Identification and Anti-Fatigue Activity of Walnut Protein Hydrolysate
Abstract
1. Introduction
2. Materials and Methods
2.1. Materials and Reagents
2.2. Preparation of WPHs
2.3. Ultrafiltration Crude Separation
2.4. Functional Characterisation of WPHs
2.5. Scanning Electron Microscope Analysis (SEM)
2.6. X-Ray Diffraction (XRD)
2.7. Fourier-Transform Infrared Spectroscopic Analysis (FTIR)
2.8. Peptide Identification
2.9. Animal Experimental Design
2.10. Biochemical Analysis of Serum and Liver, Muscle
2.11. Gut Microbiota Analysis of Cecum Contents
2.12. Faecal Metabolomics Analysis
2.13. Statistical Analyses
3. Results
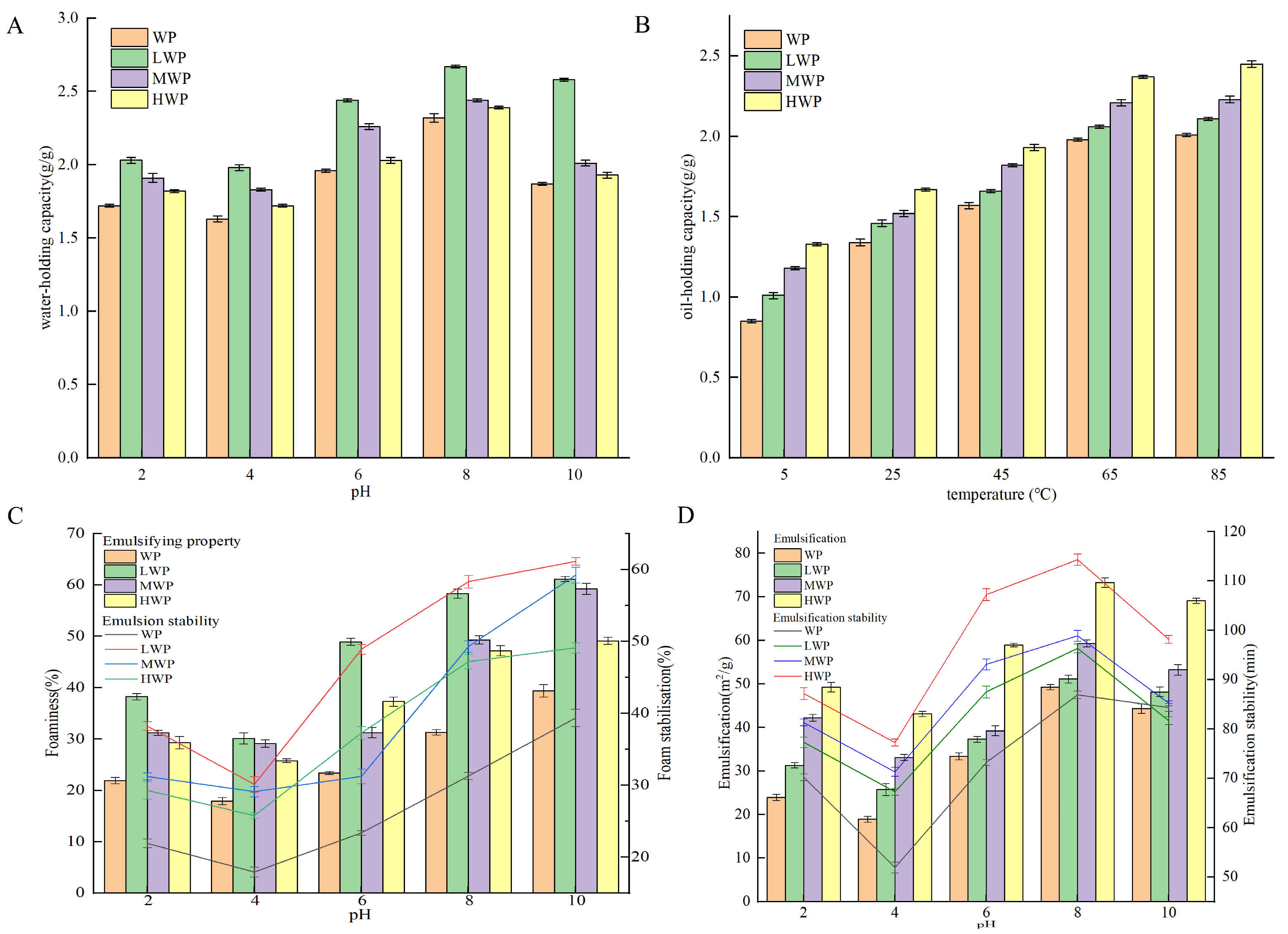
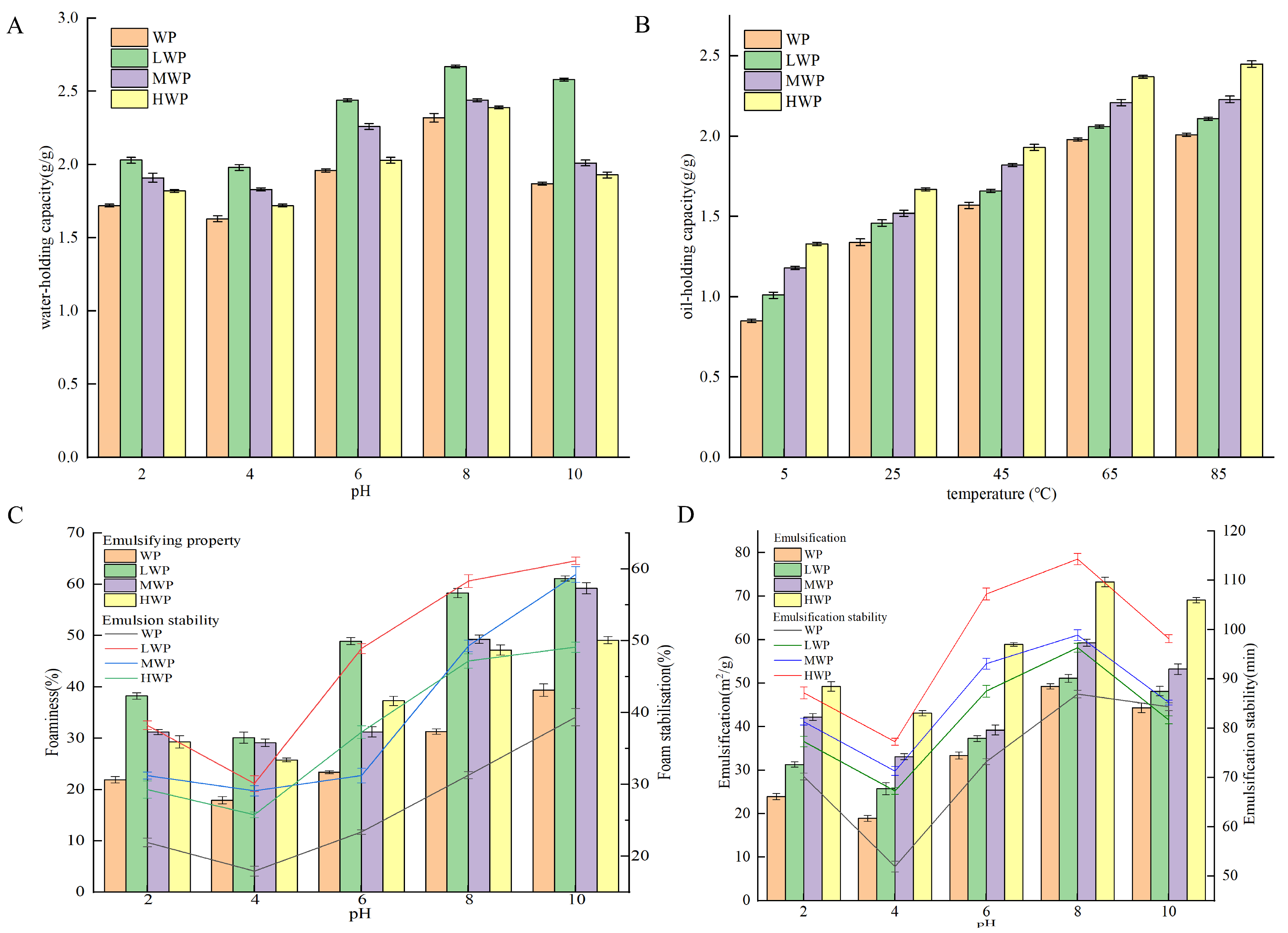
3.1. Functional Properties of WPHs
3.2. SEM, XRD, and FTIR Analyses
3.3. Identification and Screening of LWP
3.4. LWP Reduces Fatigue Induced by Strenuous Exercise
3.5. Effect of LWP on Intestinal Flora of High-Intensity Exercise Mice
3.6. Structural Composition of Microbial Community
3.7. GC-MS Analysis of Faecal Metabolites
4. Discussion
5. Conclusions
Author Contributions
Funding
Institutional Review Board Statement
Informed Consent Statement
Data Availability Statement
Conflicts of Interest
References
- Watterworth, B.W.M.; Graham, D.J.; Delfa, L.J.N. Between-day reliability of common muscle fatigue measures during a repeated upper limb fatigue protocol. Theor. Issues Ergon. Sci. 2025, 26, 84–97. [Google Scholar] [CrossRef]
- Klaps, S.; Verbrugghe, J.; Goossens, N.; Meus, T.; Köke, A.; Verbunt, J.; Langer, D.; Timmermans, A.; Janssens, L. Maximal inspiratory pressure and exercise-induced inspiratory muscle fatigue in chronic nonspecific low back pain. Respir. Med. 2024, 236, 107887. [Google Scholar] [CrossRef] [PubMed]
- Mohamed, A.Z.; Campo, J.D.; Del Fante, P.; Kwiatek, R.; Calhoun, V.D.; Shan, Z.Y. White-matter changes associated with a synergetic treatment for myalgic encephalomyelitis/chronic fatigue syndrome. Fatigue Biomed. Health Behav. 2025, 13, 8–18. [Google Scholar] [CrossRef]
- Larun, L.; Brurberg, K.G.; Jensen, J.O.; Price, J.R. Exercise therapy for chronic fatigue syndrome. Cochrane Database Syst. Rev. 2024, 12, CD003200. [Google Scholar] [PubMed]
- Peixin, W.; Dehua, W.; Jiamiao, H.; Bee, K.T.; Yi, Z.; Shaoling, L. Natural bioactive peptides to beat exercise-induced fatigue: A review. Food Biosci. 2021, 43, 101298. [Google Scholar]
- Morri, M.; Boccomino, R.; Brruku, E.; Terra, A.B.; Boschi, R.; Raucci, G.; Sabbi, D.; Ibrahim, T.; Coluccino, P. Fatigue Syndrome in Patients with Bone and Soft Tissue Sarcomas: An Observational Study. Semin. Oncol. Nurs. 2024, 41, 151761. [Google Scholar] [CrossRef]
- Wang, J.; Wang, X.; Xiu, W.; Li, C.; Yu, S.; Zhu, H.; Yang, C.; Zhou, K.; Ma, Y. Ultrasound-assisted preparation of sweet corn cob polysaccharide selenium nanoparticles alleviates symptoms of chronic fatigue syndrome. Food Funct. 2024, 16, 133–146. [Google Scholar] [CrossRef]
- Morri, M.; Boccomino, R.; Brruku, E.; Romagnoli, E.; Boschi, R.; Raucci, G.; Terra, A.B.; Coluccino, P. Fatigue, functional ability and quality of life in patients with bone and soft tissue sarcomas undergoing chemotherapy treatment: An observational study. Eur. J. Oncol. Nurs. 2025, 74, 102736. [Google Scholar] [CrossRef]
- Sepúlveda, N.; Malato, J.; Winck, J.C.; Carneiro, A.V.; Hoffman, J.S.; Branco, J. Post-Infection Fatigue Syndromes in the Era of Long COVID: The Case of Myalgic Encephalomyelitis/Chronic Fatigue Syndrome. Acta Medica Port. 2024, 37, 819–822. [Google Scholar] [CrossRef]
- HeeYun, K.; Hanchul, J.; Minson, K.; Jungeun, K.; SuYoung, C.; HyunJong, A.; CheungSeog, P.; HyungMin, K.; HyunJa, J. Euscaphic acid relieves fatigue by enhancing anti-oxidative and anti-inflammatory effects. Immunopharmacol. Immunotoxicol. 2022, 45, 11. [Google Scholar]
- Hesam, M.S. Powerful Stress Relieving Medicinal Plants for Anger, Anxiety, Depression and Stress during Global Pandemic. Recent Pat. Biotechnol. 2022, 16, 284–310. [Google Scholar]
- Barbas, L.A.L.; de Araújo, E.R.L.; Torres, M.F.; Maltez, L.C.; de Oliveira Garcia, L.; Heinzmann, B.M.; Sampaio, L.A. Stress relieving potential of two plant-based sedatives in the transport of juvenile tambaqui Colossoma macropomum. Aquaculture 2020, 520, 734681. [Google Scholar] [CrossRef]
- Functional Foods. New Functional Foods Findings from Nanjing Agricultural University Described (Tuber Indicum Polysaccharide Relieves Fatigue By Regulating Gut Microbiota in Mice). Food Wkly. News 2020. [Google Scholar]
- Amano, M.; Amiya, N.; Takaoka, M.; Sato, H.; Takatani, T.; Arakawa, O.; Sakakura, Y. Tetrodotoxin functions as a stress relieving substance in juvenile tiger puffer Takifugu rubripes. Toxicon 2019, 171, 54–61. [Google Scholar] [CrossRef] [PubMed]
- Bingna, C.; Xiangxi, Y.; Zhou, W.; Xiangtan, Z.; Ailing, D.; Hua, C.; Peng, W.; Deke, C.; Jingtong, H.; Jianyu, P. Anti-fatigue effects and mechanism of Syngnathus schlegeli peptides supplementation on exercise-fatigued mice. J. Funct. Foods 2023, 110, 105846. [Google Scholar]
- Zhu, Y.; Huang, Y.; Li, M.; Sun, B.; Liu, L.; Lv, M.; Qu, M.; Guan, H.; Zhu, X. High Fischer ratio peptide of hemp seed: Preparation and anti-fatigue evaluation in vivo and in vitro. Food Res. Int. 2023, 165, 112534. [Google Scholar]
- Athaillah, A.Z.; Li, X.; Wang, C.S. Analysis of juglone concentrations in walnut shells and woods. Cogent Food Agric. 2024, 10, 2437135. [Google Scholar] [CrossRef]
- Liu, W.; Li, E.; Hu, M. Efficacy of walnut supplementation in managing overweight and obesity: A meta-analysis of randomized clinical trials. J. Funct. Foods 2024, 122, 106515. [Google Scholar] [CrossRef]
- Momen, E.; Satari, B. Green biorefinery of walnut husk: Phenolic extraction and ethanol production. Appl. Food Res. 2024, 4, 100500. [Google Scholar] [CrossRef]
- Hu, Y.; Ni, C.; Wang, Y.; Yu, X.; Wu, H.; Tu, J.; Li, C.; Xiao, Z.; Wen, L. Research Progress on the Preparation and Function of Antioxidant Peptides from Walnuts. Int. J. Mol. Sci. 2023, 24, 14853. [Google Scholar] [CrossRef]
- Enhui, L.; Tianqing, H.; Wei, G.; Gaochao, W.; Fulin, D.; Haibing, M.; Lanlan, Z.; Xianchen, H.; Zuochun, Y.; Wenlong, J.; et al. Molecular characterization and antibacterial immunity functional analysis of the antimicrobial peptide hepcidin from Coregonus ussuriensis berg. Fish Shellfish Immunol. 2022, 122, 78–86. [Google Scholar]
- Saranya, D.M.; Daniel, T.T.; Manjubaashini, N.; Nataraj, D. Walnut shell biomass waste derived excitation-dependent CQDs for toxic insecticide sensing and protein denaturation inhibition-An ecofriendly and sustainable approach. Diam. Relat. Mater. 2023, 136, 110021. [Google Scholar]
- Areej, A.; Afaf, A.H. Topical Analgesic and Anti-Inflammatory Properties of Bioengineered Juglans regia L. Silver Nanoparticles. Pak. J. Biol. Sci. PJBS 2023, 26, 493–503. [Google Scholar]
- Ma, X.; Wang, W.; Zheng, C.; Liu, C.; Huang, Y.; Zhao, W.; Du, J. Quality Evaluation of Walnuts from Different Regions in China. Foods 2023, 12, 4123. [Google Scholar] [CrossRef] [PubMed]
- Beigrezaei, S.; Dianati, M.; Abargouei, A.S.; Fararouei, M.; Beni, A.A.; Brinkman, M.; White, E.; Weiderpass, E.; Le Calvez Kelm, F.; Gunter, M.J.; et al. The association between animal protein, plant protein, and their substitution with bladder cancer risk: A pooled analysis of 10 cohort studies. Eur. J. Nutr. 2024, 64, 55. [Google Scholar] [CrossRef]
- Sun, Q.; Yu, Z.; Luo, L.; Li, S.; Guan, X.; Sun, Z. Modulation of Inflammation Levels and the Gut Microbiota in Mice with DSS-Induced Colitis by a Balanced Vegetable Protein Diet. Plant Foods Hum. Nutr. 2024, 80, 19. [Google Scholar] [CrossRef]
- Patterson, R.A.; Cho, N.A.; Fernandes, T.S.; Tuplin, E.W.N.; Lowry, D.E.; Silva, G.V.; Reimer, R.A. Effects of a Paternal Diet High in Animal Protein (Casein) versus Plant Protein (Pea Protein with added Methionine) on Offspring Metabolic and Gut Microbiota Outcomes in Rats. Appl. Physiol. Nutr. Metab. 2024, 50, 1–15. [Google Scholar] [CrossRef] [PubMed]
- Colin, T.C. A plant-based diet and animal protein: Questioning dietary fat and considering animal protein as the main cause of heart disease. J. Geriatr. Cardiol. JGC 2017, 14, 331–337. [Google Scholar]
- Patrick, D. Plant homeodomain-finger protein 5A: A key player in cancer progression. Biomed. Pharmacother. 2023, 169, 115857. [Google Scholar]
- Yang, M.; Zhu, Y.; Xu, J.; Zhao, Z.; Wang, L.; Yang, J.; Zhang, M. Modification approaches of walnut proteins to improve their structural and functional properties: A review. Food Chem. X 2024, 24, 101873. [Google Scholar] [CrossRef]
- Guo, Y.; Xing, L.; Qian, C.; Ding, Z.; Jin, B. Involvement of Flavonoids from the Leaves of Carya cathayensis Sarg. in Sirtuin 1 Expression in HUVEC Senescence. Evid.-Based Complement. Altern. Med. Ecam 2018, 2018, 8246560. [Google Scholar]
- Tewari, M.L.; Rana, L.; Arya, K.S. Effect of drying on the essential oil traits and antioxidant potential J. regia L. leaves from Kumaun Himalaya. SN Appl. Sci. 2019, 1, 1606. [Google Scholar] [CrossRef]
- Fang, L.; Ren, D.; Cui, L.; Liu, C.; Wang, J.; Liu, W.; Min, W.; Liu, J. Antifatigue, Antioxidant and Immunoregulatory Effects of Peptides Hydrolyzed from Manchurian Walnut (Juglans mandshurica Maxim.) on Mice. Grain Oil Sci. Technol. 2018, 1, 44–52. [Google Scholar] [CrossRef]
- Li, W.; Li, H.; Li, J.; Xu, J.; Fang, L.; Liu, C.; Wu, D.; Min, W. Structure-activity relationship of walnut peptide in gastrointestinal digestion, absorption and antioxidant activity. LWT 2023, 189, 110035. [Google Scholar] [CrossRef]
- Zhang, Y.; Wang, H.; Tao, L.; Huang, A.-X. Milk-clotting mechanism of Dregea sinensis Hemsl. protease. J. Dairy Sci. 2015, 98, 8445–8453. [Google Scholar] [CrossRef]
- Jin, F.; Wang, Y.; Tang, H.; Regenstein, J.M.; Wang, F. Limited hydrolysis of dehulled walnut (Juglans regia L.) proteins using trypsin: Functional properties and structural characteristics. LWT 2020, 133, 110035. [Google Scholar] [CrossRef]
- Min-Soo, J.; Seong-Jun, C. Effect of pH-shifting on the water holding capacity and gelation properties of mung bean protein isolate. Food Res. Int. 2024, 177, 113912. [Google Scholar]
- Sun, J.; Li, X.; Xu, X.; Zhou, G. Influence of various levels of flaxseed gum addition on the water-holding capacities of heat-induced porcine myofibrillar protein. J. Food Sci. 2011, 76, C472–C478. [Google Scholar] [CrossRef] [PubMed]
- Dang, D. Effects of Emulsifier on Emulsification, Physical and Chemical Properties of Soybean Protein. IOP Conf. Ser. Earth Environ. Sci. 2021, 792, 012017. [Google Scholar] [CrossRef]
- Kim, S.Y.; Jung, Y.S.; Lee, H.J.; Mun, J.I.; Kim, S.W.; Song, K.Y.; Seod, H. Development of plant-based egg-white replacer: Improvement of foaming and thermal properties of plant-based proteins. LWT 2024, 207, 116611. [Google Scholar] [CrossRef]
- Alpiger, S.B.; Solet, C.; Dang, T.T.; Corredig, M. Ultrafiltration of Rapeseed Protein Concentrate: Effect of Pectinase Treatment on Membrane Fouling. Foods 2024, 13, 2423. [Google Scholar] [CrossRef]
- Ahmed, H.A.S.; Saif, B.; Qian, L. Antimicrobial Peptides From Different Sources: Isolation, Purification, and Characterization to Potential Applications. J. Sep. Sci. 2024, 47, e70043. [Google Scholar] [CrossRef] [PubMed]
- Liu, L.; Cai, H.; Zhang, Y.; Jin, Q.; Wang, X.; Jin, J. Chemical compositions and oxidative stabilities of cold-pressed walnut oils (Juglans regia L.): Effects of chemical refining, water degumming, and molecular distillation. J. Food Sci. 2024, 89, 7589–7598. [Google Scholar] [CrossRef]
- Fukasawa, R.; Miyazawa, T.; Abe, C.; Bhaswant, M.; Toda, M. Functional components of walnuts: A review focusing on native and cultivated species:Review. Food Sci. Technol. Res. 2024, 30, 1–12. [Google Scholar] [CrossRef]
- Wang, Y.; Huang, N.; Ye, N.; Qiu, L.; Li, Y.; Ma, H. An Efficient Virus-Induced Gene Silencing System for Functional Genomics Research in Walnut (Juglans regia L.) Fruits. Front. Plant Sci. 2021, 12, 661633. [Google Scholar] [CrossRef] [PubMed]
- Wei, W.; Wu, Q.; Wang, S.; Dong, C.; Shao, S.; Zhang, Z.; Zhang, X.; Zhang, X.; Kan, J.; Liu, F. Treatment with walnut peptide ameliorates memory impairment in zebrafish and rats: Promoting the expression of neurotrophic factors and suppressing oxidative stress. Food Funct. 2024, 15, 8043–8052. [Google Scholar] [CrossRef]
- Xie, J.; Hong, Z.; Dai, J.; Li, T.; Bai, Y.; Zhang, L.; Hu, X.; Chen, J.; Sheng, J.; Tian, Y. Isolation and identification of anti-colorectal cancer peptides from walnut proteins and associated in silico analysis. J. Funct. Foods 2024, 112, 105952. [Google Scholar] [CrossRef]
- Liu, C.; Zhang, Z.; Shang, Y.; Li, S.; Xia, J.; Tian, Y.; Jia, Y.; Ma, A. Progress in the preparation, identification and biological activity of walnut peptides. J. Future Foods 2024, 4, 205–220. [Google Scholar] [CrossRef]
- Wang, J.; Liu, J.; John, A.; Jiang, Y.; Zhu, H.; Yang, B.; Wen, L. Structure identification of walnut peptides and evaluation of cellular antioxidant activity. Food Chem. 2022, 388, 132943. [Google Scholar] [CrossRef]
- Shuai, X.; Li, Y.; Zhang, M.; Ma, F.; Du, L. Anti-fatigue effect of enzymatic protein hydrolysate from Macadamia. IOP Conf. Ser. Earth Environ. Sci. 2021, 769, 022029. [Google Scholar] [CrossRef]
- Abhishek, J.; Roshni, J.; Kumar, S.J. Assessment of Lactobacillus rhamnosus mediated protection against arsenic-induced toxicity in zebrafish: A qPCR-based analysis of Firmicutes and Bacteroidetes groups and embryonic development. Arch. Microbiol. 2023, 205, 316. [Google Scholar]
- Kihak, L.; Jae, O.H.; MinSu, K.; Sinae, K.; Sehee, A.; Ji, K.M.; SeonWon, K.; Suhwan, C. Metagenomic analysis of gut microbiome reveals a dynamic change in Alistipes onderdonkii in the preclinical model of pancreatic cancer, suppressing its proliferation. Appl. Microbiol. Biotechnol. 2021, 105, 8343–8358. [Google Scholar]
- Jayedi, A.; Gohari, A.; Najafi, A.; Zargar, M.S. Intake of animal and plant proteins and risk of all-cause mortality in patients with type 2 diabetes: Results from NHANES. Eur. J. Clin. Nutr. 2025, 79, 214–223. [Google Scholar] [CrossRef] [PubMed]
- Alessandro, D.R.; Chiara, C.; Marcella, P.; Luisa, S.; Luca, S.; Irene, P.; Sara, R.; Barbara, D.C.; Giovanni, S.; Giuseppe, E. Ultramicronized Palmitoylethanolamide Inhibits NLRP3 Inflammasome Expression and Pro-Inflammatory Response Activated by SARS-CoV-2 Spike Protein in Cultured Murine Alveolar Macrophages. Metabolites 2021, 11, 592. [Google Scholar] [CrossRef] [PubMed]










Disclaimer/Publisher’s Note: The statements, opinions and data contained in all publications are solely those of the individual author(s) and contributor(s) and not of MDPI and/or the editor(s). MDPI and/or the editor(s) disclaim responsibility for any injury to people or property resulting from any ideas, methods, instructions or products referred to in the content. |
© 2025 by the authors. Licensee MDPI, Basel, Switzerland. This article is an open access article distributed under the terms and conditions of the Creative Commons Attribution (CC BY) license (https://creativecommons.org/licenses/by/4.0/).
Share and Cite
Huang, S.; Wang, Y.; Li, M.; Mu, H.; Tan, C.; Wang, M.; Zhang, F.; Sheng, J.; Tian, Y.; Zhao, C. Identification and Anti-Fatigue Activity of Walnut Protein Hydrolysate. Nutrients 2025, 17, 1002. https://doi.org/10.3390/nu17061002
Huang S, Wang Y, Li M, Mu H, Tan C, Wang M, Zhang F, Sheng J, Tian Y, Zhao C. Identification and Anti-Fatigue Activity of Walnut Protein Hydrolysate. Nutrients. 2025; 17(6):1002. https://doi.org/10.3390/nu17061002
Chicago/Turabian StyleHuang, Si, Ya Wang, Manjia Li, Hongyu Mu, Chunlei Tan, Mingming Wang, Feng Zhang, Jun Sheng, Yang Tian, and Cunchao Zhao. 2025. "Identification and Anti-Fatigue Activity of Walnut Protein Hydrolysate" Nutrients 17, no. 6: 1002. https://doi.org/10.3390/nu17061002
APA StyleHuang, S., Wang, Y., Li, M., Mu, H., Tan, C., Wang, M., Zhang, F., Sheng, J., Tian, Y., & Zhao, C. (2025). Identification and Anti-Fatigue Activity of Walnut Protein Hydrolysate. Nutrients, 17(6), 1002. https://doi.org/10.3390/nu17061002

