Efficacy and Safety of Lactobacillus delbrueckii subsp. lactis CKDB001 Supplementation on Cognitive Function in Mild Cognitive Impairment: A Randomized, Double-Blind, Placebo-Controlled Clinical Trial
Abstract
1. Introduction
2. Materials and Methods
2.1. Ethics Statement
2.2. Study Participants
2.3. Study Design
2.4. Study Products
2.5. Efficacy Outcome Measures
2.6. Microbiome and Metabolite Analysis Methods
2.6.1. Fecal Sample Collection
2.6.2. Microbiome Analysis
2.6.3. Metabolite Analysis
2.7. Safety Outcome Measures
2.8. Statistical Analysis
3. Results
3.1. Subject Characteristics
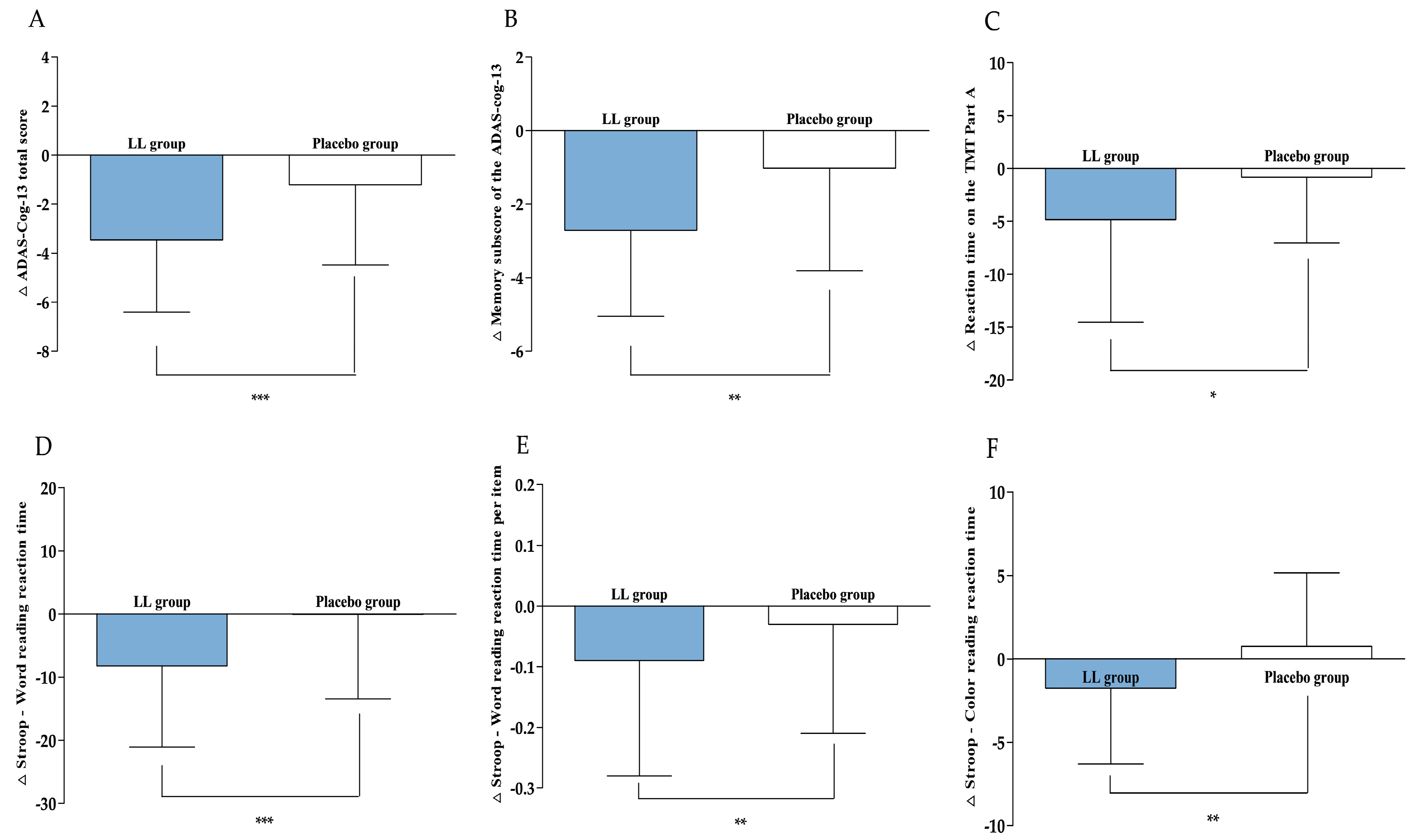
3.2. Efficacy Evaluation
3.3. Results of Microbiome and Metabolite Analysis
3.4. Safety Evaluation
4. Discussion
5. Conclusions
Supplementary Materials
Author Contributions
Funding
Institutional Review Board Statement
Informed Consent Statement
Data Availability Statement
Conflicts of Interest
References
- World Health Organization. Ageing and Health. Available online: https://www.who.int/news-room/fact-sheets/detail/ageing-and-health (accessed on 12 August 2025).
- Mattson, M.P.; Arumugam, T.V. Hallmarks of brain aging: Adaptive and pathological modification by metabolic states. Cell Metab. 2018, 27, 1176–1199. [Google Scholar] [CrossRef]
- Winblad, B.; Amouyel, P.; Andrieu, S.; Ballard, C.; Brayne, C.; Brodaty, H.; Cedazo-Minguez, A.; Dubois, B.; Edvardsson, D.; Feldman, H. Defeating Alzheimer’s disease and other dementias: A priority for European science and society. Lancet Neurol. 2016, 15, 455–532. [Google Scholar] [CrossRef] [PubMed]
- World Health Organization. Dementia. Available online: https://www.who.int/news-room/fact-sheets/detail/dementia (accessed on 12 August 2025).
- Nichols, E.; Steinmetz, J.D.; Vollset, S.E.; Fukutaki, K.; Chalek, J.; Abd-Allah, F.; Abdoli, A.; Abualhasan, A.; Abu-Gharbieh, E.; Akram, T.T. Estimation of the global prevalence of dementia in 2019 and forecasted prevalence in 2050: An analysis for the Global Burden of Disease Study 2019. Lancet Public Health 2022, 7, e105–e125. [Google Scholar] [CrossRef] [PubMed]
- Jung, S.-J.; Cho, K.; Jung, E.-S.; Son, D.; Byun, J.-S.; Kim, S.-I.; Chae, S.-W.; Yang, J.-C.; Lee, S.-O.; Lim, S. Augmenting Cognitive Function in the Elderly with Mild Cognitive Impairment Using Probiotic Lacticaseibacillus rhamnosus CBT-LR5: A 12-Week Randomized, Double-Blind, Parallel-Group Non-Comparative Study. Nutrients 2025, 17, 691. [Google Scholar] [CrossRef] [PubMed]
- De Souza-Talarico, J.N.; de Carvalho, A.P.; Brucki, S.M.; Nitrini, R.; Ferretti-Rebustini, R.E.d.L. Dementia and cognitive impairment prevalence and associated factors in indigenous populations: A systematic review. Alzheimer Dis. Assoc. Disord. 2016, 30, 281–287. [Google Scholar] [CrossRef]
- Pennisi, M.; Crupi, R.; Di Paola, R.; Ontario, M.L.; Bella, R.; Calabrese, E.J.; Crea, R.; Cuzzocrea, S.; Calabrese, V. Inflammasomes, hormesis, and antioxidants in neuroinflammation: Role of NRLP3 in Alzheimer disease. J. Neurosci. Res. 2017, 95, 1360–1372. [Google Scholar] [CrossRef]
- Azuma, N.; Mawatari, T.; Saito, Y.; Tsukamoto, M.; Sampei, M.; Iwama, Y. Effect of continuous ingestion of bifidobacteria and dietary fiber on improvement in cognitive function: A randomized, double-blind, placebo-controlled trial. Nutrients 2023, 15, 4175. [Google Scholar] [CrossRef]
- Petersen, R.C.; Smith, G.E.; Waring, S.C.; Ivnik, R.J.; Tangalos, E.G.; Kokmen, E. Mild cognitive impairment: Clinical characterization and outcome. Arch. Neurol. 1999, 56, 303–308. [Google Scholar] [CrossRef]
- Panza, F.; D’Introno, A.; Colacicco, A.M.; Capurso, C.; Del Parigi, A.; Caselli, R.J.; Pilotto, A.; Argentieri, G.; Scapicchio, P.L.; Scafato, E. Current epidemiology of mild cognitive impairment and other predementia syndromes. Am. J. Geriatr. Psychiatry 2005, 13, 633–644. [Google Scholar] [CrossRef]
- Boyle, P.; Wilson, R.; Aggarwal, N.; Tang, Y.; Bennett, D. Mild cognitive impairment: Risk of Alzheimer disease and rate of cognitive decline. Neurology 2006, 67, 441–445. [Google Scholar] [CrossRef]
- Larrieu, S.; Letenneur, L.; Orgogozo, J.; Fabrigoule, C.; Amieva, H.; Le Carret, N.; Barberger–Gateau, P.; Dartigues, J. Incidence and outcome of mild cognitive impairment in a population-based prospective cohort. Neurology 2002, 59, 1594–1599. [Google Scholar] [CrossRef]
- Choi, W.-Y.; Lee, W.-K.; Kim, T.-H.; Ryu, Y.-K.; Park, A.; Lee, Y.-J.; Heo, S.-J.; Oh, C.; Chung, Y.-C.; Kang, D.-H. The effects of Spirulina maxima extract on memory improvement in those with mild cognitive impairment: A randomized, double-blind, placebo-controlled clinical trial. Nutrients 2022, 14, 3714. [Google Scholar] [CrossRef] [PubMed]
- Ganguli, M.; Jia, Y.; Hughes, T.F.; Snitz, B.E.; Chang, C.C.H.; Berman, S.B.; Sullivan, K.J.; Kamboh, M.I. Mild cognitive impairment that does not progress to dementia: A population-based study. J. Am. Geriatr. Soc. 2019, 67, 232–238. [Google Scholar] [CrossRef] [PubMed]
- Shimada, H.; Makizako, H.; Park, H.; Doi, T.; Lee, S. Validity of the National Center for Geriatrics and Gerontology-Functional Assessment Tool and Mini-Mental State Examination for detecting the incidence of dementia in older Japanese adults. Geriatr. Gerontol. Int. 2017, 17, 2383–2388. [Google Scholar] [CrossRef] [PubMed]
- Quigley, E.M. Microbiota-brain-gut axis and neurodegenerative diseases. Curr. Neurol. Neurosci. Rep. 2017, 17, 94. [Google Scholar] [CrossRef]
- Chandra, S.; Alam, M.T.; Dey, J.; Sasidharan, B.C.P.; Ray, U.; Srivastava, A.K.; Gandhi, S.; Tripathi, P.P. Healthy gut, healthy brain: The gut microbiome in neurodegenerative disorders. Curr. Top. Med. Chem. 2020, 20, 1142–1153. [Google Scholar] [CrossRef]
- Jemimah, S.; Chabib, C.M.M.; Hadjileontiadis, L.; AlShehhi, A. Gut microbiome dysbiosis in Alzheimer’s disease and mild cognitive impairment: A systematic review and meta-analysis. PLoS ONE 2023, 18, e0285346. [Google Scholar] [CrossRef]
- Zhang, R.; Ding, N.; Feng, X.; Liao, W. The gut microbiome, immune modulation, and cognitive decline: Insights on the gut-brain axis. Front. Immunol. 2025, 16, 1529958. [Google Scholar] [CrossRef]
- Cryan, J.F.; Dinan, T.G. Mind-altering microorganisms: The impact of the gut microbiota on brain and behaviour. Nat. Rev. Neurosci. 2012, 13, 701–712. [Google Scholar] [CrossRef]
- Carabotti, M.; Scirocco, A.; Maselli, M.A.; Severi, C. The gut-brain axis: Interactions between enteric microbiota, central and enteric nervous systems. Ann. Gastroenterol. Q. Publ. Hell. Soc. Gastroenterol. 2015, 28, 203. [Google Scholar]
- Hill, C.; Guarner, F.; Reid, G.; Gibson, G.R.; Merenstein, D.J.; Pot, B.; Morelli, L.; Canani, R.B.; Flint, H.J.; Salminen, S. The International Scientific Association for Probiotics and Prebiotics consensus statement on the scope and appropriate use of the term probiotic. Nat. Rev. Gastroenterol. Hepatol. 2014, 11, 506–514. [Google Scholar] [CrossRef]
- Wong, C.B.; Kobayashi, Y. Probiotics for preventing cognitive impairment in. In Gut Microbiota: Brain Axis; InTech Open: London, UK, 2018; p. 85. [Google Scholar]
- Jang, H.; Joung, H.; Chu, J.; Cho, M.; Kim, Y.-W.; Kim, K.H.; Shin, C.H.; Lee, J.; Ha, J.-H. Lactobacillus delbrueckii subsp. lactis CKDB001 ameliorates metabolic complications in high-fat diet-induced obese mice. Nutrients 2024, 16, 4260. [Google Scholar] [CrossRef]
- Joung, H.; Chu, J.; Kwon, Y.J.; Kim, K.H.; Shin, C.H.; Ha, J.-H. Assessment of the safety and hepatic lipid-lowering effects of Lactobacillus delbrueckii subsp. lactis CKDB001. Appl. Biol. Chem. 2024, 67, 101. [Google Scholar] [CrossRef]
- Chu, J.; No, C.-W.; Joung, H.; Kim, K.H.; Shin, C.H.; Lee, J.; Ha, J.-H. Modulation of Gut Microbial Composition by Lactobacillus delbrueckii subsp. lactis CKDB001 Supplementation in a High-Fat-Diet-Induced Obese Mice. Nutrients 2025, 17, 2251. [Google Scholar] [CrossRef] [PubMed]
- Kim, H.; Lee, E.; Park, M.; Min, K.; Diep, Y.N.; Kim, J.; Ahn, H.; Lee, E.; Kim, S.; Kim, Y. Microbiome-derived indole-3-lactic acid reduces amyloidopathy through aryl-hydrocarbon receptor activation. Brain Behav. Immun. 2024, 122, 568–582. [Google Scholar] [CrossRef] [PubMed]
- Sumner, L.W.; Amberg, A.; Barrett, D.; Beale, M.H.; Beger, R.; Daykin, C.A.; Fan, T.W.-M.; Fiehn, O.; Goodacre, R.; Griffin, J.L. Proposed minimum reporting standards for chemical analysis: Chemical analysis working group (CAWG) metabolomics standards initiative (MSI). Metabolomics 2007, 3, 211–221. [Google Scholar] [CrossRef]
- Miao, Y.; Tian, J.; Shi, J.; Mao, M. Effects of Chinese medicine for tonifying the kidney and resolving phlegm and blood stasis in treating patients with amnestic mild cognitive impairment: A randomized, double-blind and parallel-controlled trial. Zhong Xi Yi Jie He Xue Bao J. Chin. Integr. Med. 2012, 10, 390–397. [Google Scholar] [CrossRef] [PubMed]
- Kim, J.-H.; Han, J.-Y.; Park, G.-C.; Lee, J.-S. Cognitive improvement effects of electroacupuncture combined with computer-based cognitive rehabilitation in patients with mild cognitive impairment: A randomized controlled trial. Brain Sci. 2020, 10, 984. [Google Scholar] [CrossRef]
- Kueper, J.K.; Speechley, M.; Montero-Odasso, M. The Alzheimer’s disease assessment scale–cognitive subscale (ADAS-Cog): Modifications and responsiveness in pre-dementia populations. a narrative review. J. Alzheimer’s Dis. 2018, 63, 423–444. [Google Scholar] [CrossRef]
- Eun-Sun, J.; Jun-Hwan, L.; Hyun-Tae, K.; Sang-Soo, P.; Ji-Yoon, C.; In-Chan, S.; Young-Eun, C.; Yoo, H.-R. Effect of acupuncture on patients with mild cognitive impairment assessed using functional near-infrared spectroscopy on week 12 (close-out): A pilot study protocol. Integr. Med. Res. 2018, 7, 287–295. [Google Scholar] [CrossRef]
- Skinner, J.; Carvalho, J.O.; Potter, G.G.; Thames, A.; Zelinski, E.; Crane, P.K.; Gibbons, L.E.; Initiative, A.s.D.N. The Alzheimer’s disease assessment scale-cognitive-plus (ADAS-Cog-Plus): An expansion of the ADAS-Cog to improve responsiveness in MCI. Brain Imaging Behav. 2012, 6, 489–501. [Google Scholar] [CrossRef]
- Calamia, M.; Markon, K.; Tranel, D. Scoring higher the second time around: Meta-analyses of practice effects in neuropsychological assessment. Clin. Neuropsychol. 2012, 26, 543–570. [Google Scholar] [CrossRef]
- Duff, K. Evidence-based indicators of neuropsychological change in the individual patient: Relevant concepts and methods. Arch. Clin. Neuropsychol. 2012, 27, 248–261. [Google Scholar] [CrossRef] [PubMed]
- Goldberg, T.E.; Harvey, P.D.; Wesnes, K.A.; Snyder, P.J.; Schneider, L.S. Practice effects due to serial cognitive assessment: Implications for preclinical Alzheimer’s disease randomized controlled trials. Alzheimer’s Dement. Diagn. Assess. Dis. Monit. 2015, 1, 103–111. [Google Scholar] [CrossRef] [PubMed]
- Akbari, E.; Asemi, Z.; Daneshvar Kakhaki, R.; Bahmani, F.; Kouchaki, E.; Tamtaji, O.R.; Hamidi, G.A.; Salami, M. Effect of probiotic supplementation on cognitive function and metabolic status in Alzheimer’s disease: A randomized, double-blind and controlled trial. Front. Aging Neurosci. 2016, 8, 229544. [Google Scholar] [CrossRef] [PubMed]
- Agahi, A.; Hamidi, G.A.; Daneshvar, R.; Hamdieh, M.; Soheili, M.; Alinaghipour, A.; Esmaeili Taba, S.M.; Salami, M. Does severity of Alzheimer’s disease contribute to its responsiveness to modifying gut microbiota? A double blind clinical trial. Front. Neurol. 2018, 9, 662. [Google Scholar] [CrossRef]
- Cryan, J.F.; O’Riordan, K.J.; Cowan, C.S.; Sandhu, K.V.; Bastiaanssen, T.F.; Boehme, M.; Codagnone, M.G.; Cussotto, S.; Fulling, C.; Golubeva, A.V. The microbiota-gut-brain axis. Physiol. Rev. 2019, 99, 1877–2013. [Google Scholar] [CrossRef]
- Białecka-Dębek, A.; Granda, D.; Szmidt, M.K.; Zielińska, D. Gut microbiota, probiotic interventions, and cognitive function in the elderly: A review of current knowledge. Nutrients 2021, 13, 2514. [Google Scholar] [CrossRef]
- Tillisch, K.; Labus, J.; Kilpatrick, L.; Jiang, Z.; Stains, J.; Ebrat, B.; Guyonnet, D.; Legrain–Raspaud, S.; Trotin, B.; Naliboff, B. Consumption of fermented milk product with probiotic modulates brain activity. Gastroenterology 2013, 144, 1394–1401. [Google Scholar] [CrossRef]
- Yang, X.; Yu, D.; Xue, L.; Li, H.; Du, J. Probiotics modulate the microbiota–gut–brain axis and improve memory deficits in aged SAMP8 mice. Acta Pharm. Sin. B 2020, 10, 475–487. [Google Scholar] [CrossRef]
- Chu, C.; Murdock, M.H.; Jing, D.; Won, T.H.; Chung, H.; Kressel, A.M.; Tsaava, T.; Addorisio, M.E.; Putzel, G.G.; Zhou, L. The microbiota regulate neuronal function and fear extinction learning. Nature 2019, 574, 543–548. [Google Scholar] [CrossRef]
- Lv, T.; Ye, M.; Luo, F.; Hu, B.; Wang, A.; Chen, J.; Yan, J.; He, Z.; Chen, F.; Qian, C. Probiotics treatment improves cognitive impairment in patients and animals: A systematic review and meta-analysis. Neurosci. Biobehav. Rev. 2021, 120, 159–172. [Google Scholar] [CrossRef]
- Sakurai, K.; Toshimitsu, T.; Okada, E.; Anzai, S.; Shiraishi, I.; Inamura, N.; Kobayashi, S.; Sashihara, T.; Hisatsune, T. Effects of Lactiplantibacillus plantarum OLL2712 on memory function in older adults with declining memory: A randomized placebo-controlled trial. Nutrients 2022, 14, 4300. [Google Scholar] [CrossRef]
- Hsu, Y.-C.; Huang, Y.-Y.; Tsai, S.-Y.; Kuo, Y.-W.; Lin, J.-H.; Ho, H.-H.; Chen, J.-F.; Hsia, K.-C.; Sun, Y. Efficacy of probiotic supplements on brain-derived neurotrophic factor, inflammatory biomarkers, oxidative stress and cognitive function in patients with Alzheimer’s dementia: A 12-week randomized, double-blind active-controlled study. Nutrients 2023, 16, 16. [Google Scholar] [CrossRef] [PubMed]
- Shi, S.; Zhang, Q.; Sang, Y.; Ge, S.; Wang, Q.; Wang, R.; He, J. Probiotic Bifidobacterium longum BB68S improves cognitive functions in healthy older adults: A randomized, double-blind, placebo-controlled trial. Nutrients 2022, 15, 51. [Google Scholar] [CrossRef] [PubMed]
- Hwang, Y.-H.; Park, S.; Paik, J.-W.; Chae, S.-W.; Kim, D.-H.; Jeong, D.-G.; Ha, E.; Kim, M.; Hong, G.; Park, S.-H. Efficacy and safety of Lactobacillus plantarum C29-fermented soybean (DW2009) in individuals with mild cognitive impairment: A 12-week, multi-center, randomized, double-blind, placebo-controlled clinical trial. Nutrients 2019, 11, 305. [Google Scholar] [CrossRef] [PubMed]
- Lee, E.H.; Kim, G.H.; Park, H.K.; Kang, H.J.; Park, Y.K.; Lee, H.A.; Hong, C.H.; Moon, S.Y.; Kang, W.; Oh, H.-S. Effects of the multidomain intervention with nutritional supplements on cognition and gut microbiome in early symptomatic Alzheimer’s disease: A randomized controlled trial. Front. Aging Neurosci. 2023, 15, 1266955. [Google Scholar] [CrossRef]
- Aljumaah, M.R.; Bhatia, U.; Roach, J.; Gunstad, J.; Peril, M.A.A. The gut microbiome, mild cognitive impairment, and probiotics: A randomized clinical trial in middle-aged and older adults. Clin. Nutr. 2022, 41, 2565–2576. [Google Scholar] [CrossRef]
- Asaoka, D.; Xiao, J.; Takeda, T.; Yanagisawa, N.; Yamazaki, T.; Matsubara, Y.; Sugiyama, H.; Endo, N.; Higa, M.; Kasanuki, K. Effect of probiotic Bifidobacterium breve in improving cognitive function and preventing brain atrophy in older patients with suspected mild cognitive impairment: Results of a 24-week randomized, double-blind, placebo-controlled trial. J. Alzheimer’s Dis. 2022, 88, 75–95. [Google Scholar] [CrossRef]
- Kim, C.-S.; Cha, J.; Sim, M.; Jung, S.; Chun, W.Y.; Baik, H.W.; Shin, D.-M. Probiotic supplementation improves cognitive function and mood with changes in gut microbiota in community-dwelling older adults: A randomized, double-blind, placebo-controlled, multicenter trial. J. Gerontol. Ser. A 2021, 76, 32–40. [Google Scholar] [CrossRef]
- Xiao, J.; Katsumata, N.; Bernier, F.; Ohno, K.; Yamauchi, Y.; Odamaki, T.; Yoshikawa, K.; Ito, K.; Kaneko, T. Probiotic Bifidobacterium breve in improving cognitive functions of older adults with suspected mild cognitive impairment: A randomized, double-blind, placebo-controlled trial. J. Alzheimer’s Dis. 2020, 77, 139–147. [Google Scholar]
- Fernández, A.; Mascayano, F.; Lips, W.; Painel, A.; Norambuena, J.; Madrid, E. Effects of modafinil on attention performance, short-term memory and executive function in university students: A randomized trial. Medwave 2015, 15, e6166. [Google Scholar] [CrossRef]
- Cloutier, S.; Chertkow, H.; Kergoat, M.-J.; Gauthier, S.; Belleville, S. Patterns of cognitive decline prior to dementia in persons with mild cognitive impairment. J. Alzheimer’s Dis. 2015, 47, 901–913. [Google Scholar] [CrossRef] [PubMed]
- Sánchez-Cubillo, I.; Periáñez, J.A.; Adrover-Roig, D.; Rodríguez-Sánchez, J.M.; Ríos-Lago, M.; Tirapu, J.; Barceló, F. Construct validity of the Trail Making Test: Role of task-switching, working memory, inhibition/interference control, and visuomotor abilities. J. Int. Neuropsychol. Soc. 2009, 15, 438–450. [Google Scholar] [CrossRef] [PubMed]
- Reitan, R.M. Validity of the Trail Making Test as an indicator of organic brain damage. Percept. Mot. Ski. 1958, 8, 271–276. [Google Scholar] [CrossRef]
- Sungkarat, S.; Boripuntakul, S.; Chattipakorn, N.; Watcharasaksilp, K.; Lord, S.R. Effects of Tai Chi on cognition and fall risk in older adults with mild cognitive impairment: A randomized controlled trial. J. Am. Geriatr. Soc. 2017, 65, 721–727. [Google Scholar] [CrossRef]
- Sung, C.-M.; Lee, T.-Y.; Chu, H.; Liu, D.; Lin, H.-C.; Pien, L.-C.; Jen, H.-J.; Lai, Y.-J.; Kang, X.L.; Chou, K.-R. Efficacy of multi-domain cognitive function training on cognitive function, working memory, attention, and coordination in older adults with mild cognitive impairment and mild dementia: A one-year prospective randomised controlled trial. J. Glob. Health 2023, 13, 04069. [Google Scholar] [CrossRef]
- MacLeod, C.M. Half a century of research on the Stroop effect: An integrative review. Psychol. Bull. 1991, 109, 163. [Google Scholar] [CrossRef]
- Scarpina, F.; Tagini, S. The stroop color and word test. Front. Psychol. 2017, 8, 557. [Google Scholar] [CrossRef]
- Kumar, A.; Sivamaruthi, B.S.; Dey, S.; Kumar, Y.; Malviya, R.; Prajapati, B.G.; Chaiyasut, C. Probiotics as modulators of gut-brain axis for cognitive development. Front. Pharmacol. 2024, 15, 1348297. [Google Scholar] [CrossRef]
- Bloemendaal, M.; Szopinska-Tokov, J.; Belzer, C.; Boverhoff, D.; Papalini, S.; Michels, F.; van Hemert, S.; Arias Vasquez, A.; Aarts, E. Probiotics-induced changes in gut microbial composition and its effects on cognitive performance after stress: Exploratory analyses. Transl. Psychiatry 2021, 11, 300. [Google Scholar] [CrossRef]
- Chen, H.; Meng, L.; Shen, L. Multiple roles of short-chain fatty acids in Alzheimer disease. Nutrition 2022, 93, 111499. [Google Scholar] [CrossRef]
- Yang, C.-X.; Bao, F.; Zhong, J.; Zhang, L.; Deng, L.-B.; Sha, Q.; Jiang, H. The inhibitory effects of class I histone deacetylases on hippocampal neuroinflammatory regulation in aging mice with postoperative cognitive dysfunction. Eur. Rev. Med. Pharmacol. Sci. 2020, 24, 10194–10202. [Google Scholar]
- Sheng, C.; Lin, L.; Lin, H.; Wang, X.; Han, Y.; Liu, S.-L. Altered gut microbiota in adults with subjective cognitive decline: The SILCODE study. J. Alzheimer’s Dis. 2021, 82, 513–526. [Google Scholar]
- Pei, Y.; Lu, Y.; Li, H.; Jiang, C.; Wang, L. Gut microbiota and intestinal barrier function in subjects with cognitive impairments: A cross-sectional study. Front. Aging Neurosci. 2023, 15, 1174599. [Google Scholar] [CrossRef] [PubMed]
- Duncan, S.H.; Barcenilla, A.; Stewart, C.S.; Pryde, S.E.; Flint, H.J. Acetate utilization and butyryl coenzyme A (CoA): Acetate-CoA transferase in butyrate-producing bacteria from the human large intestine. Appl. Environ. Microbiol. 2002, 68, 5186–5190. [Google Scholar] [PubMed]
- Engels, C.; Ruscheweyh, H.-J.; Beerenwinkel, N.; Lacroix, C.; Schwab, C. The common gut microbe Eubacterium hallii also contributes to intestinal propionate formation. Front. Microbiol. 2016, 7, 713. [Google Scholar] [CrossRef]
- Kim, G.H.; Kim, B.R.; Yoon, H.-J.; Jeong, J.H. Alterations in gut microbiota and their correlation with brain beta-amyloid burden measured by 18F-Florbetaben PET in mild cognitive impairment due to Alzheimer’s Disease. J. Clin. Med. 2024, 13, 1944. [Google Scholar]
- Ohkawara, S.; Furuya, H.; Nagashima, K.; Asanuma, N.; Hino, T. Oral administration of butyrivibrio fibrisolvens, a butyrate-producing bacterium, decreases the formation of aberrant crypt foci in the colon and rectum of mice. J. Nutr. 2005, 135, 2878–2883. [Google Scholar] [CrossRef]
- Rizzello, C.; De Angelis, M. Lactic Acid Bacteria| Lactobacillus spp.: Lactobacillus delbrueckii Group. In Encyclopedia of Dairy Sciences; Elsevier: Amsterdam, The Netherlands, 2011. [Google Scholar]
- Ehrlich, A.M.; Pacheco, A.R.; Henrick, B.M.; Taft, D.; Xu, G.; Huda, M.N.; Mishchuk, D.; Goodson, M.L.; Slupsky, C.; Barile, D. Indole-3-lactic acid associated with Bifidobacterium-dominated microbiota significantly decreases inflammation in intestinal epithelial cells. BMC Microbiol. 2020, 20, 357. [Google Scholar]
- Corti, O.; Lesage, S.; Brice, A. What genetics tells us about the causes and mechanisms of Parkinson’s disease. Physiol. Rev. 2011, 91, 1161–1218. [Google Scholar] [CrossRef]
- Maurya, P.K.; Kumar, P.; Siddiqui, N.; Tripathi, P.; Rizvi, S.I. Age-associated changes in erythrocyte glutathione peroxidase activity: Correlation with total antioxidant potential. Indian J. Biochem. Biophys. 2010, 47, 319–321. [Google Scholar]
- Kawarabayashi, T.; Younkin, L.H.; Saido, T.C.; Shoji, M.; Ashe, K.H.; Younkin, S.G. Age-dependent changes in brain, CSF, and plasma amyloid β protein in the Tg2576 transgenic mouse model of Alzheimer’s disease. J. Neurosci. 2001, 21, 372–381. [Google Scholar] [CrossRef]
- Kumar, P.; Maurya, P.K. L-cysteine efflux in erythrocytes as a function of human age: Correlation with reduced glutathione and total anti-oxidant potential. Rejuvenation Res. 2013, 16, 179–184. [Google Scholar] [CrossRef]
- Clegg, A.; Relton, C.; Young, J.; Witham, M. Improving recruitment of older people to clinical trials: Use of the cohort multiple randomised controlled trial design. Age Ageing 2015, 44, 547–550. [Google Scholar] [CrossRef]
- Ungar, A.; Marchionni, N. Cardiac Management in the Frail Elderly Patient and the Oldest Old; Springer: Berlin/Heidelberg, Germany, 2017. [Google Scholar]
- Lam, L.C.-w.; Chan, W.C.; Leung, T.; Fung, A.W.-t.; Leung, E.M.-f. Would older adults with mild cognitive impairment adhere to and benefit from a structured lifestyle activity intervention to enhance cognition? A cluster randomized controlled trial. PLoS ONE 2015, 10, e0118173. [Google Scholar] [CrossRef]
- Krikorian, R.; Shidler, M.D.; Nash, T.A.; Kalt, W.; Vinqvist-Tymchuk, M.R.; Shukitt-Hale, B.; Joseph, J.A. Blueberry supplementation improves memory in older adults. J. Agric. Food Chem. 2010, 58, 3996–4000. [Google Scholar] [CrossRef]
- Desideri, G.; Kwik-Uribe, C.; Grassi, D.; Necozione, S.; Ghiadoni, L.; Mastroiacovo, D.; Raffaele, A.; Ferri, L.; Bocale, R.; Lechiara, M.C. Benefits in cognitive function, blood pressure, and insulin resistance through cocoa flavanol consumption in elderly subjects with mild cognitive impairment: The Cocoa, Cognition, and Aging (CoCoA) study. Hypertension 2012, 60, 794–801. [Google Scholar] [PubMed]
- Ito, N.; Saito, H.; Seki, S.; Ueda, F.; Asada, T. Effects of composite supplement containing astaxanthin and sesamin on cognitive functions in people with mild cognitive impairment: A randomized, double-blind, placebo-controlled trial. J. Alzheimer’s Dis. 2018, 62, 1767–1775. [Google Scholar] [CrossRef] [PubMed]
- Liu, Y.; Yu, X.; Han, P.; Chen, X.; Wang, F.; Lian, X.; Li, J.; Li, R.; Wang, B.; Xu, C. Gender-specific prevalence and risk factors of mild cognitive impairment among older adults in Chongming, Shanghai, China. Front. Aging Neurosci. 2022, 14, 900523. [Google Scholar] [CrossRef] [PubMed]
- Burke, S.L.; Hu, T.; Fava, N.M.; Li, T.; Rodriguez, M.J.; Schuldiner, K.L.; Burgess, A.; Laird, A. Sex differences in the development of mild cognitive impairment and probable Alzheimer’s disease as predicted by hippocampal volume or white matter hyperintensities. J. Women Aging 2019, 31, 140–164. [Google Scholar] [CrossRef]





| LL Group (n = 48) | Placebo Group (n = 48) | p-Value 1 | |
|---|---|---|---|
| Sex (M/F) | 9/39 | 13/35 | 0.3314 2 |
| Age (years) | 67.33 ± 4.61 | 67.35 ± 4.96 | 0.9941 3 |
| Education (years) | 11.65 ± 3.06 | 11.14 ± 3.38 | 0.4720 3 |
| Height (cm) | 158.23 ± 6.93 | 158.55 ± 8.41 | 0.8399 |
| Weight (kg) | 60.18 ± 9.08 | 61.05 ± 8.85 | 0.6362 |
| ADAS-cog-13 total score | 17.77 ± 4.85 | 18.50 ± 4.37 | 0.4411 |
| LL Group (n = 48) | Placebo Group (n = 48) | p-Value 3 | Adj.p-Value 4 | |||||||||
|---|---|---|---|---|---|---|---|---|---|---|---|---|
| Baseline | 12 Week | Change Value | p-Value 1 | Baseline | 12 Week | Change Value | p-Value 1 | |||||
| ADAS-cog-13 | Total score | 17.77 ± 4.85 | 14.31 ± 3.88 | −3.46 ± 2.95 | <0.0001 2 | 18.50 ± 4.37 | 17.29 ± 4.05 | −1.21 ± 3.27 | 0.0077 2 | 0.0003 | <0.0001 | |
| Memory sub-score | 12.65 ± 3.55 | 9.94 ± 2.87 | −2.71 ± 2.34 | <0.0001 2 | 13.38 ± 3.37 | 12.35 ± 3.29 | −1.02 ± 2.79 | 0.0148 | 0.0044 | <0.0001 | ||
| DST | Digit span Forward | 6.13 ± 1.27 | 6.19 ± 0.94 | 0.06 ± 1.00 | 0.6927 2 | 5.60 ± 1.16 | 5.65 ± 1.04 | 0.04 ± 0.82 | 0.8274 2 | 0.7725 | 0.0999 | |
| Digit span Backward | 3.75 ± 0.84 | 3.94 ± 1.00 | 0.19 ± 1.04 | 0.2154 2 | 3.56 ± 0.80 | 3.56 ± 0.80 | 0.00 ± 0.85 | 1.0000 2 | 0.3481 | 0.0900 | ||
| DF-DB | 2.38 ± 1.06 | 2.25 ± 1.06 | −0.13 ± 1.28 | 0.6094 2 | 2.04 ± 1.24 | 2.08 ± 1.01 | 0.04 ± 1.25 | 0.7762 2 | 0.5322 | 0.7405 | ||
| TMT | Part A | Reaction time | 30.54 ± 11.10 | 25.71 ± 9.13 | −4.83 ± 9.71 | <0.0001 2 | 30.02 ± 10.02 | 29.21 ± 11.33 | −0.81 ± 6.24 | 0.3712 | 0.0167 | 0.0129 |
| Number of errors | 0.10 ± 0.37 | 0.06 ± 0.24 | −0.04 ± 0.41 | 0.7500 2 | 0.02 ± 0.14 | 0.13 ± 0.33 | 0.10 ± 0.31 | 0.0625 2 | 0.0600 | 0.1824 | ||
| Part B | Reaction time | 50.13 ± 27.22 | 44.67 ± 23.54 | −5.46 ± 21.55 | 0.0095 2 | 57.69 ± 31.99 | 54.06 ± 32.83 | −3.63 ± 32.06 | 0.0809 2 | 0.5849 | 0.2801 | |
| Number of errors | 0.50 ± 1.07 | 0.50 ± 0.83 | 0.00 ± 1.35 | 0.8073 2 | 0.98 ± 1.39 | 0.71 ± 1.15 | −0.27 ± 1.76 | 0.3288 2 | 0.405 | 0.3503 | ||
| Stroop test | Word reading | Reaction time | 81.73 ± 17.55 | 73.50 ± 12.83 | −8.23 ± 12.85 | <0.0001 2 | 81.73 ± 19.19 | 81.67 ± 17.19 | −0.06 ± 13.38 | 0.1867 2 | <0.0001 | 0.0003 |
| Reaction time per item | 0.75 ± 0.23 | 0.66 ± 0.11 | −0.09 ± 0.19 | <0.0001 2 | 0.77 ± 0.26 | 0.74 ± 0.18 | −0.03 ± 0.18 | 0.5003 2 | 0.0011 | 0.0018 | ||
| Number of correct responses | 109.58 ± 7.65 | 111.60 ± 0.96 | 2.02 ± 7.60 | <0.0001 2 | 108.04 ± 8.60 | 110.85 ± 3.96 | 2.81 ± 7.71 | 0.0003 2 | 0.7470 | 0.3146 | ||
| Number of errors | 1.13 ± 1.62 | 0.40 ± 0.96 | −0.73 ± 1.22 | <0.0001 2 | 0.98 ± 1.21 | 0.58 ± 1.07 | −0.40 ± 1.25 | 0.0331 2 | 0.3032 | 0.1716 | ||
| Correct response rate | 0.99 ± 0.02 | 1.00 ± 0.01 | 0.01 ± 0.01 | <0.0001 2 | 0.99 ± 0.01 | 0.99 ± 0.01 | 0.00 ± 0.01 | 0.0143 2 | 0.3260 | 0.2137 | ||
| Color reading | Reaction time | 118.67 ± 4.44 | 116.92 ± 6.61 | −1.75 ± 4.55 | 0.0066 2 | 117.29 ± 8.85 | 118.04 ± 5.31 | 0.75 ± 4.42 | 0.1875 2 | 0.0026 | 0.0111 | |
| Reaction time per item | 1.42 ± 0.45 | 1.30 ± 0.37 | −0.12 ± 0.23 | <0.0001 2 | 1.47 ± 0.44 | 1.36 ± 0.44 | −0.10 ± 0.30 | 0.0229 2 | 0.3911 | 0.6164 | ||
| Number of correct responses | 87.10 ± 19.36 | 93.15 ± 17.83 | 6.04 ± 11.29 | <0.0001 2 | 82.81 ± 19.66 | 90.06 ± 18.43 | 7.25 ± 12.98 | <0.0001 2 | 0.8141 | 0.9713 | ||
| Number of errors | 2.21 ± 2.17 | 1.40 ± 1.73 | −0.81 ± 1.96 | 0.0071 2 | 2.48 ± 3.24 | 1.88 ± 2.42 | −0.60 ± 2.16 | 0.0952 2 | 0.6173 | 0.2920 | ||
| Correct response rate | 0.97 ± 0.03 | 0.98 ± 0.02 | 0.01 ± 0.03 | 0.0034 2 | 0.97 ± 0.05 | 0.98 ± 0.03 | 0.01 ± 0.03 | 0.0204 2 | 0.7856 | 0.3184 | ||
| Stroop interference | 0.67 ± 0.44 | 0.65 ± 0.34 | −0.02 ± 0.27 | 0.7621 2 | 0.70 ± 0.36 | 0.63 ± 0.37 | −0.07 ± 0.31 | 0.0447 2 | 0.2468 | 0.4556 | ||
| LL Group (n = 48) | Placebo Group (n = 48) | p-Value 3 | Adj.p-Value 4 | ||||||||
|---|---|---|---|---|---|---|---|---|---|---|---|
| Baseline | 12 Week | Change Value | p-Value 1 | Baseline | 12 Week | Change Value | p-Value 1 | ||||
| Cytokine (pg/mL) | TNF-α | 0.57 ± 0.16 | 0.57 ± 0.14 | 0.01 ± 0.09 | 0.5361 | 0.56 ± 0.14 | 0.61 ± 0.18 | 0.05 ± 0.13 | 0.0032 2 | 0.1893 | 0.0678 |
| IL-1β | 0.07 ± 0.02 | 0.07 ± 0.03 | 0.00 ± 0.03 | 0.2097 2 | 0.07 ± 0.03 | 0.08 ± 0.05 | 0.01 ± 0.04 | 0.0014 2 | 0.1320 | 0.2671 | |
| IL-10 | 0.88 ± 0.31 | 0.91 ± 0.33 | 0.02 ± 0.25 | 0.5434 | 0.83 ± 0.21 | 0.87 ± 0.27 | 0.04 ± 0.20 | 0.1626 2 | 0.8231 | 0.9451 | |
| BDNF (pg/mL) | 22,497.92 ± 9798.25 | 25,112.50 ± 9128.32 | 2614.58 ± 10,323.82 | 0.0251 2 | 21,166.67 ± 8937.95 | 24,010.42 ± 9703.70 | 2843.75 ± 9250.78 | 0.0385 | 0.8575 | 0.7761 | |
| Urine 8-OHdG (mg/mL) | 5.38 ± 4.52 | 8.05 ± 5.04 | 2.67 ± 5.63 | 0.0006 2 | 3.88 ± 3.32 | 9.11 ± 8.55 | 5.22 ± 7.74 | <0.0001 2 | 0.0553 | 0.1565 | |
| LL Group (n = 30) | Placebo Group (n = 26) | p-Value 2 | ||||||||
|---|---|---|---|---|---|---|---|---|---|---|
| Baseline | 12 Week | Change Value | p-Value 1 | Baseline | 12 Week | Change Value | p-Value 1 | |||
| SCFA (µmol/g) | Acetic Acid | 27.71 ± 20.70 | 24.92 ± 23.21 | −2.782 ± 30.18 | 0.8078 | 29.35 ± 16.32 | 30.04 ± 24.38 | 0.686 ± 27.79 | 0.7979 | 0.9902 |
| Propionic Acid | 20.64 ± 15.97 | 17.30 ± 18.30 | −3.343 ± 22.81 | 0.4645 | 22.62 ± 14.79 | 22.60 ± 22.65 | −0.011 ± −20.89 | 0.9205 | 0.7475 | |
| Butyric Acid | 27.35 ± 11.81 | 32.13 ± 18.52 | 4.775 ± 16.91 | 0.0449 | 31.14 ± 14.91 | 30.17 ± 24.54 | −0.976 ± 22.51 | 0.6940 | 0.2047 | |
| LL Group (n = 18) | Placebo Group (n = 17) | |||||||||
| Indole-derived metabolites (peak area) | 5-HIAA | 2.14 × 10−2 ± 1.77 × 10−2 | 3.18 × 10−2 ± 3.33 × 10−2 | 1.04 × 10−2 ± 3.45 × 10−2 | 0.2462 | 4.25 × 10−2 ± 4.09 × 10−2 | 2.37 × 10−2 ± 3.85 × 10−2 | −1.88 × 10−2 ± 4.98 × 10−2 | 0.0448 | 0.0224 |
| Indole-3-lactic Acid | 1.83 × 10−3 ± 3.29 × 10−3 | 2.76 × 10−3 ± 3.84 × 10−3 | 0.93 × 10−3 ± 5.44 × 10−3 | 0.2842 | 5.72 × 10−3 ± 18.8 × 10−3 | 0.89 × 10−3 ± 1.08 × 10−3 | −4.83 × 10−3 ± 1.81 × 10−2 | 0.0150 | 0.0209 | |
| Indole-3-glycol | 1.40 × 10−3 ± 2.45 × 10−3 | 2.21 × 10−3 ± 3.09 × 10−3 | 0.81 × 10−3 ± 2.58 × 10−3 | 0.0505 | 1.00 × 10−3 ± 1.64 × 10−3 | 1.09 × 10−3 ± 2.32 × 10−3 | 0.09 × 10−3 ± 2.80 × 10−3 | 0.5791 | 0.0487 | |
| Tryptophan | 3.29 × 10−1 ± 2.60 × 10−1 | 2.66 × 10−1 ± 1.82 × 10−1 | −0.63 × 10−1 ± 3.17 × 10−1 | 0.5798 | 2.93 × 10−1 ± 3.30 × 10−1 | 2.30 × 10−1 ± 1.24 × 10−1 | −0.63 × 10−1 ± 3.41 × 10−1 | 0.9265 | 0.5905 | |
| Indole Aldehyde | 1.14 × 10−2 ± 1.17 × 10−2 | 9.07 × 10−3 ± 6.82 × 10−3 | −2.31 × 10−3 ± 1.07 × 10−2 | 0.6095 | 8.99 × 10−3 ± 7.68 × 10−3 | 5.84 × 10−3 ± 3.66 × 10−3 | −3.15 × 10−3 ± 7.94 × 10−3 | 0.2842 | 0.6598 | |
| Indole-3-acetic Acid | 3.65 × 10−3 ± 6.25 × 10−3 | 3.15 × 10−3 ± 3.52 × 10−3 | −0.50 × 10−3 ± 7.58 × 10−3 | 0.5019 | 2.06 × 10−3 ± 1.89 × 10−3 | 3.12 × 10−3 ± 3.87 × 10−3 | 1.05 × 10−3 ± 4.40 × 10−3 | 0.4238 | 0.8768 | |
| Indole-3-propionic Acid | 3.20 × 10−2 ± 2.47 × 10−2 | 2.35 × 10−2 ± 1.91 × 10−2 | −8.50 × 10−4 ± 2.94 × 10−2 | 0.3038 | 2.26 × 10−2 ± 2.15 × 10−2 | 2.67 × 10−2 ± 2.31 × 10−2 | 4.10 × 10−4 ± 3.31 × 10−2 | 0.5791 | 0.2447 | |
Disclaimer/Publisher’s Note: The statements, opinions and data contained in all publications are solely those of the individual author(s) and contributor(s) and not of MDPI and/or the editor(s). MDPI and/or the editor(s) disclaim responsibility for any injury to people or property resulting from any ideas, methods, instructions or products referred to in the content. |
© 2025 by the authors. Licensee MDPI, Basel, Switzerland. This article is an open access article distributed under the terms and conditions of the Creative Commons Attribution (CC BY) license (https://creativecommons.org/licenses/by/4.0/).
Share and Cite
Baek, H.-I.; Kwon, S.-Y.; Noh, H.-J.; Son, S.Y.; Joo, J.C.; Park, S.J. Efficacy and Safety of Lactobacillus delbrueckii subsp. lactis CKDB001 Supplementation on Cognitive Function in Mild Cognitive Impairment: A Randomized, Double-Blind, Placebo-Controlled Clinical Trial. Nutrients 2025, 17, 3313. https://doi.org/10.3390/nu17203313
Baek H-I, Kwon S-Y, Noh H-J, Son SY, Joo JC, Park SJ. Efficacy and Safety of Lactobacillus delbrueckii subsp. lactis CKDB001 Supplementation on Cognitive Function in Mild Cognitive Impairment: A Randomized, Double-Blind, Placebo-Controlled Clinical Trial. Nutrients. 2025; 17(20):3313. https://doi.org/10.3390/nu17203313
Chicago/Turabian StyleBaek, Hyang-Im, So-Young Kwon, Hye-Ji Noh, Su Young Son, Jong Cheon Joo, and Soo Jung Park. 2025. "Efficacy and Safety of Lactobacillus delbrueckii subsp. lactis CKDB001 Supplementation on Cognitive Function in Mild Cognitive Impairment: A Randomized, Double-Blind, Placebo-Controlled Clinical Trial" Nutrients 17, no. 20: 3313. https://doi.org/10.3390/nu17203313
APA StyleBaek, H.-I., Kwon, S.-Y., Noh, H.-J., Son, S. Y., Joo, J. C., & Park, S. J. (2025). Efficacy and Safety of Lactobacillus delbrueckii subsp. lactis CKDB001 Supplementation on Cognitive Function in Mild Cognitive Impairment: A Randomized, Double-Blind, Placebo-Controlled Clinical Trial. Nutrients, 17(20), 3313. https://doi.org/10.3390/nu17203313

