 2009, 114, 310–316. [Google Scholar] [CrossRef]
- Miller, A.; Engel, K.-H. Content of Gamma-Oryzanol and composition of steryl ferulates in brown rice (Oryza sativa L.) of European origin. J. Agric. Food Chem. 2006, 54, 8127–8133. [Google Scholar] [CrossRef] [PubMed]
- Massarolo, K.C.; de Souza, T.D.; Collazzo, C.C.; Furlong, E.B.; de Souza Soares, L.A. The impact of Rhizopus oryzae cultivation on rice bran: Gamma-Oryzanol recovery and its antioxidant properties. Food Chem. 2017, 228, 43–49. [Google Scholar] [CrossRef] [PubMed]
- Van Acker, S.A.B.E.; van Den Berg, D.; Tromp, M.N.J.L.; Griffioen, DH.; van Bennekom, W.P.; van der Vijgh, W.J.F.; Bast, A. Structural aspects of antioxidant activity of flavonoids. Free Radic. Biol. Med. 1996, 20, 331–342. [Google Scholar] [CrossRef]
- Abd Razak, D.L.; Abd Rashid, N.Y.; Jamaluddin, A.; Sharifudin, S.A.; Long, K. Enhancement of phenolic acid content and antioxidant activity of rice bran fermented with Rhizopus oligosporus and Monascus purpureus. Biocatal. Agric. Biotechnol. 2015, 4, 33–38. [Google Scholar] [CrossRef]
- Mantovani, M.S.; Bellini, M.F.; Angeli, J.P.F.; Oliveira, R.J.; Silva, A.F.; Ribeiro, L.R. β-Glucans in promoting health: Prevention against mutation and cancer. Mutat. Res-Rev. Mutat. 2008, 658, 154–161. [Google Scholar] [CrossRef] [PubMed]
- Brennan, C.S.; Cleary, L.J. The potential use of cereal (1→3,1→4)-β-d-glucans as functional food ingredients. J. Cereal Sci. 2005, 42, 1–13. [Google Scholar] [CrossRef]
- Angelov, A.; Gotcheva, V.; Hristozova, T.; Gargova, S. Application of pure and mixed probiotic lactic acid bacteria and yeast cultures for oat fermentation. J. Sci. Food Agric. 2005, 85, 2134–2141. [Google Scholar] [CrossRef]
- Kim, S.P.; Park, S.O.; Lee, S.J.; Nam, S.H.; Friedman, M.A. Polysaccharide isolated from the liquid culture of lentinus edodes (shiitake) mushroom mycelia containing black rice bran protects mice against salmonellosis through upregulation of the th1 immune reaction. J. Agric. Food Chem. 2014, 62, 2384–2391. [Google Scholar] [CrossRef] [PubMed]
- Han, N.; Na, C.; Chai, Y.; Chen, J.; Zhang, Z.; Bai, B.; Bian, H.; Zhang, Y.; Zhu, M. Over-expression of (1,3;1,4)-β-D-glucanase isoenzyme EII gene results in decreased (1,3;1,4)-β-d-glucan content and increased starch level in barley grains. J. Sci. Food Agric. 2017, 97, 122–127. [Google Scholar] [CrossRef] [PubMed]
- Foti, M.C.; Daquino, C.; Geraci, C. Electron-transfer reaction of cinnamic acids and their methyl esters with the DPPH· radical in alcoholic solutions. J. Org. Chem. 2014, 69, 2309–2314. [Google Scholar] [CrossRef] [PubMed]
- Laskar, R.A.; Sk, I.; Roy, N.; Begum, N.A. Antioxidant activity of Indian propolis and its chemical constituents. Food Chem. 2010, 122, 233–237. [Google Scholar] [CrossRef]
- Bernaert, N.; Wouters, D.; Vuyst, L.D.; Paepe, D.D.; Clercq, H.D.; Bockstaele, E.V.; Loose, M.D.; Droogenbroeck, B.V. Antioxidant changes of leek (Allium ampeloprasum var. porrum) during spontaneous fermentation of the white shaft and green leaves. J. Sci. Food Agric. 2013, 93, 2146–2153. [Google Scholar] [PubMed]
- Arab, F.; Alemzadeh, I.; Maghsoudi, V. Determination of antioxidant component and activity of rice bran extract. Sci. Iran. 2011, 18, 1402–1406. [Google Scholar] [CrossRef]
- Huang, D.; Ou, B.; Prior, R.L. The chemistry behind antioxidant capacity assays. J. Agric. Food Chem. 2005, 53, 1841–1856. [Google Scholar] [CrossRef] [PubMed]
- Escudero-López, B.; Cerrillo, I.; Herrero-Martín, G.; Hornero-Méndez, D.; Gil-Izquierdo, A.; Medina, S.; Ferrers, F.; Berná, G.; Fernández-Pachón, M.S. Fermented orange juice: Source of higher carotenoid and flavanone contents. J. Agric. Food Chem. 2013, 61, 8773–8782. [Google Scholar] [CrossRef] [PubMed]
- Cai, S.; Wang, O.; Wu, W.; Zhu, S.; Zhou, F.; Ji, B.; Gao, F.; Zhang, D.; Liu, J.; Cheng, Q. Comparative study of the effects of Solid-State fermentation with three filamentous fungi on the total phenolics content, flavonoids, and antioxidant activities of subfractions from oats (Avena sativa L.). J. Agric. Food Chem. 2012, 60, 507–513. [Google Scholar] [CrossRef] [PubMed]
- Louaileche, H.; Hammiche, D.; Hamoudi, F. Total phenolic, flavonoid contents and in vitro antioxidant activity of Algerian date palm varieties: A comparative study. Am. J. Food Sci. Health 2015, 3, 63–68. [Google Scholar]
- Thaipong, K.; Boonprakob, U.; Crosby, K.; Cisneros-Zevallos, L.; Hawkins Byrne, D. Comparison of ABTS, DPPH, FRAP, and ORAC assays for estimating antioxidant activity from guava fruit extracts. J. Food Compos. Anal. 2006, 19, 669–675. [Google Scholar] [CrossRef]
- Bagchi, T.B.; Bhattacharya, P.; Sharma, S.G.; Kumar, U.; Adak, T. Enhanced antioxidants and physico-chemical properties of aromatic rice under long term organic nutrient management. Res. Crops 2015, 16, 219–225. [Google Scholar] [CrossRef]




| Sample No. | Cultivar |
|---|---|
| 1 | O. sativa cv. Segyejinmi |
| 2 | O. sativa cv. Chindeul |
| 3 | O. sativa cv. Seolgaeng |
| 4 | O. sativa cv. Gopum |
| 5 | O. sativa cv. Sunpum |
| 6 | O. sativa cv. Heonpum |
| 7 | O. sativa cv. Haedam |
| 8 | O. sativa cv. Chujum |
| 9 | O. sativa cv. Wolbaek |
| 10 | O. sativa cv. Haepum |
| 11 | O. sativa cv. Anda |
| 12 | O. sativa cv. Danmi |
| 13 | O. sativa cv. Goami2 |
| 14 | O. sativa cv. Dasan1 |
| 15 | O. sativa cv. Misomi |
| 16 | O. sativa cv. Goami4 |
| 17 | O. sativa cv. Ilpum |
| 18 | O. sativa cv. Migwang |
| 19 | O. sativa cv. Samkwang |
| 20 | O. sativa cv. Jungsaenggold |
| 21 | O. sativa cv. Haiami |
| Sample | Concentration (μg/g) | Intra-Day | Inter-Day | ||||
|---|---|---|---|---|---|---|---|
| Mean ± SD (μg/g) | Recovery (%) | RSD (%) | Mean ± SD (μg/g) | Recovery (%) | RSD (%) | ||
| Non-fermented Haiami | 50 | 53.56 ± 1.20 | 107.11 | 2.25 | 54.19 ± 0.33 | 108.37 | 0.60 |
| 60 | 65.80 ± 0.29 | 109.67 | 0.44 | 64.96 ± 1.78 | 108.26 | 2.74 | |
| 75 | 81.61 ± 1.41 | 108.81 | 1.73 | 81.61 ± 1.27 | 108.81 | 1.55 | |
| Fermented Haiami | 50 | 53.61 ± 0.81 | 107.21 | 1.51 | 53.92 ± 1.20 | 107.83 | 2.23 |
| 60 | 65.84 ± 0.98 | 109.73 | 1.49 | 66.70 ± 0.08 | 111.16 | 0.12 | |
| 75 | 83.24 ± 1.32 | 110.99 | 1.58 | 83.89 ± 1.67 | 111.85 | 1.99 | |
| Sample No. | TPC 1 (mg GAE 2/g) | β-Glucan Content (% of Dry wt) | ||
|---|---|---|---|---|
| NRB 3 | FRB 4 | NRB | FRB | |
| 1. Segyejinmi | 98.80 ± 3.07 k | 76.37 ± 1.94 no | 0.18 ± 0.01 t | 0.16 ± 0.02 u |
| 2. Chindeul | 117.89 ± 1.32 de | 137.41 ± 1.89 b | 0.31 ± 0.01 gh | 0.16 ± 0.01 u |
| 3. Seolgaeng | 68.82 ± 0.56 p | 114.12 ± 2.55 ef | 0.32 ± 0.01 fg | 0.31 ± 0.01 gh |
| 4. Gopum | 62.67 ± 1.21 q | 110.15 ± 4.74 fg | 0.29 ± 0.01 hi | 0.28 ± 0.00 ijk |
| 5. Sunpum | 117.76 ± 1.48 de | 139.68 ± 2.86 b | 0.35 ± 0.00 de | 0.28 ± 0.04 ijk |
| 6. Heonpum | 82.84 ± 1.30 m | 140.04 ± 1.00 b | 0.28 ± 0.01 ij | 0.21 ± 0.02 pqr |
| 7. Haedam | 89.62 ± 1.61 l | 156.08 ± 5.12 a | 0.35 ± 0.01 d | 0.21 ± 0.01 opqr |
| 8. Chujum | 82.44 ± 1.08 m | 113.58 ± 1.37 ef | 0.29 ± 0.01 hij | 0.14 ± 0.00 v |
| 9. Wolbaek | 73.07 ± 1.83 op | 101.74 ± 1.52 ijk | 0.32 ± 0.01 fg | 0.36 ± 0.01 d |
| 10. Haepum | 100.36 ± 3.48 jk | 120.43 ± 1.34 d | 0.33 ± 0.01 ef | 0.20 ± 0.01 qrst |
| 11. Anda | 73.64 ± 1.99 o | 52.54 ± 1.42 r | 0.26 ± 0.02 kl | 0.27 ± 0.01 jk |
| 12. Danmi | 31.32 ± 0.32 t | 104.38 ± 2.24 ijk | 0.57 ± 0.01 a | 0.24 ± 0.02 mn |
| 13. Goami2 | 40.28 ± 0.74 s | 61.83 ± 1.12 q | 0.44 ± 0.01 b | 0.20 ± 0.01 qrst |
| 14. Dasan1 | 59.01 ± 1.00 q | 79.23 ± 1.09 mn | 0.25 ± 0.02 lm | 0.18 ± 0.01 st |
| 15. Misomi | 97.53 ± 1.37 k | 130.70 ± 4.44 c | 0.40 ± 0.03 c | 0.19 ± 0.01 rst |
| 16. Goami4 | 39.19 ± 1.09 s | 42.00 ± 0.72 s | 0.32 ± 0.02 fg | 0.15 ± 0.01 uv |
| 17. Ilpum | 75.28 ± 1.38 no | 102.05 ± 1.87 ijk | 0.34 ± 0.01 de | 0.21 ± 0.02 opq |
| 18. Migwang | 106.90 ± 2.63 gh | 105.97 ± 1.42 ghi | 0.32 ± 0.01 fg | 0.23 ± 0.01 mno |
| 19. Samkwang | 79.12 ± 1.57 mn | 62.62 ± 1.67 q | 0.34 ± 0.01 de | 0.22 ± 0.02 nop |
| 20. Jungsaenggold | 83.59 ± 1.86 m | 100.43 ± 1.55 jk | 0.33 ± 0.01 efg | 0.32 ± 0.01 fg |
| 21. Haiami | 72.16 ± 2.66 op | 78.85 ± 2.36 mn | 0.28 ± 0.01 ij | 0.20 ± 0.02 qrs |
| Sample No. | DPPH (%) | ORAC Value (μM TE 1/g) | ||
|---|---|---|---|---|
| NRB 2 | FRB 3 | NRB | FRB | |
| 1. Segyejinmi | 45.28 ± 1.14 op | 52.35 ± 1.08 jk | 414.92 ± 13.92 mn | 700.34 ± 7.69 f |
| 2. Chindeul | 60.34 ± 0.36 e | 60.75 ± 0.31 de | 587.79 ± 6.85 ijk | 832.25 ± 4.74 d |
| 3. Seolgaeng | 46.96 ± 1.08 mno | 49.02 ± 0.43 lm | 440.01 ± 13.05 m | 631.52 ± 3.49 gh |
| 4. Gopum | 48.12 ± 0.74 mn | 45.93 ± 0.41 nop | 485.65 ± 3.75 l | 600.62 ± 12.84 hi |
| 5. Sunpum | 60.86 ± 0.62 de | 62.89 ± 0.88 cd | 635.30 ± 10.53 g | 827.50 ± 9.70 cd |
| 6. Heonpum | 58.30 ± 1.82 efg | 63.93 ± 1.55 c | 569.64 ± 8.06 ijk | 630.18 ± 20.67 gh |
| 7. Haedam | 54.45 ± 1.56 ij | 71.30 ± 0.78 a | 641.02 ± 23.39 g | 1101.31 ± 41.11 a |
| 8. Chujum | 58.90 ± 1.39 ef | 63.98 ± 1.44 c | 564.15 ± 21.95 jk | 739.53 ± 5.98 e |
| 9. Wolbaek | 52.21 ± 0.97 jk | 58.84 ± 2.67 ef | 220.94 ± 4.88 r | 601.62 ± 23.25 hi |
| 10. Haepum | 65.13 ± 1.57 bc | 70.43 ± 1.05 a | 630.46 ± 21.14 gh | 834.13 ± 26.05 d |
| 11. Anda | 48.15 ± 1.45 mn | 32.76 ± 0.50 s | 286.09 ± 5.09 q | 366.68 ± 5.01 o |
| 12. Danmi | 29.23 ± 0.55 t | 56.12 ± 0.47 ghi | 234.90 ± 4.78 r | 755.12 ± 30.82 e |
| 13. Goami2 | 31.84 ± 0.97 s | 41.64 ± 1.61 r | 308.03 ± 7.13 pq | 472.61 ± 10.10 l |
| 14. Dasan1 | 42.17 ± 0.38 qr | 47.31 ± 1.87 mno | 391.50 ± 5.49 no | 567.35 ± 5.25 jk |
| 15. Misomi | 50.78 ± 1.29 kl | 66.53 ± 0.72 b | 575.04 ± 3.43 ijk | 943.68 ± 3.21 b |
| 16. Goami4 | 34.13 ± 0.05 s | 33.53 ± 0.97 s | 232.83 ± 2.23 r | 328.13 ± 7.42 p |
| 17. Ilpum | 54.09 ± 1.49 ij | 57.03 ± 0.64 fgh | 471.64 ± 2.23 l | 808.81 ± 16.67 d |
| 18. Migwang | 53.72 ± 0.54 ij | 57.28 ± 1.83 fgh | 595.55 ± 12.59 ij | 868.15 ± 74.84 c |
| 19. Samkwang | 48.02 ± 1.03 mn | 43.81 ± 1.37 pqr | 490.15 ± 8.29 l | 573.11 ± 17.85 ijk |
| 20. Jungsaenggold | 49.09 ± 0.73 lm | 55.39 ± 0.27 hi | 558.46 ± 10.11 k | 688.35 ± 12.56 f |
| 21. Haiami | 44.27 ± 1.38 pq | 48.93 ± 0.99 lm | 485.84 ± 10.17 l | 738.03 ± 8.92 e |
© 2017 by the authors. Licensee MDPI, Basel, Switzerland. This article is an open access article distributed under the terms and conditions of the Creative Commons Attribution (CC BY) license (http://creativecommons.org/licenses/by/4.0/).
Share and Cite
Jung, T.-D.; Shin, G.-H.; Kim, J.-M.; Choi, S.-I.; Lee, J.-H.; Lee, S.J.; Park, S.J.; Woo, K.S.; Oh, S.K.; Lee, O.-H. Comparative Analysis of γ-Oryzanol, β-Glucan, Total Phenolic Content and Antioxidant Activity in Fermented Rice Bran of Different Varieties. Nutrients 2017, 9, 571. https://doi.org/10.3390/nu9060571
Jung T-D, Shin G-H, Kim J-M, Choi S-I, Lee J-H, Lee SJ, Park SJ, Woo KS, Oh SK, Lee O-H. Comparative Analysis of γ-Oryzanol, β-Glucan, Total Phenolic Content and Antioxidant Activity in Fermented Rice Bran of Different Varieties. Nutrients. 2017; 9(6):571. https://doi.org/10.3390/nu9060571
Chicago/Turabian StyleJung, Tae-Dong, Gi-Hae Shin, Jae-Min Kim, Sun-Il Choi, Jin-Ha Lee, Sang Jong Lee, Seon Ju Park, Koan Sik Woo, Sea Kwan Oh, and Ok-Hawn Lee. 2017. "Comparative Analysis of γ-Oryzanol, β-Glucan, Total Phenolic Content and Antioxidant Activity in Fermented Rice Bran of Different Varieties" Nutrients 9, no. 6: 571. https://doi.org/10.3390/nu9060571
APA StyleJung, T.-D., Shin, G.-H., Kim, J.-M., Choi, S.-I., Lee, J.-H., Lee, S. J., Park, S. J., Woo, K. S., Oh, S. K., & Lee, O.-H. (2017). Comparative Analysis of γ-Oryzanol, β-Glucan, Total Phenolic Content and Antioxidant Activity in Fermented Rice Bran of Different Varieties. Nutrients, 9(6), 571. https://doi.org/10.3390/nu9060571

