Knowledge Gaps, Sleep Disturbances, and Energy Imbalance Among Female Field Hockey Players
Abstract
1. Introduction
2. Materials and Methods
2.1. Study Design
2.2. Participants and Procedure
2.3. Instruments
2.3.1. Nutrition Knowledge Questionnaire
2.3.2. Sleep Assessment
2.3.3. Sports Supplement Consumption Assessment
2.3.4. Low Energy Availability Risk
2.3.5. Dietary Intake Assessment
2.4. Statistical Analysis
3. Results
3.1. Nutrition Knowledge
3.2. Subjective Sleep Evaluation
3.3. Use of Sports Supplements
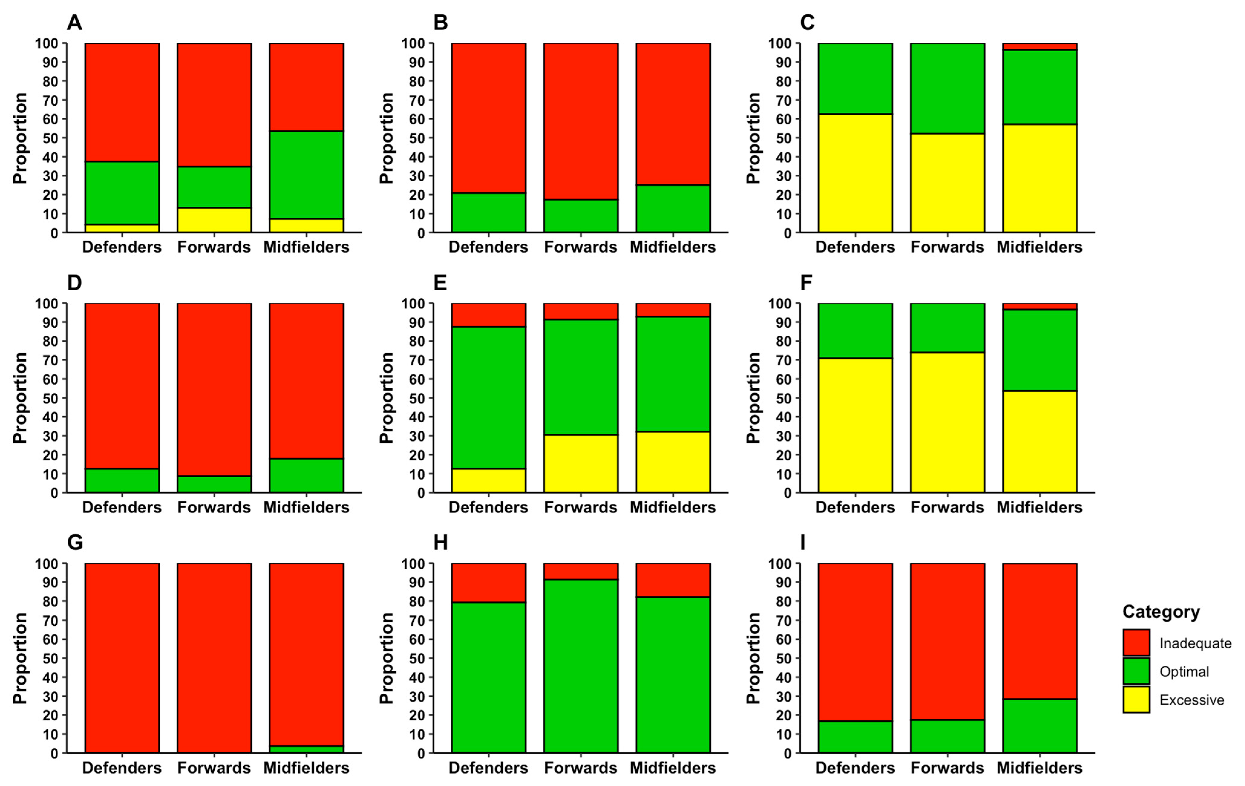
3.4. Dietary Intake and Low Energy Availability Risk
3.5. Low Energy Availability Risk, Sleep, Nutrition Knowledge, and Sports Supplement Relationship
4. Discussion
Limitations and Future Research
5. Conclusions
Supplementary Materials
Author Contributions
Funding
Institutional Review Board Statement
Informed Consent Statement
Data Availability Statement
Acknowledgments
Conflicts of Interest
Abbreviations
| AIS | Australian Institute of Sports |
| ASSQ | Athletes Sleep Screening Questionnaire |
| CEAC-Q | Carbohydrate for Endurance Athletes in Competition Questionnaire |
| ES | Effect Size |
| LEA | Low Energy Availability |
| LEAF-Q | Low Energy Availability in Females Questionnaire |
| NUKYA | Nutrition Knowledge for Young and Adult Athletes |
| SD | Standard Deviation |
| SS | Sports Supplements |
References
- The International Hockey Federation (FIH). Rules of Hockey 2023: Including Explanations; Following FIH Executive Board Approval of Rule 4.1 Guidance Note; FIH: Lausanne, Switzerland, 2023. [Google Scholar]
- Polglaze, T.; Dawson, B.; Buttfield, A.; Peeling, P. Metabolic Power and Energy Expenditure in an International Men’s Hockey Tournament. J. Sports Sci. 2018, 36, 140–148. [Google Scholar] [CrossRef]
- McGuinness, A.; Malone, S.; Hughes, B.; Collins, K.; Passmore, D. Physical Activity and Physiological Profiles of Elite International Female Field Hockey Players Across the Quarters of Competitive Match Play. J. Strength Cond. Res. 2019, 33, 2513–2522. [Google Scholar] [CrossRef]
- Macutkiewicz, D.; Sunderland, C. The Use of GPS to Evaluate Activity Profiles of Elite Women Hockey Players during Match-Play. J. Sports Sci. 2011, 29, 967–973. [Google Scholar] [CrossRef]
- Gabbett, T.J. GPS Analysis of Elite Women’s Field Hockey Training and Competition. J. Strength Cond. Res. 2010, 24, 1321–1324. [Google Scholar] [CrossRef]
- Hootman, J.M.; Dick, R.; Agel, J. Epidemiology of Collegiate Injuries for 15 Sports: Summary and Recommendations for Injury Prevention Initiatives. J. Athl. Train. 2007, 42, 311–319. [Google Scholar]
- Mountjoy, M.; Ackerman, K.E.; Bailey, D.M.; Burke, L.M.; Constantini, N.; Hackney, A.C.; Heikura, I.A.; Melin, A.; Pensgaard, A.M.; Stellingwerff, T.; et al. 2023 International Olympic Committee’s (IOC) Consensus Statement on Relative Energy Deficiency in Sport (REDs). Br. J. Sports Med. 2023, 57, 1073–1097. [Google Scholar] [CrossRef]
- Burke, L. Practical Issues in Nutrition for Athletes. J. Sports Sci. 1995, 13, S83–S90. [Google Scholar] [CrossRef] [PubMed]
- Doherty, R.; Madigan, S.M.; Nevill, A.; Warrington, G.; Ellis, J.G. The Sleep and Recovery Practices of Athletes. Nutrients 2021, 13, 1330. [Google Scholar] [CrossRef] [PubMed]
- Mata-Ordoñez, F.; Bastos, P.C.; Domínguez, R.; Sánchez-Oliver, A.J. Importancia Del Sueño En El Rendimiento y La Salud Del Deportista. e-Motion Rev. Educ. Mot. Investig. 2018, 70–82. [Google Scholar] [CrossRef]
- Walsh, N.P.; Halson, S.L.; Sargent, C.; Roach, G.D.; Nédélec, M.; Gupta, L.; Leeder, J.; Fullagar, H.H.; Coutts, A.J.; Edwards, B.J.; et al. Sleep and the Athlete: Narrative Review and 2021 Expert Consensus Recommendations. Br. J. Sports Med. 2020, 55, 356–368. [Google Scholar] [CrossRef] [PubMed]
- Sims, S.T.; Kerksick, C.M.; Smith-Ryan, A.E.; Janse de Jonge, X.A.K.; Hirsch, K.R.; Arent, S.M.; Hewlings, S.J.; Kleiner, S.M.; Bustillo, E.; Tartar, J.L.; et al. International Society of Sports Nutrition Position Stand: Nutritional Concerns of the Female Athlete. J. Int. Soc. Sports Nutr. 2023, 20, 2204066. [Google Scholar] [CrossRef] [PubMed]
- Jeukendrup, A.E.; Areta, J.L.; Van Genechten, L.; Langan-Evans, C.; Pedlar, C.R.; Rodas, G.; Sale, C.; Walsh, N.P. Does Relative Energy Deficiency in Sport (REDs) Syndrome Exist? Sports Med. 2024, 54, 2793–2816. [Google Scholar] [CrossRef] [PubMed]
- Anderson, T.; Galan-Lopez, N.; Taylor, L.; Post, E.G.; Finnoff, J.T.; Adams, W.M. Sleep Quality in Team USA Olympic and Paralympic Athletes. Int. J. Sports Physiol. Perform. 2024, 19, 383–392. [Google Scholar] [CrossRef]
- Close, G.L.; Kasper, A.M.; Walsh, N.P.; Maughan, R.J. “Food First but Not Always Food Only”: Recommendations for Using Dietary Supplements in Sport. Int. J. Sport Nutr. Exerc. Metab. 2022, 32, 371–386. [Google Scholar] [CrossRef]
- Kiertscher, E.; DiMarco, N.M. Use and Rationale for Taking Nutritional Supplements among Collegiate Athletes at Risk for Nutrient Deficiencies. Perform. Enhanc. Health 2013, 2, 24–29. [Google Scholar] [CrossRef]
- Sobal, J.; Marquart, L.F. Vitamin/Mineral Supplement Use among Athletes: A Review of the Literature. Int. J. Sport. Nutr. 1994, 4, 320–334. [Google Scholar] [CrossRef]
- Sousa, M.; Fernandes, M.J.; Carvalho, P.; Soares, J.; Moreira, P.; Teixeira, V.H. Nutritional Supplements Use in High-Performance Athletes Is Related with Lower Nutritional Inadequacy from Food. J. Sport. Health Sci. 2016, 5, 368–374. [Google Scholar] [CrossRef]
- Burger, S.; Bray, A.; Kim, B. The Relationship between Nutrition Knowledge and Low Energy Availability Risk in Collegiate Athletes. J. Sci. Med. Sport 2024, 27, 451–453. [Google Scholar] [CrossRef]
- Janiczak, A.; Devlin, B.L.; Forsyth, A.; Trakman, G.L. A Systematic Review Update of Athletes’ Nutrition Knowledge and Association with Dietary Intake. Br. J. Nutr. 2022, 128, 1156–1169. [Google Scholar] [CrossRef]
- Malsagova, K.A.; Kopylov, A.T.; Sinitsyna, A.A.; Stepanov, A.A.; Izotov, A.A.; Butkova, T.V.; Chingin, K.; Klyuchnikov, M.S.; Kaysheva, A.L. Sports Nutrition: Diets, Selection Factors, Recommendations. Nutrients 2021, 13, 3771. [Google Scholar] [CrossRef] [PubMed]
- Spronk, I.; Kullen, C.; Burdon, C.; O’Connor, H. Relationship between Nutrition Knowledge and Dietary Intake. Br. J. Nutr. 2014, 111, 1713–1726. [Google Scholar] [CrossRef]
- Renard, M.; Kelly, D.T.; Chéilleachair, N.N.; Catháin, C.Ó. How Does the Dietary Intake of Female Field-Based Team Sport Athletes Compare to Dietary Recommendations for Health and Performance? A Systematic Literature Review. Nutrients 2021, 13, 1235. [Google Scholar] [CrossRef]
- Aguilar-Navarro, M.; Baltazar-Martins, G.; Brito de Souza, D.; Muñoz-Guerra, J.; Del Mar Plata, M.; Del Coso, J. Gender Differences in Prevalence and Patterns of Dietary Supplement Use in Elite Athletes. Res. Q. Exerc. Sport. 2021, 92, 659–668. [Google Scholar] [CrossRef]
- Davar, V. Nutritional Knowledge and Attitudes Towards Healthy Eating of College-Going Women Hockey Players. J. Hum. Ecol. 2012, 37, 119–124. [Google Scholar] [CrossRef]
- Khattak, M.M.A.K. Evaluation of Energy Consumption, Macronutrients, and Supplements Intakes among University Hockey Players. Adv. Obes. Weight. Manag. Control 2022, 12, 22–28. [Google Scholar] [CrossRef]
- Costello, J.T.; Bieuzen, F.; Bleakley, C.M. Where Are All the Female Participants in Sports and Exercise Medicine Research? Eur. J. Sport Sci. 2014, 14, 847–851. [Google Scholar] [CrossRef] [PubMed]
- James, J.J.; Klevenow, E.A.; Atkinson, M.A.; Vosters, E.E.; Bueckers, E.P.; Quinn, M.E.; Kindy, S.L.; Mason, A.P.; Nelson, S.K.; Rainwater, K.A.H.; et al. Underrepresentation of Women in Exercise Science and Physiology Research Is Associated with Authorship Gender. J. Appl. Physiol. 2023, 135, 932–942. [Google Scholar] [CrossRef] [PubMed]
- Schulz, J.M.; Pohlod, L.; Myers, S.; Chung, J.; Thornton, J.S. Are Female Athlete Specific Health Considerations Being Assessed and Addressed in Preparticipation Examinations? A Scoping Review and Proposed Framework. J. Sport Health Sci. 2024, 14, 100981. [Google Scholar] [CrossRef]
- Kuikman, M.A.; Smith, E.S.; McKay, A.K.A.; Ackerman, K.E.; Harris, R.; Elliott-Sale, K.J.; Stellingwerff, T.; Burke, L.M. Fueling the Female Athlete: Auditing Her Representation in Studies of Acute Carbohydrate Intake for Exercise. Med. Sci. Sports Exerc. 2023, 55, 569–580. [Google Scholar] [CrossRef]
- Smith, E.S.; McKay, A.K.A.; Kuikman, M.; Ackerman, K.E.; Harris, R.; Elliott-Sale, K.J.; Stellingwerff, T.; Burke, L.M. Managing Female Athlete Health: Auditing the Representation of Female versus Male Participants among Research in Supplements to Manage Diagnosed Micronutrient Issues. Nutrients 2022, 14, 3372. [Google Scholar] [CrossRef]
- McKay, A.K.A.; Stellingwerff, T.; Smith, E.S.; Martin, D.T.; Mujika, I.; Goosey-Tolfrey, V.L.; Sheppard, J.; Burke, L.M. Defining Training and Performance Caliber: A Participant Classification Framework. Int. J. Sports Physiol. Perform. 2022, 17, 317–331. [Google Scholar] [CrossRef]
- Vázquez-Espino, K.; Fernández-Tena, C.; Lizarraga-Dallo, M.A.; Farran-Codina, A. Development and Validation of a Short Sport Nutrition Knowledge Questionnaire for Athletes. Nutrients 2020, 12, 3561. [Google Scholar] [CrossRef]
- Sampson, G.; Pugh, J.N.; Morton, J.P.; Areta, J.L. Carbohydrate for Endurance Athletes in Competition Questionnaire (CEAC-Q): Validation of a Practical and Time-Efficient Tool for Knowledge Assessment. Sport Sci. Health 2022, 18, 235–247. [Google Scholar] [CrossRef]
- Samuels, C.; James, L.; Lawson, D.; Meeuwisse, W. The Athlete Sleep Screening Questionnaire: A New Tool for Assessing and Managing Sleep in Elite Athletes. Br. J. Sports Med. 2016, 50, 418–422. [Google Scholar] [CrossRef]
- Sánchez Oliver, A.J. Suplementación Nutricional en la Actividad Físico-Deportiva: Análisis de la Calidad del Suplemento Proteico Consumido. Ph.D. Thesis, Universidad de Granada, Granada, Spain, 2013. [Google Scholar]
- Melin, A.; Tornberg, A.B.; Skouby, S.; Faber, J.; Ritz, C.; Sjödin, A.; Sundgot-Borgen, J. The LEAF Questionnaire: A Screening Tool for the Identification of Female Athletes at Risk for the Female Athlete Triad. Br. J. Sports Med. 2014, 48, 540–545. [Google Scholar] [CrossRef]
- Bender, A.M.; Lawson, D.; Werthner, P.; Samuels, C.H. The Clinical Validation of the Athlete Sleep Screening Questionnaire: An Instrument to Identify Athletes That Need Further Sleep Assessment. Sports Med. Open 2018, 4, 23. [Google Scholar] [CrossRef]
- Jiménez-Alfageme, R.; Domínguez, R.; Sanchez-Oliver, A.J.; Tapia-Castillo, P.; Martínez-Sanz, J.M.; Sospedra, I. Analysis of the Consumption of Sports Supplements in Open Water Swimmers According to the Competitive Level. Nutrients 2022, 14, 5211. [Google Scholar] [CrossRef]
- Jiménez-Alfageme, R.; Martínez-Sanz, J.M.; Romero-García, D.; Giménez-Monzo, D.; Hernández Aparicio, S.; Sanchez-Oliver, A.J.; Sospedra, I. Do Spanish Triathletes Consume Sports Supplements According to Scientific Evidence? An Analysis of the Consumption Pattern According to Sex and Level of Competition. Nutrients 2023, 15, 1330. [Google Scholar] [CrossRef]
- Mata, F.; Domínguez, R.; López-Samanes, Á.; Sánchez-Gómez, Á.; Jodra, P.; Sánchez-Oliver, A.J. Analysis of the Consumption of Sports Supplements in Elite Fencers According to Sex and Competitive Level. BMC Sports Sci. Med. Rehabil. 2021, 13, 50. [Google Scholar] [CrossRef] [PubMed]
- Muñoz, A.; López-Samanes, Á.; Domínguez, R.; Moreno-Pérez, V.; Jesús Sánchez-Oliver, A.; Del Coso, J. Use of Sports Supplements in Competitive Handball Players: Sex and Competitive Level Differences. Nutrients 2020, 12, 3357. [Google Scholar] [CrossRef]
- Romero-García, D.; Martínez-Sanz, J.M.; Sebastiá-Rico, J.; Manchado, C.; Vaquero-Cristóbal, R. Pattern of Consumption of Sports Supplements of Spanish Handball Players: Differences According to Gender and Competitive Level. Nutrients 2024, 16, 315. [Google Scholar] [CrossRef] [PubMed]
- Sebastiá-Rico, J.; Martínez-Sanz, J.M.; Sanchis-Chordà, J.; Alonso-Calvar, M.; López-Mateu, P.; Romero-García, D.; Soriano, J.M. Supplement Consumption by Elite Soccer Players: Differences by Competitive Level, Playing Position, and Sex. Healthcare 2024, 12, 496. [Google Scholar] [CrossRef]
- Knapik, J.J.; Steelman, R.A.; Hoedebecke, S.S.; Austin, K.G.; Farina, E.K.; Lieberman, H.R. Prevalence of Dietary Supplement Use by Athletes: Systematic Review and Meta-Analysis. Sports Med. 2016, 46, 103–123. [Google Scholar] [CrossRef]
- Supplements|Australian Institute of Sport. Available online: https://ais.gov.au/nutrition/supplements (accessed on 19 February 2025).
- Martínez, J.A.; Cámara, M.; Giner, R.M.; González, E.; López, E.; Mañes, J.; Portillo, M.P.; Rafecas, M.; Estruch, R.; Ros, G.; et al. Ingestas nutricionales de referencia (INR) de minerales y vitaminas para la población española (2019). Rev. Española Salud Pública 2022, 96, e202203034. [Google Scholar]
- Mancin, L.; Burke, L.M.; Rollo, I. Fibre: The Forgotten Carbohydrate in Sports Nutrition Recommendations. Sports Med. 2025, 55, 1067–1083. [Google Scholar] [CrossRef]
- Kerksick, C.M.; Wilborn, C.D.; Roberts, M.D.; Smith-Ryan, A.; Kleiner, S.M.; Jäger, R.; Collins, R.; Cooke, M.; Davis, J.N.; Galvan, E.; et al. ISSN Exercise & Sports Nutrition Review Update: Research & Recommendations. J. Int. Soc. Sports Nutr. 2018, 15, 38. [Google Scholar] [CrossRef] [PubMed]
- International Hockey Federation (FIH) Medical Committe. Nutritional Guidelines for Hockey Players; FIH: Lausanne, Switzerland, 2010. [Google Scholar]
- Grozenski, A.; Kiel, J. Basic Nutrition for Sports Participation, Part 1: Diet Composition, Macronutrients, and Hydration. Curr. Sports Med. Rep. 2020, 19, 389–391. [Google Scholar] [CrossRef]
- Thomas, D.T.; Erdman, K.A.; Burke, L.M. Position of the Academy of Nutrition and Dietetics, Dietitians of Canada, and the American College of Sports Medicine: Nutrition and Athletic Performance. J. Acad. Nutr. Diet. 2016, 116, 501–528. [Google Scholar] [CrossRef]
- Fritz, C.O.; Morris, P.E.; Richler, J.J. Effect Size Estimates: Current Use, Calculations, and Interpretation. J. Exp. Psychol. Gen. 2012, 141, 2–18. [Google Scholar] [CrossRef]
- Schober, P.; Boer, C.; Schwarte, L.A. Correlation Coefficients: Appropriate Use and Interpretation. Anesth. Analg. 2018, 126, 1763–1768. [Google Scholar] [CrossRef]
- Mujika, I.; Burke, L.M. Nutrition in Team Sports. Ann. Nutr. Metab. 2010, 57, 26–35. [Google Scholar] [CrossRef]
- Heikkilä, M.; Valve, R.; Lehtovirta, M.; Fogelholm, M. Nutrition Knowledge Among Young Finnish Endurance Athletes and Their Coaches. Int. J. Sport. Nutr. Exerc. Metab. 2018, 28, 522–527. [Google Scholar] [CrossRef] [PubMed]
- Vázquez-Espino, K.; Rodas-Font, G.; Farran-Codina, A. Sport Nutrition Knowledge, Attitudes, Sources of Information, and Dietary Habits of Sport-Team Athletes. Nutrients 2022, 14, 1345. [Google Scholar] [CrossRef] [PubMed]
- Magee, M.K.; Jones, M.T.; Fields, J.B.; Kresta, J.; Khurelbaatar, C.; Dodge, C.; Merfeld, B.; Ambrosius, A.; Carpenter, M.; Jagim, A.R. Body Composition, Energy Availability, Risk of Eating Disorder, and Sport Nutrition Knowledge in Young Athletes. Nutrients 2023, 15, 1502. [Google Scholar] [CrossRef] [PubMed]
- Heaney, S.; O’Connor, H.; Michael, S.; Gifford, J.; Naughton, G. Nutrition Knowledge in Athletes: A Systematic Review. Int. J. Sport. Nutr. Exerc. Metab. 2011, 21, 248–261. [Google Scholar] [CrossRef]
- Jagim, A.R.; Fields, J.B.; Magee, M.; Kerksick, C.; Luedke, J.; Erickson, J.; Jones, M.T. The Influence of Sport Nutrition Knowledge on Body Composition and Perceptions of Dietary Requirements in Collegiate Athletes. Nutrients 2021, 13, 2239. [Google Scholar] [CrossRef]
- Alahmadi, A.K.; Albassam, R.S. Assessment of General and Sports Nutrition Knowledge, Dietary Habits, and Nutrient Intake of Physical Activity Practitioners and Athletes in Riyadh, Saudi Arabia. Nutrients 2023, 15, 4353. [Google Scholar] [CrossRef]
- Trakman, G.L.; Forsyth, A.; Devlin, B.L.; Belski, R. A Systematic Review of Athletes’ and Coaches’ Nutrition Knowledge and Reflections on the Quality of Current Nutrition Knowledge Measures. Nutrients 2016, 8, 570. [Google Scholar] [CrossRef]
- Sampson, G.; Morton, J.P.; Areta, J.L. Mind the Gap: Limited Knowledge of Carbohydrate Guidelines for Competition in an International Cohort of Endurance Athletes. J. Nutr. Sci. 2023, 12, e68. [Google Scholar] [CrossRef]
- Frederick, D.A.; Gordon, A.R.; Cook-Cottone, C.P.; Brady, J.P.; Reynolds, T.A.; Alley, J.; Garcia, J.R.; Brown, T.A.; Compte, E.J.; Convertino, L.; et al. Demographic and Sociocultural Predictors of Sexuality-Related Body Image and Sexual Frequency: The U.S. Body Project I. Body Image 2022, 41, 109–127. [Google Scholar] [CrossRef]
- Staśkiewicz-Bartecka, W.; Kalpana, K.; Aktaş, S.; Khanna, G.L.; Zydek, G.; Kardas, M.; Michalczyk, M.M. The Impact of Social Media and Socio-Cultural Attitudes toward Body Image on the Risk of Orthorexia among Female Football Players of Different Nationalities. Nutrients 2024, 16, 3199. [Google Scholar] [CrossRef]
- Thompson, J.K.; van den Berg, P.; Roehrig, M.; Guarda, A.S.; Heinberg, L.J. The Sociocultural Attitudes towards Appearance Scale-3 (SATAQ-3): Development and Validation. Int. J. Eat. Disord. 2004, 35, 293–304. [Google Scholar] [CrossRef] [PubMed]
- Castillo, M.; Lozano-Casanova, M.; Sospedra, I.; Norte, A.; Gutiérrez-Hervás, A.; Martínez-Sanz, J.M. Energy and Macronutrients Intake in Indoor Sport Team Athletes: Systematic Review. Nutrients 2022, 14, 4755. [Google Scholar] [CrossRef]
- McHaffie, S.J.; Langan-Evans, C.; Morehen, J.C.; Strauss, J.A.; Areta, J.L.; Rosimus, C.; Evans, M.; Elliott-Sale, K.J.; Cronin, C.J.; Morton, J.P. Carbohydrate Fear, Skinfold Targets and Body Image Issues: A Qualitative Analysis of Player and Stakeholder Perceptions of the Nutrition Culture within Elite Female Soccer. Sci. Med. Footb. 2022, 6, 675–685. [Google Scholar] [CrossRef]
- Slavin, J.L. Dietary Fiber and Body Weight. Nutrition 2005, 21, 411–418. [Google Scholar] [CrossRef] [PubMed]
- Ackerman, K.E.; Holtzman, B.; Cooper, K.M.; Flynn, E.F.; Bruinvels, G.; Tenforde, A.S.; Popp, K.L.; Simpkin, A.J.; Parziale, A.L. Low Energy Availability Surrogates Correlate with Health and Performance Consequences of Relative Energy Deficiency in Sport. Br. J. Sports Med. 2019, 53, 628–633. [Google Scholar] [CrossRef]
- Lodge, M.T.; Ward-Ritacco, C.L.; Melanson, K.J. Considerations of Low Carbohydrate Availability (LCA) to Relative Energy Deficiency in Sport (RED-S) in Female Endurance Athletes: A Narrative Review. Nutrients 2023, 15, 4457. [Google Scholar] [CrossRef]
- Iwasa, T.; Minato, S.; Imaizumi, J.; Yoshida, A.; Kawakita, T.; Yoshida, K.; Yamamoto, Y. Effects of Low Energy Availability on Female Reproductive Function. Reprod. Med. Biol. 2022, 21, e12414. [Google Scholar] [CrossRef]
- Slater, J.; Brown, R.; McLay-Cooke, R.; Black, K. Low Energy Availability in Exercising Women: Historical Perspectives and Future Directions. Sports Med. 2017, 47, 207–220. [Google Scholar] [CrossRef]
- Areta, J.L.; Taylor, H.L.; Koehler, K. Low Energy Availability: History, Definition and Evidence of Its Endocrine, Metabolic and Physiological Effects in Prospective Studies in Females and Males. Eur. J. Appl. Physiol. 2021, 121, 1–21. [Google Scholar] [CrossRef]
- Heikura, I.A.; Stellingwerff, T.; Areta, J.L. Low Energy Availability in Female Athletes: From the Lab to the Field. Eur. J. Sport Sci. 2022, 22, 709–719. [Google Scholar] [CrossRef] [PubMed]
- Wasserfurth, P.; Palmowski, J.; Hahn, A.; Krüger, K. Reasons for and Consequences of Low Energy Availability in Female and Male Athletes: Social Environment, Adaptations, and Prevention. Sports Med. Open 2020, 6, 44. [Google Scholar] [CrossRef]
- Tenforde, A.S.; Fredericson, M.; Sayres, L.C.; Cutti, P.; Sainani, K.L. Identifying Sex-Specific Risk Factors for Low Bone Mineral Density in Adolescent Runners. Am. J. Sports Med. 2015, 43, 1494–1504. [Google Scholar] [CrossRef]
- Pai, N.N.; Brown, R.C.; Black, K.E. Risk of Low Energy Availability and Nutrition Knowledge among Female Team Sport Athletes. J. Sports Med. Phys. Fit. 2024, 64, 446–454. [Google Scholar] [CrossRef] [PubMed]
- Braçe, O.; Duncan, D.T.; Correa-Fernández, J.; Garrido-Cumbrera, M. Association of Sleep Duration with Mental Health: Results from a Spanish General Population Survey. Sleep Breath. 2022, 26, 389–396. [Google Scholar] [CrossRef] [PubMed]
- Nédélec, M.; Halson, S.; Abaidia, A.-E.; Ahmaidi, S.; Dupont, G. Stress, Sleep and Recovery in Elite Soccer: A Critical Review of the Literature. Sports Med. 2015, 45, 1387–1400. [Google Scholar] [CrossRef]
- Watkins, R.A.; Sugimoto, D.; Hunt, D.; Oldham, J.; Cacolice, P.A.; Stracciolini, A. Association of Social Media Use on Sleep Quality and Performance Among Collegiate Athletes. Clin. J. Sport Med. 2022, 32, 486–492. [Google Scholar] [CrossRef]
- Tiller, N.B.; Roberts, J.D.; Beasley, L.; Chapman, S.; Pinto, J.M.; Smith, L.; Wiffin, M.; Russell, M.; Sparks, S.A.; Duckworth, L.; et al. International Society of Sports Nutrition Position Stand: Nutritional Considerations for Single-Stage Ultra-Marathon Training and Racing. J. Int. Soc. Sports Nutr. 2019, 16, 50. [Google Scholar] [CrossRef]
- Wardenaar, F.C.; Ceelen, I.J.M.; Van Dijk, J.-W.; Hangelbroek, R.W.J.; Van Roy, L.; Van der Pouw, B.; De Vries, J.H.M.; Mensink, M.; Witkamp, R.F. Nutritional Supplement Use by Dutch Elite and Sub-Elite Athletes: Does Receiving Dietary Counseling Make a Difference? Int. J. Sport Nutr. Exerc. Metab. 2017, 27, 32–42. [Google Scholar] [CrossRef]
- Hull, M.V.; Jagim, A.R.; Oliver, J.M.; Greenwood, M.; Busteed, D.R.; Jones, M.T. Gender Differences and Access to a Sports Dietitian Influence Dietary Habits of Collegiate Athletes. J. Int. Soc. Sports Nutr. 2016, 13, 38. [Google Scholar] [CrossRef]
- Martínez-Sanz, J.M.; Mata, F.; Sala Ripoll, M.; Puya Braza, J.M.; Martínez Segura, A.; Sánchez Oliver, A.J.; Cortell Tormo, J.M. Fraud in nutritional supplements for athletes: A narrative review. Nutr. Hosp. 2021, 38, 839–847. [Google Scholar] [CrossRef]
- Garthe, I.; Maughan, R.J. Athletes and Supplements: Prevalence and Perspectives. Int. J. Sport Nutr. Exerc. Metab. 2018, 28, 126–138. [Google Scholar] [CrossRef]
- Maughan, R.J.; Shirreffs, S.M.; Vernec, A. Making Decisions About Supplement Use. Int. J. Sport Nutr. Exerc. Metab. 2018, 28, 212–219. [Google Scholar] [CrossRef]
- Maughan, R.J.; Burke, L.M.; Dvorak, J.; Larson-Meyer, D.E.; Peeling, P.; Phillips, S.M.; Rawson, E.S.; Walsh, N.P.; Garthe, I.; Geyer, H.; et al. IOC Consensus Statement: Dietary Supplements and the High-Performance Athlete. Int. J. Sport Nutr. Exerc. Metab. 2018, 28, 104–125. [Google Scholar] [CrossRef]
- Tektunalı Akman, C.; Gönen Aydın, C.; Ersoy, G. The Effect of Nutrition Education Sessions on Energy Availability, Body Composition, Eating Attitude and Sports Nutrition Knowledge in Young Female Endurance Athletes. Front. Public Health 2024, 12, 1289448. [Google Scholar] [CrossRef]
- Nascimento, M.; Silva, D.; Ribeiro, S.; Nunes, M.; Almeida, M.; Mendes-Netto, R. Effect of a Nutritional Intervention in Athlete’s Body Composition, Eating Behaviour and Nutritional Knowledge: A Comparison between Adults and Adolescents. Nutrients 2016, 8, 535. [Google Scholar] [CrossRef]
- Sánchez-Díaz, S.; Yanci, J.; Castillo, D.; Scanlan, A.T.; Raya-González, J. Effects of Nutrition Education Interventions in Team Sport Players. A Systematic Review. Nutrients 2020, 12, 3664. [Google Scholar] [CrossRef] [PubMed]
- Fiorini, S.; Neri, L.D.C.L.; Guglielmetti, M.; Pedrolini, E.; Tagliabue, A.; Quatromoni, P.A.; Ferraris, C. Nutritional Counseling in Athletes: A Systematic Review. Front. Nutr. 2023, 10, 1250567. [Google Scholar] [CrossRef] [PubMed]
- Hill, N.L.; Mogle, J.; Whitaker, E.B.; Gilmore-Bykovskyi, A.; Bhargava, S.; Bhang, I.Y.; Sweeder, L.; Tiwari, P.A.; Van Haitsma, K. Sources of Response Bias in Cognitive Self-Report Items: “Which Memory Are You Talking About?”. Gerontologist 2019, 59, 912–924. [Google Scholar] [CrossRef] [PubMed]
- Krumpal, I. Determinants of Social Desirability Bias in Sensitive Surveys: A Literature Review. Qual. Quant. 2013, 47, 2025–2047. [Google Scholar] [CrossRef]
- Larson-Meyer, D.E.; Woolf, K.; Burke, L. Assessment of Nutrient Status in Athletes and the Need for Supplementation. Int. J. Sport Nutr. Exerc. Metab. 2018, 28, 139–158. [Google Scholar] [CrossRef] [PubMed]







| Dietary Component | Recommendation | Unity | Reference |
|---|---|---|---|
| Energy | 40 to 70 | kcal/kg/BW | [49] |
| 2000 to 3000 | Kcal/day | [50] | |
| Carbohydrates | 5 to 10 | g/kg/BW | [49,51,52] |
| 60 to 60 | % of energy | [50] | |
| Protein | 1 to 2 | g/kg/BW | [49,50,51,52] |
| Fats | 0.5 to 1 | g/kg/BW | [49] |
| 15 to 30 | % of energy | [50] |
| Variables | Overall (n = 75) | Forwards (n = 23) | Defenders (n = 24) | Midfielders (n = 28) | p | η2 |
|---|---|---|---|---|---|---|
| Age (years) | 24.0 ± 5.0 | 20.7 ± 4.9 | 24.4 ± 5.0 | 24.7 ± 5.2 | 0.275 | 0.000 |
| Height (cm) | 165.6 ± 6.0 | 164.8 ± 4.6 | 167.0 ± 5.0 | 165.1 ± 7.5 | 0.407 | 0.025 |
| Body Weight (kg) | 64.1 ± 9.2 | 64.1 ± 9.9 | 64.5 ± 9.2 | 63.7 ± 8.9 | 0.940 | 0.000 |
| BMI (kg/m2) | 23.3 ± 2.5 | 23.5 ± 2.7 | 23.1 ± 2.8 | 23.3 ± 2.1 | 0.158 | 0.004 |
| Hockey experience (years) | 8.7 ± 2.9 | 8.7 ± 3.1 | 9.1 ± 2.8 | 8.3 ± 2.8 | 0.522 | 0.000 |
| Training frequency (days/week) | 5.8 ± 2.2 | 5.6 ± 1.9 | 5.8 ± 2.2 | 5.9 ± 2.4 | 0.893 | 0.000 |
| Training volume (hours/week) | 10.5 ± 5.4 | 9.6 ± 4.8 | 10.7 ± 5.9 | 11.1 ± 5.6 | 0.484 | 0.000 |
| Hockey training frequency (days/week) | 3.9 ± 1.4 | 3.7 ± 1.3 | 3.8 ± 1.5 | 4.0 ± 1.4 | 0.840 | 0.005 |
| Hockey training volume (hours/week) | 8.3 ± 4.2 | 7.6 ± 3.6 | 8.4 ± 4.5 | 8.9 ± 4.5 | 0.612 | 0.00 |
| Complementary training frequency (days/week) | 1.9 ± 1.3 | 1.8 ± 1.2 | 2.0 ± 1.3 | 1.9 ± 1.4 | 0.934 | 0.002 |
| Complementary training volume (hours/week) | 2.2 ± 1.9 | 2.0 ± 1.8 | 2.4 ± 2.1 | 2.2 ± 1.9 | 0.671 | 0.000 |
| SDS Category | Forwards (n = 23) | Defenders (n = 24) | Midfielders (n = 28) |
|---|---|---|---|
| None | 26.1 | 16.7 | 32.1 |
| Mild | 34.8 | 45.8 | 42.9 |
| Moderate | 21.7 | 33.3 | 10.7 |
| Severe | 17.4 | 4.2 | 14.3 |
| ASSQ Section | ASSQ Item | Forwards (n = 23) | Defenders (n = 24) | Midfielders (n = 28) |
|---|---|---|---|---|
| Sleep nighttime | 5 to 6 h | 39.1 | 37.5 | 28.6 |
| 6 to 7 h | 30.5 | 25.0 | 32.1 | |
| 7 to 8 h | 26.1 | 20.1 | 35.7 | |
| 8 to 9 h | 4.3 | 16.7 | 3.6 | |
| More than 9 h | 0.0 | 0.0 | 0.0 | |
| Sleep satisfaction | Very satisfied | 26.1 | 16.7 | 21.4 |
| Somewhat satisfied | 21.7 | 16.7 | 35.7 | |
| Neither satisfied nor dissatisfied | 17.4 | 45.8 | 14.3 | |
| Somewhat dissatisfied | 30.4 | 20.8 | 28.6 | |
| Very dissatisfied | 4.3 | 0.0 | 0.0 | |
| Difficulty falling sleep | None | 30.4 | 41.7 | 32.1 |
| Once or twice per week | 52.2 | 45.8 | 50.0 | |
| Three or four times per week | 13.0 | 20.8 | 7.1 | |
| Five to seven days per week | 4.3 | 0.0 | 10.7 | |
| Use of electronic devices | Not at all | 4.3 | 4.2 | 17.9 |
| 1 to 3 times per week | 43.5 | 41.7 | 35.7 | |
| 4 to 6 times per week | 4.3 | 8.3 | 14.3 | |
| Every day | 73.9 | 70.8 | 60.7 | |
| Not at all | 4.3 | 4.2 | 17.9 |
| Total (n = 59) | Forwards (n = 20) | Defenders (n = 19) | Midfielders (n = 20) | ||||
|---|---|---|---|---|---|---|---|
| Supplement | n (%) | Supplement | n (%) | Supplement | n (%) | Supplement | n (%) |
| Caffeine | 17 (28.8) | Caffeine | 8 (40.0) | Vitamin D | 6 (31.6) | Creatine | 6 (30.0) |
| Creatine | 16 (27.1) | Creatine | 6 (30.0) | Iron | 4 (21.1) | Whey Protein | 5 (25.0) |
| Isotonic Drink | 12 (20.3) | Vitamin C | 5 (25.0) | Vitamin C | 4 (21.1) | Caffeine | 5 (25.0) |
| Protein Bar | 11 (18.6) | Electrolytes | 4 (20.0) | Creatine | 4 (21.1) | Isotonic Drink | 5 (25.0) |
| Vitamin C | 11 (18.6) | Isotonic Drink | 4 (20.0) | Omega 3 | 4 (21.1) | Multivitamin | 5 (25.0) |
| Whey Protein | 10 (16.9) | Magnesium | 4 (20.0) | Protein Bar | 4 (21.1) | Omega 3 | 4 (20.0) |
| Omega 3 | 10 (16.9) | Iron | 3 (15.0) | Caffeine | 4 (21.1) | Protein Bar | 4 (20.0) |
| Vitamin D | 9 (15.3) | Sport Bar | 3 (15.0) | Whey Protein | 3 (15.8) | Sport Bar | 3 (15.0) |
| Sport Bar | 9 (15.3) | Protein Bar | 3 (15.0) | Protein Bar | 3 (15.8) | Vitamin C | 2 (10.0) |
| Iron | 8 (13.6) | Omega 3 | 2 (10.0) | Isotonic Drink | 3 (15.8) | Vitamin D | 2 (10.0) |
| AIS Category | Overall (n = 75) | Forwards (n = 23) | Defenders (n = 24) | Midfielders (n = 28) | p | η2 | |
|---|---|---|---|---|---|---|---|
| Group A | Sports Foods | 1.0 ± 1.1 | 0.9 ± 1.0 | 1.1 ± 1.2 | 1.0 ± 1.3 | 0.886 | 0.000 |
| Medical Supplements | 0.4 ± 0.7 | 0.3 ± 0.6 | 0.6 ± 0.9 | 0.4 ± 0.7 | 0.443 | 0.000 | |
| Ergogenic Aids | 0.6 ± 0.6 | 0.8 ± 0.7 | 0.6 ± 0.7 | 0.6 ± 0.6 | 0.699 | 0.000 | |
| Total Group A | 2.1 ± 1.4 | 2.0 ± 1.4 | 2.3 ± 1.7 | 2.0 ± 1.1 | 0.678 | 0.000 | |
| Group B | 0.4 ± 0.7 | 0.4 ± 0.6 | 0.5 ± 0.8 | 0.4 ± 0.7 | 0.870 | 0.000 | |
| Group C | 0.6 ± 1.0 | 0.7 ± 0.8 | 0.9 ± 1.3 | 0.2 ± 0.5 | 0.027 | 0.073 | |
| Variables | Forwards (n = 23) | Defenders (n = 24) | Midfielders (n = 28) | p | η2 |
|---|---|---|---|---|---|
| Energy (kcal/day) | 2000.4 ± 649.7 | 1940.7 ± 607.0 | 2058.8 ± 577.5 | 0.777 | 0.000 |
| Energy (kcal/kg BW/day) | 32.4 ± 12.0 | 30.1 ± 9.3 | 33.7 ± 10.8 | 0.709 | 0.000 |
| Carbohydrates (g/day) | 220.4 ± 75.9 | 214.2 ± 82.7 | 231.8 ± 98.3 | 0.759 | 0.000 |
| Carbohydrates (kcal/kg BW/day) | 3.5 ± 1.5 | 3.4 ± 1.4 | 3.7 ± 1.6 | 0.619 | 0.000 |
| Protein (g/day) | 112.0 ± 36.7 | 103.3 ± 42.0 | 111.6 ± 38.6 | 0.196 | 0.018 |
| Protein (kcal/kg BW/day) | 1.8 ± 0.6 | 1.6 ± 0.6 | 1.8 ± 0.6 | 0.232 | 0.000 |
| Fats (g/day) | 74.1 ± 36.7 | 70.5 ± 22.3 | 79.8 ± 36.5 | 0.966 | 0.000 |
| Fats (kcal/kg BW/day) | 1.2 ± 0.7 | 1.1 ± 0.4 | 1.3 ± 0.6 | 0.948 | 0.000 |
| Fiber (g/day) | 23.5 ± 7.7 | 21.5 ± 8.3 | 25.4 ± 7.7 | 0.386 | 0.000 |
| Section | Forwards (n = 23) | Defenders (n = 24) | Midfielders (n = 28) | p | η2 |
|---|---|---|---|---|---|
| Injuries | 1.1 ± 1.8 | 0.8 ± 1.5 | 1.9 ± 2.0 | 0.080 | 0.068 |
| Gastrointestinal function | 2.7 ± 2.0 | 2.7 ± 2.4 | 2.7 ± 2.1 | 0.999 | 0.000 |
| Menstrual function | 2.6 ± 3.0 | 2.4 ± 2.2 | 2.5 ± 2.0 | 0.963 | 0.001 |
| Total | 6.4 ± 4.5 | 5.9 ± 4.5 | 7.1 ± 3.0 | 0.518 | 0.015 |
| Position | LEAF-Q < 8 Points (No Risk) | LEAF-Q > 8 Points (Risk) |
|---|---|---|
| Forwards (n = 23) | 69.6% | 30.4% |
| Defenders (n = 24) | 70.8% | 29.2% |
| Midfielders (n = 28) | 60.7% | 39.3% |
Disclaimer/Publisher’s Note: The statements, opinions and data contained in all publications are solely those of the individual author(s) and contributor(s) and not of MDPI and/or the editor(s). MDPI and/or the editor(s) disclaim responsibility for any injury to people or property resulting from any ideas, methods, instructions or products referred to in the content. |
© 2025 by the authors. Licensee MDPI, Basel, Switzerland. This article is an open access article distributed under the terms and conditions of the Creative Commons Attribution (CC BY) license (https://creativecommons.org/licenses/by/4.0/).
Share and Cite
Puchalt-Urbano, X.; Calderón-García, A.; R. Huertas, J.; Sánchez-Oliver, A.J.; López de la Torre, C.; Aguila-Aguilar, E.; Lopez Soto, P.J.; Luque, R.M.; Mata-Ordóñez, F. Knowledge Gaps, Sleep Disturbances, and Energy Imbalance Among Female Field Hockey Players. Nutrients 2025, 17, 3934. https://doi.org/10.3390/nu17243934
Puchalt-Urbano X, Calderón-García A, R. Huertas J, Sánchez-Oliver AJ, López de la Torre C, Aguila-Aguilar E, Lopez Soto PJ, Luque RM, Mata-Ordóñez F. Knowledge Gaps, Sleep Disturbances, and Energy Imbalance Among Female Field Hockey Players. Nutrients. 2025; 17(24):3934. https://doi.org/10.3390/nu17243934
Chicago/Turabian StylePuchalt-Urbano, Xavier, Andrea Calderón-García, Jesús R. Huertas, Antonio Jesús Sánchez-Oliver, Cristina López de la Torre, Elena Aguila-Aguilar, Pablo Jesús Lopez Soto, Raúl M. Luque, and Fernando Mata-Ordóñez. 2025. "Knowledge Gaps, Sleep Disturbances, and Energy Imbalance Among Female Field Hockey Players" Nutrients 17, no. 24: 3934. https://doi.org/10.3390/nu17243934
APA StylePuchalt-Urbano, X., Calderón-García, A., R. Huertas, J., Sánchez-Oliver, A. J., López de la Torre, C., Aguila-Aguilar, E., Lopez Soto, P. J., Luque, R. M., & Mata-Ordóñez, F. (2025). Knowledge Gaps, Sleep Disturbances, and Energy Imbalance Among Female Field Hockey Players. Nutrients, 17(24), 3934. https://doi.org/10.3390/nu17243934

