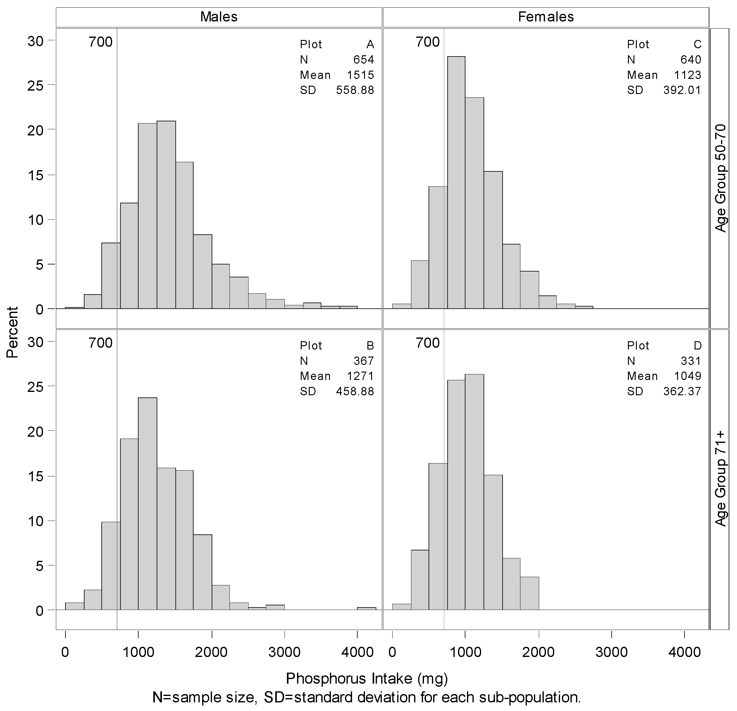
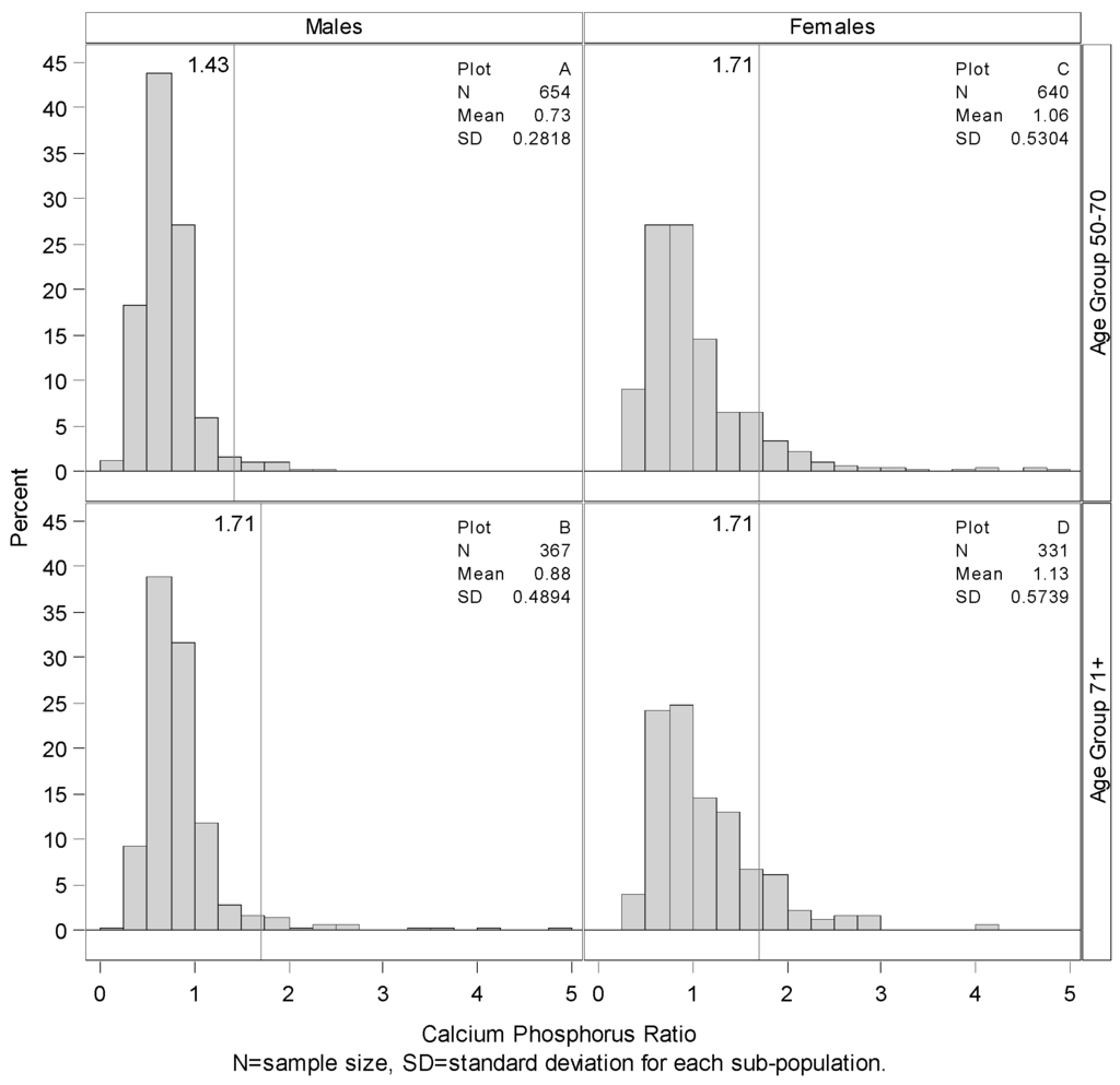
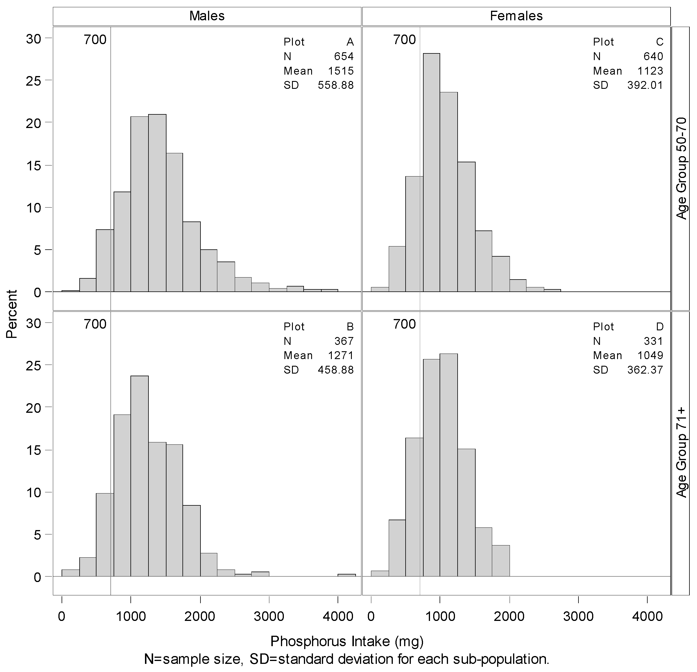
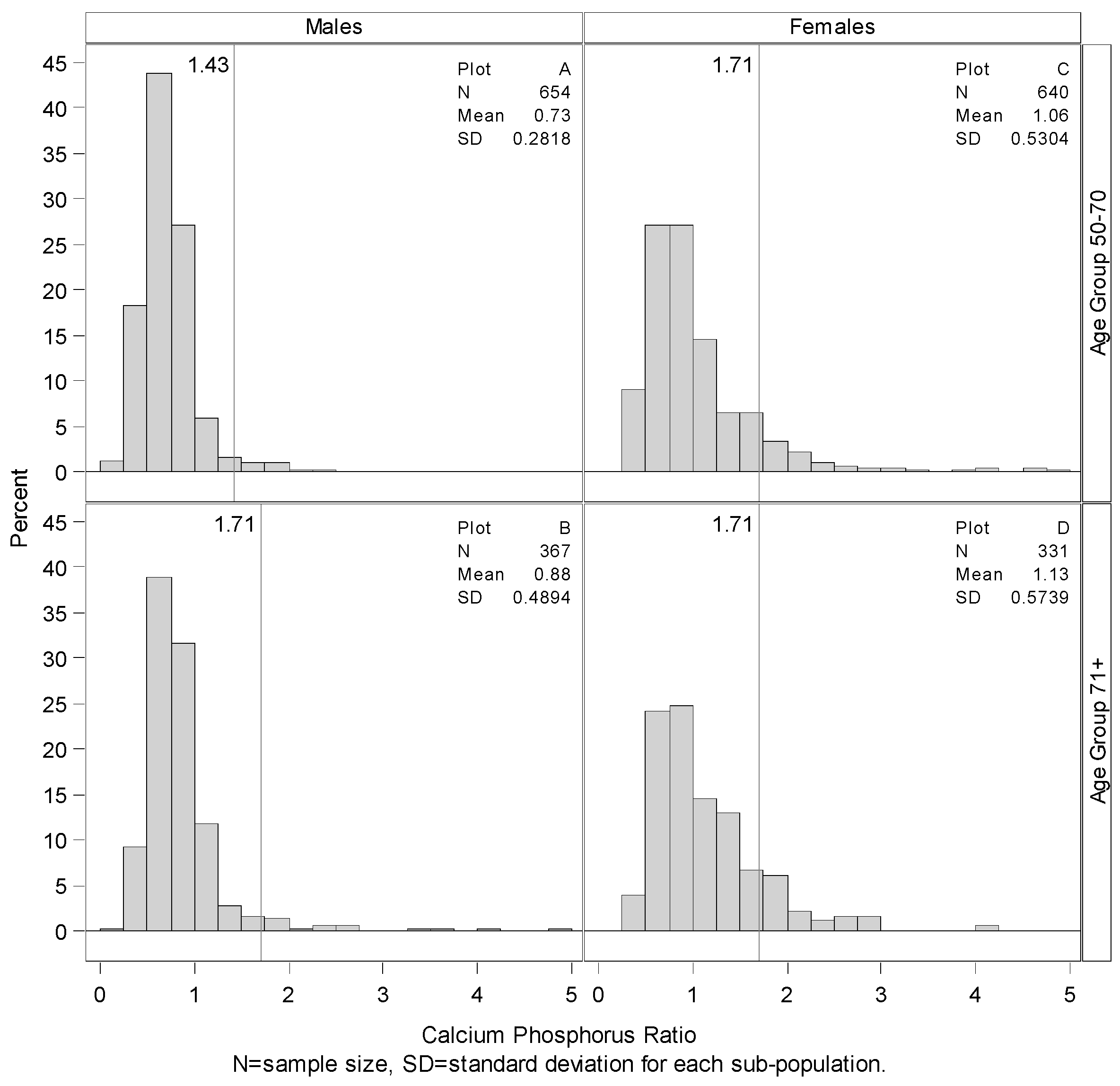
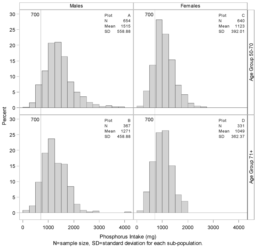
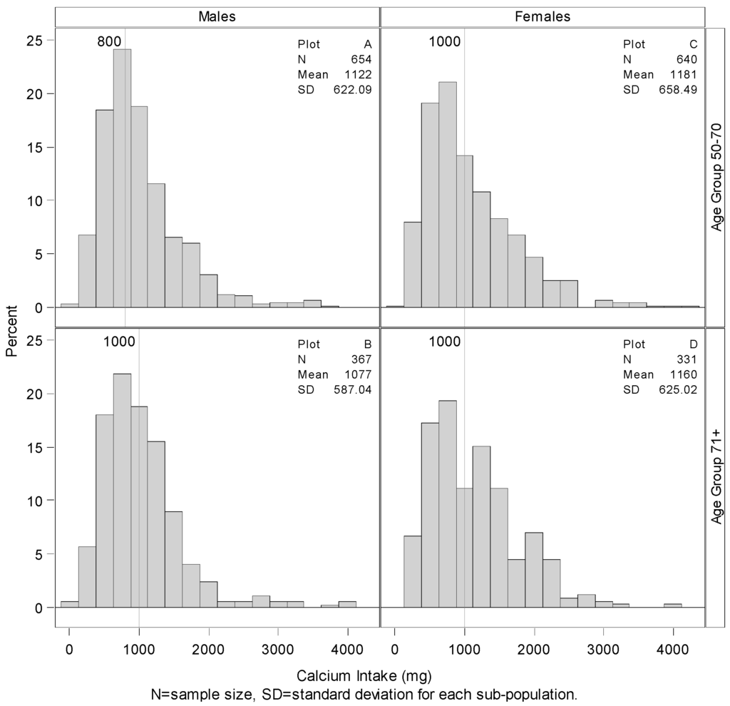
Intakes of Calcium and Phosphorus and Calculated Calcium-to-Phosphorus Ratios of Older Adults: NHANES 2005–2006 Data
Abstract
Share and Cite
Adatorwovor, R.; Roggenkamp, K.; Anderson, J.J.B. Intakes of Calcium and Phosphorus and Calculated Calcium-to-Phosphorus Ratios of Older Adults: NHANES 2005–2006 Data. Nutrients 2015, 7, 9633-9639. https://doi.org/10.3390/nu7115492
Adatorwovor R, Roggenkamp K, Anderson JJB. Intakes of Calcium and Phosphorus and Calculated Calcium-to-Phosphorus Ratios of Older Adults: NHANES 2005–2006 Data. Nutrients. 2015; 7(11):9633-9639. https://doi.org/10.3390/nu7115492
Chicago/Turabian StyleAdatorwovor, Reuben, Kathy Roggenkamp, and John J. B. Anderson. 2015. "Intakes of Calcium and Phosphorus and Calculated Calcium-to-Phosphorus Ratios of Older Adults: NHANES 2005–2006 Data" Nutrients 7, no. 11: 9633-9639. https://doi.org/10.3390/nu7115492
APA StyleAdatorwovor, R., Roggenkamp, K., & Anderson, J. J. B. (2015). Intakes of Calcium and Phosphorus and Calculated Calcium-to-Phosphorus Ratios of Older Adults: NHANES 2005–2006 Data. Nutrients, 7(11), 9633-9639. https://doi.org/10.3390/nu7115492

