Oxyresveratrol Supplementation to C57bl/6 Mice Fed with a High-Fat Diet Ameliorates Obesity-Associated Symptoms
Abstract
:1. Introduction
2. Materials and Methods
2.1. Oxyresveratrol and Experimental Diets
2.2. Experimental Design
2.3. Measurement of Biochemical Parameters
2.4. Total RNA Isolation and Real-Time Reverse Transcriptase Polymerase Chain Reaction (PT-PCR) Analysis
2.5. Protein Extraction and Western Blotting Analysis
2.6. Statistical Analysis
3. Results
3.1. Effects of Oxyresveratrol on Body Weight, Energy Intake, Energy Efficiency, and Tissue Weights
3.2. Effects of Oxyresveratrol on Serum Concentration of Glucose and Insulin
3.3. Effects of Oxyresveratrol on Lipid Profiles in Serum and Liver
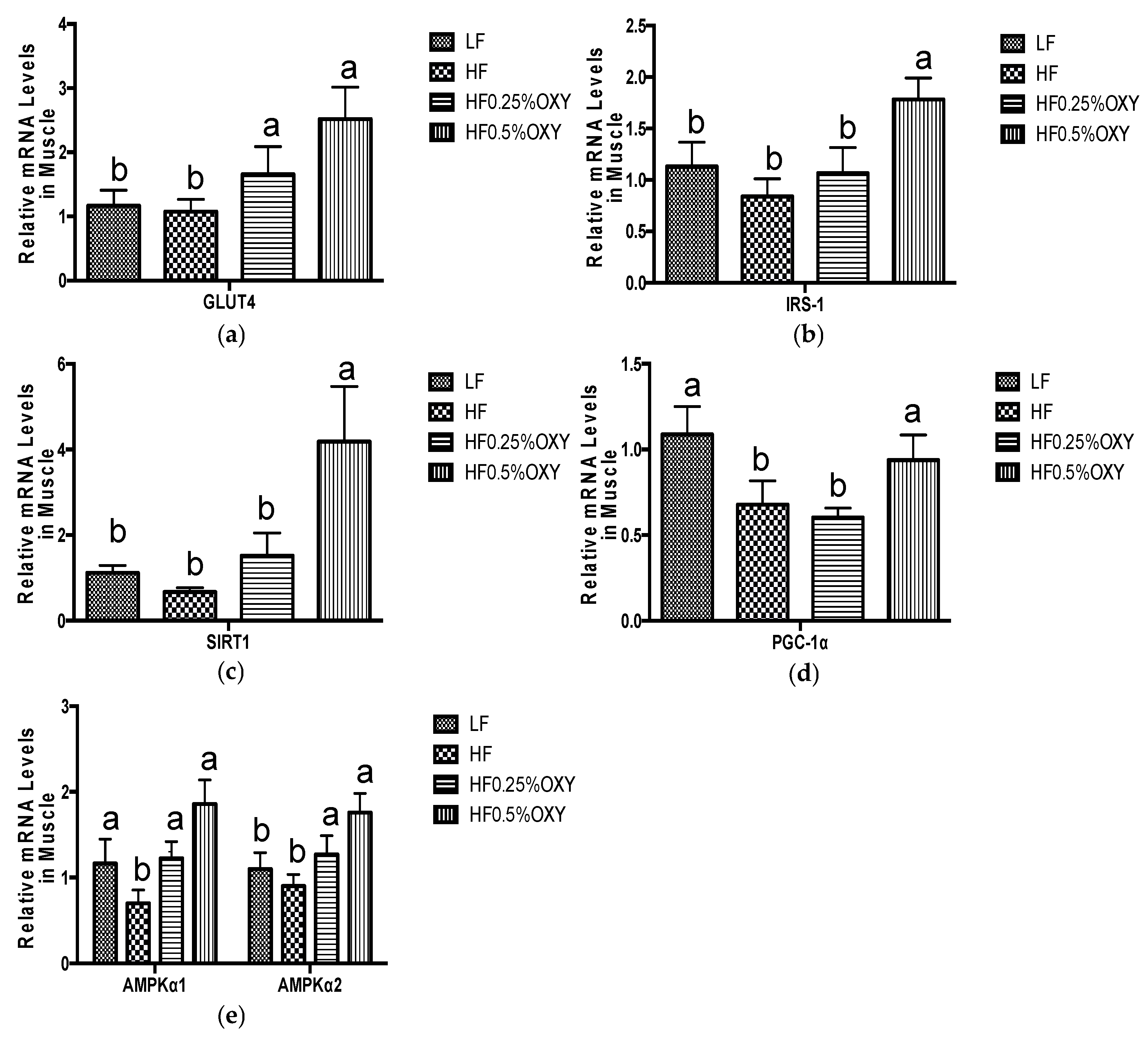
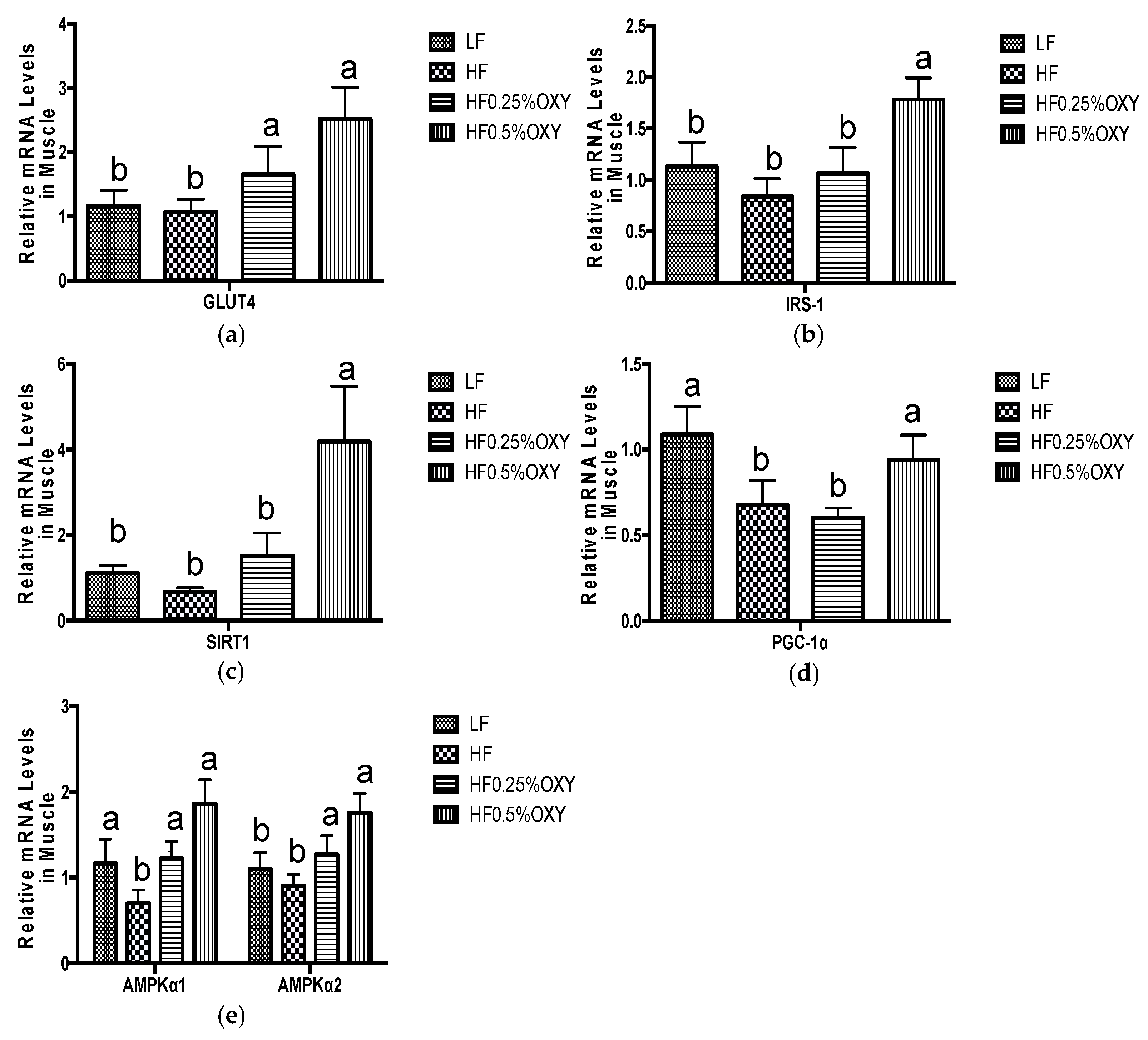
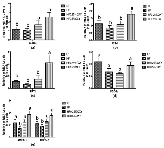
3.4. Effects of Oxyresveratrol on mRNA Expression of Liver, Visceral Fat, and Gastrocnemius Muscle
3.5. Effects of Oxyresveratrol on Hepatic Protein Expression
4. Discussion
5. Conclusions
Acknowledgments
Author Contributions
Conflicts of Interest
References
- World Health Organization. Obesity and Overweight, Fact Sheet n°311. Available online: http://www.who.int/mediacentre/factsheets/fs311/en/ (accessed on 25 October 2016).
- Heo, M.; Allison, D.B.; Faith, M.S.; Zhu, S.; Fontaine, K.R. Obesity and quality of life: Mediating effects of pain and comorbidities. Obes. Res. 2003, 11, 209–216. [Google Scholar] [CrossRef] [PubMed]
- Must, A.; Spadano, J.; Coakley, E.H.; Field, A.E.; Colditz, G.; Dietz, W.H. The disease burden associated with overweight and obesity. JAMA 1999, 282, 1523–1529. [Google Scholar] [CrossRef] [PubMed]
- World Health Organization. Obesity: Preventing and Managing the Global Epidemic—Report of a WTO Consultation; World Health Organization: Geneva, Switzerland, 2000. [Google Scholar]
- Szkudelska, K.; Szkudelski, T. Resveratrol, obesity and diabetes. Eur. J. Pharmacol. 2010, 635, 1–8. [Google Scholar] [CrossRef] [PubMed]
- Galindo, I.; Hernáez, B.; Berná, J.; Fenoll, J.; Cenis, J.L.; Escribano, J.M.; Alonso, C. Comparative inhibitory activity of the stilbenes resveratrol and oxyresveratrol on African swine fever virus replication. Antivir. Res. 2011, 91, 57–63. [Google Scholar] [CrossRef] [PubMed]
- Lorenz, P.; Roychowdhury, S.; Engelmann, M.; Wolf, G.; Horn, T.F.W. Oxyresveratrol and resveratrol are potent antioxidants and free radical scavengers: Effect on nitrosative and oxidative stress derived from microglial cells. Nitric Oxide 2003, 9, 64–76. [Google Scholar] [CrossRef] [PubMed]
- Deng, H.; He, X.; Xu, Y.; Hu, X. Oxyresveratrol from mulberry as a dihydrate. Acta Crystallogr. Sect. E.-Struct Rep. Online 2012, 68, o1318–o1319. [Google Scholar] [CrossRef] [PubMed]
- Chung, K.O.; Kim, B.Y.; Lee, M.H.; Kim, Y.R.; Chung, H.Y.; Park, J.H.; Moon, J.O. In-vitro and in-vivo anti-inflammatory effect of oxyresveratrol from morus alba l. J. Pharm. Pharmacol. 2003, 55, 1695–1700. [Google Scholar] [CrossRef] [PubMed]
- Aftab, N.; Likhitwitayawuid, K.; Vieira, A. Comparative antioxidant activities and synergism of resveratrol and oxyresveratrol. Nat. Prod. Res. 2010, 24, 1726–1733. [Google Scholar] [CrossRef] [PubMed]
- Likhitwitayawuid, K.; Sritularak, B.; Benchanak, K.; Lipipun, V.; Mathew, J.; Schinazi, R.F. Phenolics with antiviral activity from millettia erythrocalyx and artocarpus lakoocha. Nat. Prod. Res. 2005, 19, 177–182. [Google Scholar] [CrossRef] [PubMed]
- Chuanasa, T.; Phromjai, J.; Lipipun, V.; Likhitwitayawuid, K.; Suzuki, M.; Pramyothin, P.; Hattori, M.; Shiraki, K. Anti-herpes simplex virus (HSV-1) activity of oxyresveratrol derived from thai medicinal plant: Mechanism of action and therapeutic efficacy on cutaneous HSV-1 infection in mice. Antivir. Res. 2008, 80, 62–70. [Google Scholar] [CrossRef] [PubMed]
- Chao, J.; Yu, M.S.; Ho, Y.S.; Wang, M.; Chang, R.C.C. Dietary oxyresveratrol prevents parkinsonian mimetic 6-hydroxydopamine neurotoxicity. Free Radic. Biol. Med. 2008, 45, 1019–1026. [Google Scholar] [CrossRef] [PubMed]
- Andrabi, S.A.; Spina, M.G.; Lorenz, P.; Ebmeyer, U.; Wolf, G.; Horn, T.F.W. Oxyresveratrol (trans-2,3′,4,5′-tetrahydroxystilbene) is neuroprotective and inhibits the apoptotic cell death in transient cerebral ischemia. Brain Res. 2004, 1017, 98–107. [Google Scholar] [CrossRef] [PubMed]
- Shin, N.H.; Ryu, S.Y.; Choi, E.J.; Kang, S.H.; Chang, I.L.M.; Min, K.R.; Kim, Y. Oxyresveratrol as the potent inhibitor on dopa oxidase activity of mushroom tyrosinase. Biochem. Biophys. Res. Commun. 1998, 243, 801–803. [Google Scholar] [CrossRef] [PubMed]
- Li, H.; Cheng, K.-W.; Cho, C.-H.; He, Z.; Wang, M. Oxyresveratrol as an antibrowning agent for cloudy apple juices and fresh-cut apples. J. Agric. Food Chem. 2007, 55, 2604–2610. [Google Scholar] [CrossRef] [PubMed]
- Tan, H.-Y.; Iris, M.Y.; Li, E.T.S.; Wang, M. Inhibitory effects of oxyresveratrol and cyanomaclurin on adipogenesis of 3T3-L1 cells. J. Funct. Foods 2015, 15, 207–216. [Google Scholar] [CrossRef]
- Reeves, P.G.; Nielsen, F.H.; Fahey, G.C., Jr. AIN-93 purified diets for laboratory rodents: Final report of the american institute of nutrition ad hoc writing committee on the reformulation of the AIN-76A rodent diet. J. Nutr. 1993, 123, 1939–1951. [Google Scholar] [PubMed]
- Patarrão, R.S.; Lautt, W.W.; Macedo, M.P. Assessment of methods and indexes of insulin sensitivity. Rev. Port. Endocrinol. Diabetes Metab. 2014, 9, 65–73. [Google Scholar] [CrossRef]
- Fraulob, J.C.; Ogg-Diamantino, R.; Fernandes-Santos, C.; Aguila, M.B.; Mandarim-de-Lacerda, C.A. A mouse model of metabolic syndrome: Insulin resistance, fatty liver and non-alcoholic fatty pancreas disease (NAFPD) in C57BL/6 mice fed a high fat diet. J. Clin. Biochem. Nutr. 2010, 46, 212. [Google Scholar] [CrossRef] [PubMed]
- Li, S.; Iris, M.Y.; Li, E.T.S. Maternal green tea extract supplementation to rats fed a high-fat diet ameliorates insulin resistance in adult male offspring. J. Nutr. Biochem. 2012, 23, 1655–1660. [Google Scholar] [CrossRef] [PubMed]
- Lin, P.-Y.; Romsos, D.R.; Vander Tuig, J.G.; Leveille, G.A. Maintenance energy requirements, energy retention and heat production of young obese (ob/ob) and lean mice fed a high-fat or a high-carbohydrate diet. J. Nutr. 1979, 109, 1143–1153. [Google Scholar] [PubMed]
- Spiegelman, B.M.; Flier, J.S. Obesity and the regulation of energy balance. Cell 2001, 104, 531–543. [Google Scholar] [CrossRef]
- Kahn, B.B.; Flier, J.S. Obesity and insulin resistance. J. Clin. Investig. 2000, 106, 473. [Google Scholar] [CrossRef] [PubMed]
- Kahn, S.E.; Hull, R.L.; Utzschneider, K.M. Mechanisms linking obesity to insulin resistance and type 2 diabetes. Nature 2006, 444, 840–846. [Google Scholar] [CrossRef] [PubMed]
- Pan, H.; Guo, J.; Su, Z. Advances in understanding the interrelations between leptin resistance and obesity. Physiol. Behav. 2014, 130, 157–169. [Google Scholar] [CrossRef] [PubMed]
- Wilcox, G. Insulin and insulin resistance. Clin. Biochem. Rev. 2005, 26, 19. [Google Scholar] [PubMed]
- Epstein, F.H.; Shepherd, P.R.; Kahn, B.B. Glucose transporters and insulin action—Implications for insulin resistance and diabetes mellitus. N. Engl. J. Med. 1999, 341, 248–257. [Google Scholar] [CrossRef] [PubMed]
- Gual, P.; Le Marchand-Brustel, Y.; Tanti, J.-F. Positive and negative regulation of insulin signaling through IRS-1 phosphorylation. Biochimie 2005, 87, 99–109. [Google Scholar] [CrossRef] [PubMed]
- Björnholm, M.; Kawano, Y.; Lehtihet, M.; Zierath, J.R. Insulin receptor substrate-1 phosphorylation and phosphatidylinositol 3-kinase activity in skeletal muscle from niddm subjects after in vivo insulin stimulation. Diabetes 1997, 46, 524–527. [Google Scholar] [CrossRef] [PubMed]
- Misra, P.; Chakrabarti, R. The role of AMP kinase in diabetes. Indian J. Med. Res. 2007, 125, 389–398. [Google Scholar] [PubMed]
- Nordlie, R.C.; Jorgenson, R.A. Glucose-6-phosphatase. In The Enzymes of Bioligical Membranes, 1st ed.; Martonosi, A.N., Ed.; Springer: New York, NY, USA, 1976; Volume 2, pp. 465–491. [Google Scholar]
- Alberts, A.W.; Strauss, A.W.; Hennessy, S.; Vagelos, P.R. Regulation of synthesis of hepatic fatty acid synthetase: Binding of fatty acid synthetase antibodies to polysomes. Proc. Natl. Acad. Sci. USA 1975, 72, 3956–3960. [Google Scholar] [CrossRef] [PubMed]
- Sekiya, M.; Yahagi, N.; Matsuzaka, T.; Najima, Y.; Nakakuki, M.; Nagai, R.; Ishibashi, S.; Osuga, J.I.; Yamada, N.; Shimano, H. Polyunsaturated fatty acids ameliorate hepatic steatosis in obese mice by SREBP-1 suppression. Hepatology 2003, 38, 1529–1539. [Google Scholar] [CrossRef] [PubMed]
- Darlington, G.J.; Ross, S.E.; MacDougald, O.A. The role of C/EBP genes in adipocyte differentiation. J. Biol. Chem. 1998, 273, 30057–30060. [Google Scholar] [CrossRef] [PubMed]
- Gregoire, F.M.; Smas, C.M.; Sul, H.S. Understanding adipocyte differentiation. Physiol. Rev. 1998, 78, 783–809. [Google Scholar] [PubMed]
- Flodby, P.; Barlow, C.; Kylefjord, H.; Ahrlund-Richter, L.; Xanthopoulos, K.G. Increased hepatic cell proliferation and lung abnormalities in mice deficient in ccaat/enhancer binding protein α. J. Biol. Chem. 1996, 271, 24753–24760. [Google Scholar] [CrossRef] [PubMed]
- Matsusue, K.; Gavrilova, O.; Lambert, G.; Brewer, H.B., Jr.; Ward, J.M.; Inoue, Y.; LeRoith, D.; Gonzalez, F.J. Hepatic CCAAT/enhancer binding protein α mediates induction of lipogenesis and regulation of glucose homeostasis in leptin-deficient mice. Mol. Endocrinol. 2004, 18, 2751–2764. [Google Scholar] [CrossRef] [PubMed]
- Cantó, C.; Gerhart-Hines, Z.; Feige, J.N.; Lagouge, M.; Noriega, L.; Milne, J.C.; Elliott, P.J.; Puigserver, P.; Auwerx, J. AMPK regulates energy expenditure by modulating NAD+ metabolism and SIRT1 activity. Nature 2009, 458, 1056–1060. [Google Scholar] [CrossRef] [PubMed]
- Zhang, W.; Zhang, X.; Wang, H.; Guo, X.; Li, H.; Wang, Y.; Xu, X.; Tan, L.; Mashek, M.T.; Zhang, C. AMP-activated protein kinase α1 protects against diet-induced insulin resistance and obesity. Diabetes 2012, 61, 3114–3125. [Google Scholar] [PubMed]
- Gerhart-Hines, Z.; Rodgers, J.T.; Bare, O.; Lerin, C.; Kim, S.H.; Mostoslavsky, R.; Alt, F.W.; Wu, Z.; Puigserver, P. Metabolic control of muscle mitochondrial function and fatty acid oxidation through SIRT1/PGC-1α. EMBO J. 2007, 26, 1913–1923. [Google Scholar] [CrossRef] [PubMed]
- Cantó, C.; Auwerx, J. PGC-1alpha, SIRT1 and AMPK, an energy sensing network that controls energy expenditure. Curr. Opin. Lipidol. 2009, 20, 98. [Google Scholar] [CrossRef] [PubMed]
- Rodgers, J.T.; Lerin, C.; Haas, W.; Gygi, S.P.; Spiegelman, B.M.; Puigserver, P. Nutrient control of glucose homeostasis through a complex of PGC-1α and SIRT1. Nature 2005, 434, 113–118. [Google Scholar] [CrossRef] [PubMed]






| Ingredient | LF 2 | HF 3 | OXY1 4 | OXY2 5 |
|---|---|---|---|---|
| g/kg | ||||
| Casein 6, 87.5% | 200 | 235 | 235 | 235 |
| Corn starch 6 | 549.5 | 255.5 | 253 | 250.5 |
| Sucrose 6 | 100 | 100 | 100 | 100 |
| Cellulose (fiber) 6 | 50 | 50 | 50 | 50 |
| Crisco 7 | 0 | 150 | 150 | 150 |
| Corn oil 8 | 50 | 150 | 145 | 145 |
| Oxyresveratrol | 0 | 0 | 2.5 | 5 |
| Mineral 6, AIN-93G-MX | 35 | 42 | 42 | 42 |
| Vitamin 6, AIN-93-VM | 10 | 12 | 12 | 12 |
| Choline bitartrate | 2.5 | 2.5 | 2.5 | 2.5 |
| l-Cystine | 3 | 3 | 3 | 3 |
| Tert-butylhydroquinone | 0.014 | 0.014 | 0.014 | 0.014 |
| Energy 9, kJ/g | 15.69 | 20.69 | 20.46 | 20.42 |
| Parameters | LF 3 | HF 4 | OXY1 5 | OXY2 6 |
|---|---|---|---|---|
| Body weight | ||||
| Starting body weight, g | 19.61 ± 0.21 | 19.71 ± 0.20 | 19.56 ± 0.25 | 19.56 ± 0.31 |
| Final body weight, g | 32.46 ± 0.84 b | 40.54 ± 0.71 a | 33.51 ± 0.82 b | 29.92 ± 0.93 c |
| Body weight gain, g | 12.85 ± 0.81 b | 20.83 ± 0.67 a | 13.95 ± 0.79 b | 10.35 ± 0.77 c |
| Energy intake | ||||
| Fat intake, MJ | 0.43 ± 0.01 c | 2.09 ± 0.02 a | 1.89 ± 0.02 b | 1.84 ± 0.05 b |
| Energy intake, MJ | 3.57 ± 0.05 b | 3.82 ±0.04 a | 3.49 ± 0.04 bc | 3.37 ± 0.09 c |
| Energy efficiency 7, g/MJ | 3.60 ± 0.00 b | 5.45 ± 0.00 a | 3.98 ± 0.00 b | 3.04 ± 0.00 c |
| Tissue weights | ||||
| Liver, g | 1.12 ± 0.04 b | 1.34 ± 0.07 a | 1.08 ± 0.04 bc | 0.96 ± 0.04 c |
| Visceral fat, g | 1.75 ± 0.13 c | 3.31 ± 0.07 a | 2.35 ± 0.15 b | 1.60 ± 0.15 c |
| Gastrocnemius muscle, g | 0.31 ± 0.03 | 0.29 ± 0.02 | 0.29 ± 0.01 | 0.30 ± 0.01 |
| Biological Parameters | LF 3 | HF 4 | OXY1 5 | OXY2 6 |
|---|---|---|---|---|
| Serum | ||||
| Glucose, mM | 4.8 ± 0.4 c | 9.6 ± 0.8 a | 6.7 ± 0.6 b | 7.2 ± 0.3 b |
| Insulin, μg/L | 0.5 ± 0.3 b | 1.5 ± 0.3 a | 0.4 ± 0.1 b | 0.3 ± 0.2 b |
| HOMA-IR index 7 | 4.4 ± 1.7 b | 20.1 ± 4.6 a | 4.7 ± 1.2 b | 3.2 ± 1.4 b |
| Triglyceride, mg/dL | 132.7 ± 5.8 a | 110.4 ± 7.4 b | 105.3 ± 5.3 b | 84.6 ± 5.9 c |
| Cholesterol, mg/dL | 139.7 ± 4.9 ab | 153.4 ± 3.3 a | 142.3 ± 4.9 ab | 134.0 ± 4.7 b |
| HDL cholesterol, mg/dL | 89.4 ± 2.7 | 92.7 ± 1.0 | 91.4 ± 2.0 | 86.8 ± 3.0 |
| NEFA, mEq/L | 1.7 ± 0.1 a | 1.5 ± 0.1 ab | 1.5 ± 0.1 b | 1.1 ± 0.1 c |
| Hepatic lipids | ||||
| Triglyceride, mg/g liver | 14.1 ± 0.4 a | 14.1 ± 0.5 a | 12.9 ± 0.3 ab | 11.9 ± 0.5 b |
| Cholesterol, mg/g liver | 2.5 ± 0.2 a | 2.4 ± 0.1 a | 1.8 ± 0.1 b | 1.7 ± 0.1 b |
| NEFA, 10−3 mEq/g liver | 3.6 ± 0.2 b | 4.6 ± 0.3 ab | 4.9 ± 0.4 ab | 5.6 ± 0.7 a |
© 2017 by the authors. Licensee MDPI, Basel, Switzerland. This article is an open access article distributed under the terms and conditions of the Creative Commons Attribution (CC BY) license ( http://creativecommons.org/licenses/by/4.0/).
Share and Cite
Tan, H.Y.; Tse, I.M.Y.; Li, E.T.S.; Wang, M. Oxyresveratrol Supplementation to C57bl/6 Mice Fed with a High-Fat Diet Ameliorates Obesity-Associated Symptoms. Nutrients 2017, 9, 147. https://doi.org/10.3390/nu9020147
Tan HY, Tse IMY, Li ETS, Wang M. Oxyresveratrol Supplementation to C57bl/6 Mice Fed with a High-Fat Diet Ameliorates Obesity-Associated Symptoms. Nutrients. 2017; 9(2):147. https://doi.org/10.3390/nu9020147
Chicago/Turabian StyleTan, Hui Yuan, Iris Mei Ying Tse, Edmund Tsze Shing Li, and Mingfu Wang. 2017. "Oxyresveratrol Supplementation to C57bl/6 Mice Fed with a High-Fat Diet Ameliorates Obesity-Associated Symptoms" Nutrients 9, no. 2: 147. https://doi.org/10.3390/nu9020147
APA StyleTan, H. Y., Tse, I. M. Y., Li, E. T. S., & Wang, M. (2017). Oxyresveratrol Supplementation to C57bl/6 Mice Fed with a High-Fat Diet Ameliorates Obesity-Associated Symptoms. Nutrients, 9(2), 147. https://doi.org/10.3390/nu9020147
