Hydration Assessment in Males and Females Using the WUT (Weight, Urine Color, and Thirst) Venn Diagram Compared to Blood and Urinary Indices
Abstract
1. Introduction
2. Materials and Methods
2.1. Participants
2.2. Experimental Procedures
2.3. Measurements
2.4. WUT Criteria Determination
2.5. Statistical Analyses
3. Results
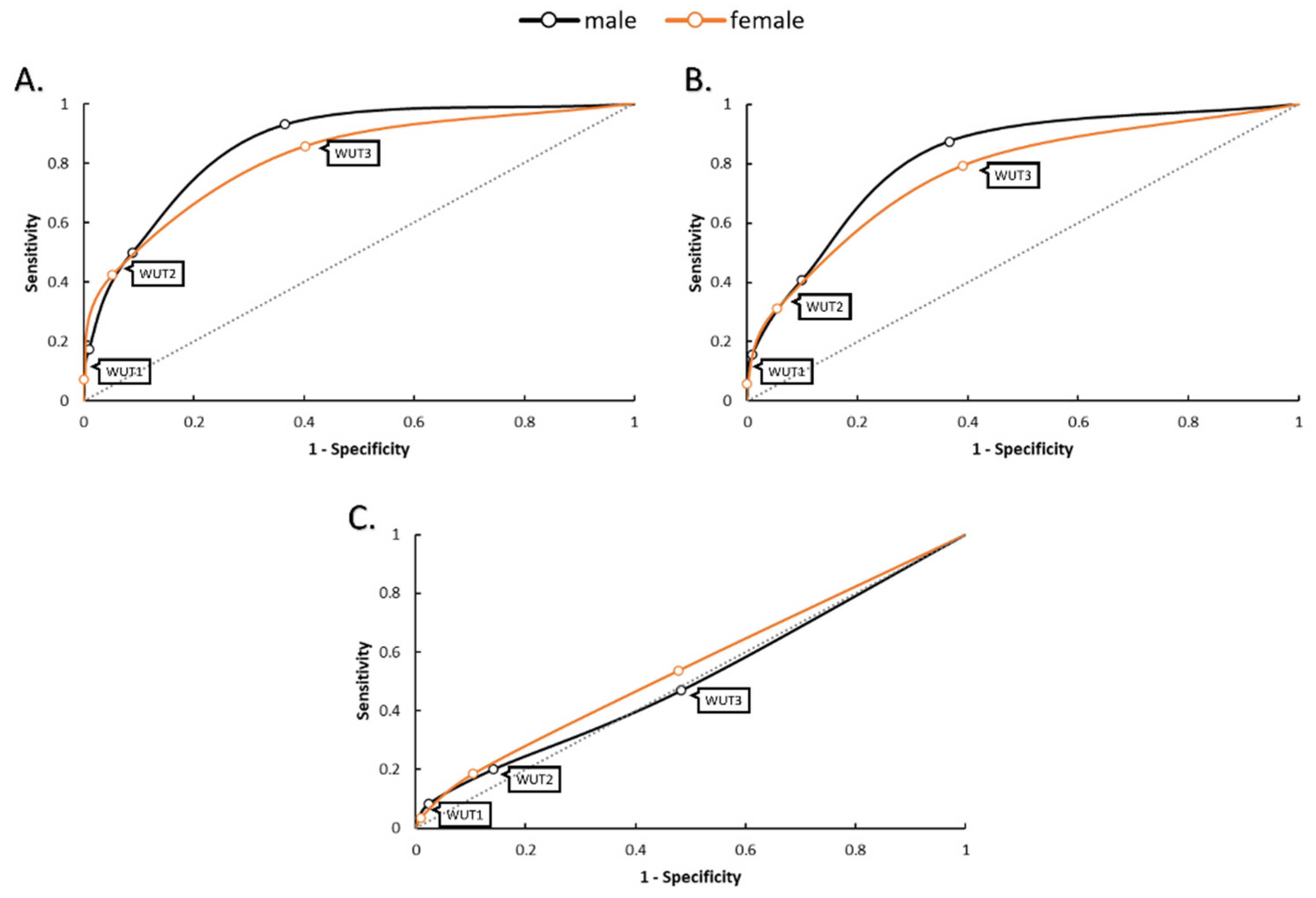
Receiver-Operating Characteristics for Males and Females
4. Discussion
5. Conclusions
Author Contributions
Funding
Institutional Review Board Statement
Informed Consent Statement
Data Availability Statement
Acknowledgments
Conflicts of Interest
References
- Giersch, G.E.W.; Charkoudian, N.; Stearns, R.L.; Casa, D.J. Fluid Balance and Hydration Considerations for Women: Review and Future Directions. Sports Med. 2020, 50, 253–261. [Google Scholar] [CrossRef] [PubMed]
- American College of Sports Medicine; Sawka, M.N.; Burke, L.M.; Eichner, E.R.; Maughan, R.J.; Montain, S.J.; Stachenfeld, N.S. American College of Sports Medicine position stand. Exercise and fluid replacement. Med. Sci. Sports Exerc. 2007, 39, 377–390. [Google Scholar] [CrossRef]
- Francescato, M.P.; Venuto, I.; Buoite Stella, A.; Stel, G.; Mallardi, F.; Cauci, S. Sex differences in hydration status among adolescent elite soccer players. J. Hum. Sport Exerc. 2019, 14, 265–280. [Google Scholar] [CrossRef]
- Ersoy, N.; Ersoy, G.; Kutlu, M. Assessment of hydration status of elite young male soccer players with different methods and new approach method of substitute urine strip. J. Int. Soc. Sports Nutr. 2016, 13, 34. [Google Scholar] [CrossRef]
- Maughan, R.J.; Shirreffs, S.M. Development of Individual Hydration Strategies for Athletes. Int. J. Sport Nutr. Exerc. Metab. 2008, 18, 457–472. [Google Scholar] [CrossRef]
- Barley, O.R.; Chapman, D.W.; Abbiss, C.R. Reviewing the current methods of assessing hydration in athletes. J. Int. Soc. Sports Nutr. 2020, 17, 52. [Google Scholar] [CrossRef]
- Armstrong, L.E. Assessing hydration status: The elusive gold standard. J. Am. Coll. Nutr. 2007, 26 Suppl. S5, 575S–584S. [Google Scholar] [CrossRef] [PubMed]
- Cheuvront, S.N.; Sawka, M.N. Hydration assessment of athletes. Sports Sci. Exch. 2005, 18, 238. [Google Scholar]
- Ekingen, T.; Sob, C.; Hartmann, C.; Rühli, F.J.; Matthes, K.L.; Staub, K.; Bender, N. Associations between hydration status, body composition, sociodemographic and lifestyle factors in the general population: A cross-sectional study. BMC Public Health 2022, 22, 900. [Google Scholar] [CrossRef]
- Wickham, K.A.; McCarthy, D.G.; Spriet, L.L.; Cheung, S.S. Sex differences in the physiological responses to exercise-induced dehydration: Consequences and mechanisms. J. Appl. Physiol. Bethesda Md. 2021, 131, 504–510. [Google Scholar] [CrossRef] [PubMed]
- Elliott-Sale, K.J.; Minahan, C.L.; De Jonge, X.A.K.J.; Ackerman, K.E.; Sipilä, S.; Constantini, N.W.; Lebrun, C.M.; Hackney, A.C. Methodological Considerations for Studies in Sport and Exercise Science with Women as Participants: A Working Guide for Standards of Practice for Research on Women. Sports Med. 2021, 51, 843–861. [Google Scholar] [CrossRef] [PubMed]
- Armstrong, L.E. Hydration Assessment Techniques. Nutr. Rev. 2005, 63, S40–S54. [Google Scholar] [CrossRef]
- Sekiguchi, Y.; Benjamin, C.L.; Butler, C.R.; Morrissey, M.C.; Filep, E.M.; Stearns, R.L.; Lee, E.C.; Casa, D.J. Relationships Between WUT (Body Weight, Urine Color, and Thirst Level) Criteria and Urine Indices of Hydration Status. Sports Health Multidiscip. Approach 2022, 14, 566–574. [Google Scholar] [CrossRef] [PubMed]
- Keefe, M.S.; Luk, H.Y.; Rolloque, J.J.S.; Jiwan, N.C.; McCollum, T.B.; Sekiguchi, Y. The WUT (Weight, Urine Color, and Thirst) Venn Diagram is an Accurate Tool Compared to Urinary and Blood Markers for Hydration Assessment at Morning and Afternoon Timepoints in Euhydrated and Free-Living Individuals. Br. J. Nutr. 2024, 131, 1181–1188. [Google Scholar] [CrossRef] [PubMed]
- Hampson, E. A brief guide to the menstrual cycle and oral contraceptive use for researchers in behavioral endocrinology. Horm. Behav. 2020, 119, 104655. [Google Scholar] [CrossRef] [PubMed]
- Armstrong, L.E.; Maresh, C.M.; Castellani, J.W.; Bergeron, M.F.; Kenefick, R.W.; LaGasse, K.E.; Riebe, D. Urinary indices of hydration status. Int. J. Sport Nutr. 1994, 4, 265–279. [Google Scholar] [CrossRef] [PubMed]
- Engell, D.B.; Maller, O.; Sawka, M.N.; Francesconi, R.N.; Drolet, L.; Young, A.J. Thirst and fluid intake following graded hypohydration levels in humans. Physiol. Behav. 1987, 40, 229–236. [Google Scholar] [CrossRef] [PubMed]
- Cheuvront, S.N.; Kenefick, R.W. Am I Drinking Enough? Yes, No, and Maybe. J. Am. Coll. Nutr. 2016, 35, 185–192. [Google Scholar] [CrossRef] [PubMed]
- Akobeng, A.K. Understanding diagnostic tests 3: Receiver operating characteristic curves. Acta Paediatr. 2007, 96, 644–647. [Google Scholar] [CrossRef]
- Adams, W.M.; Hevel, D.J.; Maher, J.P.; McGuirt, J.T. Racial and Sex Differences in 24 Hour Urinary Hydration Markers among Male and Female Emerging Adults: A Pilot Study. Nutrients 2020, 12, 1068. [Google Scholar] [CrossRef]
- Armstrong, L.E.; Johnson, E.C.; McKenzie, A.L.; Ellis, L.A.; Williamson, K.H. Endurance Cyclist Fluid Intake, Hydration Status, Thirst, and Thermal Sensations: Gender Differences. Int. J. Sport Nutr. Exerc. Metab. 2016, 26, 161–167. [Google Scholar] [CrossRef]
- Thigpen, L.K.; Green, J.M.; O’Neal, E.K. Hydration profile and sweat loss perception of male and female division II basketball players during practice. J. Strength. Cond. Res. 2014, 28, 3425–3431. [Google Scholar] [CrossRef] [PubMed]
- Perucca, J.; Bouby, N.; Valeix, P.; Bankir, L. Sex difference in urine concentration across differing ages, sodium intake, and level of kidney disease. Am. J. Physiol. Regul. Integr. Comp. Physiol. 2007, 292, R700–R705. [Google Scholar] [CrossRef] [PubMed]
- Abbey, B.M.; Heelan, K.A.; Brown, G.A.; Bartee, R.T. Validity of HydraTrend Reagent Strips for the Assessment of Hydration Status. J. Strength. Cond. Res. 2014, 28, 2634–2639. [Google Scholar] [CrossRef] [PubMed]
- McCrossin, T.; Roy, L.P. Comparison of hydrometry, refractometry, osmometry and Ames N-Multistix SG in estimation of urinary concentration. Aust. Paediatr. J. 1985, 21, 185–188. [Google Scholar] [CrossRef]
- Figaro, M.K.; Mack, G.W. Regulation of fluid intake in dehydrated humans: Role of oropharyngeal stimulation. Am. J. Physiol.-Regul. Integr. Comp. Physiol. 1997, 272, R1740–R1746. [Google Scholar] [CrossRef]
- Wardenaar, F.C.; Whitenack, L.; Vento, K.A.; Seltzer, R.G.N.; Siegler, J.; Kavouras, S.A. Validity of combined hydration self-assessment measurements to estimate a low vs. high urine concentration in a small sample of (tactical) athletes. Eur. J. Nutr. 2023, 63, 185–193. [Google Scholar] [CrossRef] [PubMed]
- Adams, W.M.; Anderson, T.; Zaplatosch, M.E.; Cheuvront, S.N.; Kenefick, R.W.; Yates, B.A.; Morrissey-Basler, M.C.; Casa, D.J.; Wideman, L. Utility of Body Weight, Urine Color, and Thirst Perception (WUT) in Determining Hydration in Young Adults. Med. Sci. Sports Exerc. 2024, 56, 2402–2412. [Google Scholar] [CrossRef]


| EUH Males | FL Males | EUH Females | FL Females | |
|---|---|---|---|---|
| BM (kg) | 81.33 ± 15.05 | 81.00 ± 15.04 | 69.07 ± 14.77 | 69.04 ± 14.68 |
| BML (%) | −0.2 ± 0.7 | 0.2 ± 1.1 | −0.3 ± 0.7 | −0.2 ± 1.0 |
| UCOL | 3 ± 1 | 4 ± 2 | 3 ± 2 | 4 ± 2 |
| Thirst | 3 ± 2 | 4 ± 2 | 3 ± 2 | 4 ± 2 |
| USG | 1.009 ± 0.005 | 1.016 ± 0.008 | 1.009 ± 0.005 | 1.017 ± 0.009 |
| UOSM (mmol·kg−1) | 376 ± 187 | 619 ± 268 | 364 ± 189 | 660 ± 307 |
| POSM (mmol·kg−1) | 287 ± 5 | 289 ± 5 | 285 ± 6 | 285 ± 5 |
| # of WUT Markers | Sensitivity | Specificity | Cutoff Determination Value | PPV (%) | NPV (%) | |
|---|---|---|---|---|---|---|
| EUH: FL | ||||||
| USG | 3 | 0.000: 0.179 | 1.000 *: 0.977 * | NA: 0.675 | NA: 83.3 | 98.6: 65.2 |
| 2 | 0.000: 0.607 | 0.944 *: 0.841 * | NA: 0.180 | 0: 70.8 | 98.5: 77.1 | |
| 1 | 1.000 *: 0.929 * | 0.732: 0.477 | 0.072: 0.279 | 5.0: 53.1 | 100.0: 91.3 | |
| UOSM | 3 | 0.000: 0.172 | 1.000 *: 0.977 * | NA: 0.686 | NA: 83.3 | 95.8: 63.6 |
| 2 | 0.000: 0.552 | 0.942 *: 0.814 * | NA: 0.235 | 0: 66.7 | 95.6: 72.9 | |
| 1 | 0.333: 0.931 * | 0.725: 0.488 | 0.521: 0.267 | 5.0: 55.1 | 96.2: 91.3 | |
| POSM | 3 | 0.000: 0.154 | 1.000 *: 0.952 * | NA: 0.718 | NA: 66.7 | 66.2: 64.5 |
| 2 | 0.044: 0.462 | 0.933 *: 0.738 | 0.918: 0.358 | 25.0: 52.2 | 65.6: 68.9 | |
| 1 | 0.174: 0.731 | 0.689: 0.333 | 0.779: 0.517 | 22.2: 40.4 | 62.0: 66.7 | |
| # of WUT Markers | Sensitivity | Specificity | Cutoff Determination Value | PPV (%) | NPV (%) | |
|---|---|---|---|---|---|---|
| EUH: FL | ||||||
| USG | 3 | NA: 0.179 | 1.000 *: 0.977 * | NA: 0.675 | NA: 83.3 | 100.0: 65.2 |
| 2 | NA: 0.607 | 0.972 *: 0.841 * | NA: 0.180 | 0: 70.8 | 100.0: 77.1 | |
| 1 | NA: 0.929 * | 0.694: 0.477 | NA: 0.279 | 0: 53.1 | 100.0: 91.3 | |
| UOSM | 3 | 0.000: 0.063 | 1.000 *: 1.000 * | NA: NA | NA: 100.0 | 97.2: 57.1 |
| 2 | 0.000: 0.375 | 0.971 *: 0.900 * | NA: 0.401 | 0: 75.0 | 97.1: 64.3 | |
| 1 | 0.500: 0.813 * | 0.700: 0.450 | 0.340: 0.337 | 4.5: 54.2 | 98.0: 75.0 | |
| POSM | 3 | 0.000: 0.083 | 1.000 *: 0.983 * | NA: 0.841 | -: 50.0 | 75.8: 83.6 |
| 2 | 0.000: 0.500 | 0.960 *: 0.825 * | NA: 0.281 | 0: 37.5 | 75.0: 88.7 | |
| 1 | 0.250: 0.917 * | 0.700: 0.368 | 0.653: 0.406 | 21.1: 23.4 | 74.5: 95.5 | |
Disclaimer/Publisher’s Note: The statements, opinions and data contained in all publications are solely those of the individual author(s) and contributor(s) and not of MDPI and/or the editor(s). MDPI and/or the editor(s) disclaim responsibility for any injury to people or property resulting from any ideas, methods, instructions or products referred to in the content. |
© 2025 by the authors. Licensee MDPI, Basel, Switzerland. This article is an open access article distributed under the terms and conditions of the Creative Commons Attribution (CC BY) license (https://creativecommons.org/licenses/by/4.0/).
Share and Cite
Keefe, M.S.; Luk, H.-Y.; Rolloque, J.-J.; Jiwan, N.C.; Sekiguchi, Y. Hydration Assessment in Males and Females Using the WUT (Weight, Urine Color, and Thirst) Venn Diagram Compared to Blood and Urinary Indices. Nutrients 2025, 17, 689. https://doi.org/10.3390/nu17040689
Keefe MS, Luk H-Y, Rolloque J-J, Jiwan NC, Sekiguchi Y. Hydration Assessment in Males and Females Using the WUT (Weight, Urine Color, and Thirst) Venn Diagram Compared to Blood and Urinary Indices. Nutrients. 2025; 17(4):689. https://doi.org/10.3390/nu17040689
Chicago/Turabian StyleKeefe, Marcos S., Hui-Ying Luk, Jan-Joseph Rolloque, Nigel C. Jiwan, and Yasuki Sekiguchi. 2025. "Hydration Assessment in Males and Females Using the WUT (Weight, Urine Color, and Thirst) Venn Diagram Compared to Blood and Urinary Indices" Nutrients 17, no. 4: 689. https://doi.org/10.3390/nu17040689
APA StyleKeefe, M. S., Luk, H.-Y., Rolloque, J.-J., Jiwan, N. C., & Sekiguchi, Y. (2025). Hydration Assessment in Males and Females Using the WUT (Weight, Urine Color, and Thirst) Venn Diagram Compared to Blood and Urinary Indices. Nutrients, 17(4), 689. https://doi.org/10.3390/nu17040689

