Meat–Egg–Dairy Consumption and Frailty among Chinese Older Adults: Exploring Rural/Urban and Gender Differences
Abstract
1. Introduction
2. Background
2.1. Dietary Patterns and Frailty
2.2. Meat, Egg, and Dairy Product Consumption (MED) and Frailty
2.3. The Context of China: Differences by Hukou Status and Gender
3. Method
3.1. Data
3.2. Study Sample
3.3. Measures
3.3.1. Dependent Variable
3.3.2. Main Independent Variable (IV)
3.3.3. Covariates
3.4. Analysis
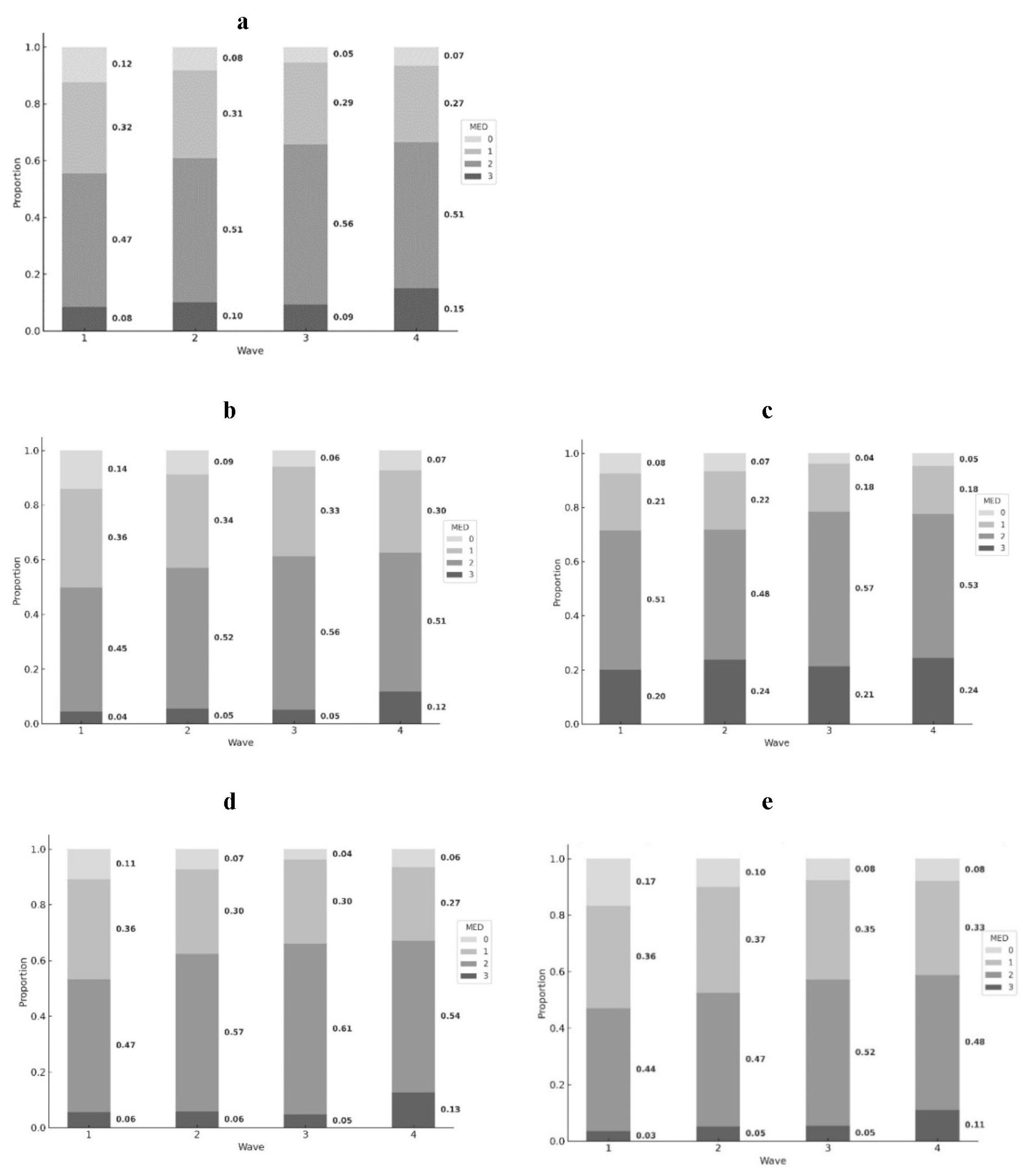
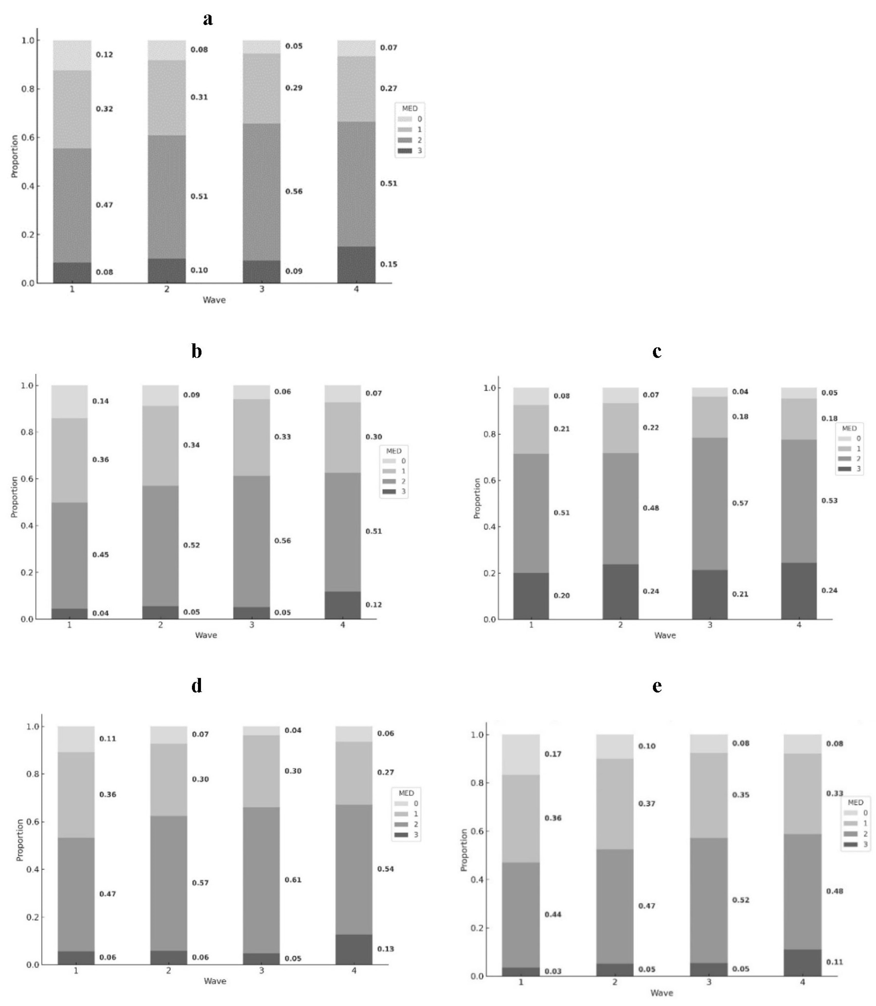
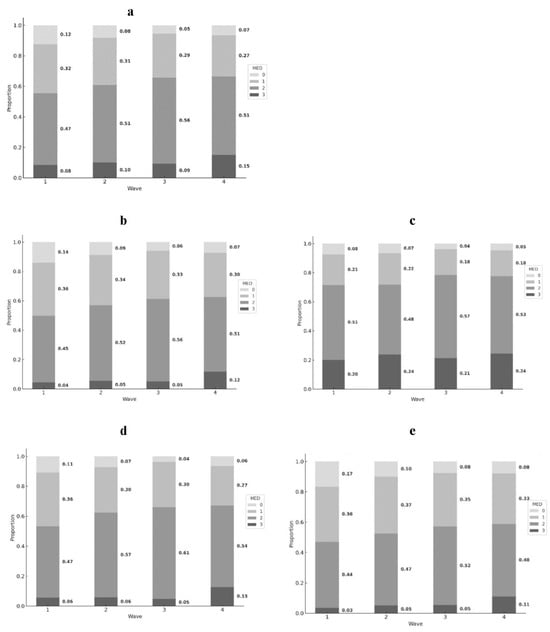
4. Results
5. Discussion
6. Conclusions
Supplementary Materials
Author Contributions
Funding
Institutional Review Board Statement
Informed Consent Statement
Data Availability Statement
Conflicts of Interest
References
- Clegg, A.; Young, J.; Iliffe, S.; Rikkert, M.O.; Rockwood, K. Frailty in elderly people. Lancet 2013, 381, 752–762. [Google Scholar] [CrossRef] [PubMed]
- Xue, Q.L. The frailty syndrome: Definition and natural history. Clin. Geriatr. Med. 2011, 27, 1–15. [Google Scholar] [CrossRef] [PubMed]
- Bauer, J.; Biolo, G.; Cederholm, T.; Cesari, M.; Cruz-Jentoft, A.J.; Morley, J.E.; Phillips, S.; Sieber, C.; Stehle, P.; Teta, D.; et al. Evidence-based recommendations for optimal dietary protein intake in older people: A position paper from the PROT-AGE Study Group. J. Am. Med. Dir. Assoc. 2013, 14, 542–559. [Google Scholar] [CrossRef] [PubMed]
- Pan, A.; Sun, Q.; Bernstein, A.M.; Schulze, M.B.; Manson, J.E.; Willett, W.C.; Hu, F.B. Red meat consumption and risk of type 2 diabetes: 3 cohorts of US adults and an updated meta-analysis. Am. J. Clin. Nutr. 2011, 94, 1088–1096. [Google Scholar] [CrossRef] [PubMed]
- Popkin, B.M.; Du, S.; Zhai, F.; Zhang, B. Cohort profile: The China Health and Nutrition Survey--monitoring and understanding socio-economic and health change in China, 1989-2011. Int. J. Epidemiol. 2010, 39, 1435–1440. [Google Scholar] [CrossRef]
- Du, S.; Lu, B.; Zhai, F.; Popkin, B.M. A new stage of the nutrition transition in China. Public Health Nutr. 2022, 5, 169–174. [Google Scholar] [CrossRef] [PubMed]
- Chinese Nutrition Society. The Chinese Dietary Guideline 2022; People’s Medical Publishing House Co. Ltd.: Beijing, China, 2022. [Google Scholar]
- Zhang, Q.; Guo, H.; Gu, H.; Zhao, X. Gender-associated factors for frailty and their impact on hospitalization and mortality among community-dwelling older adults: A cross-sectional population-based study. PeerJ 2018, 6, e4326. [Google Scholar] [CrossRef] [PubMed]
- Wang, X.; Hu, J.; Wu, D. Risk factors for frailty in older adults. Medicine 2022, 101, e30169. [Google Scholar] [CrossRef] [PubMed]
- Bollwein, J.; Diekmann, R.; Kaiser, M.J.; Bauer, J.M.; Uter, W.; Sieber, C.C.; Volkert, D. Dietary quality is related to frailty in community-dwelling older adults. J. Gerontology. Ser. A Biol. Sci. Med. Sci. 2013, 68, 483–489. [Google Scholar] [CrossRef]
- León-Muñoz, L.M.; Guallar-Castillón, P.; López-García, E.; Rodríguez-Artalejo, F. Mediterranean diet and risk of frailty in community-dwelling older adults. J. Am. Med. Dir. Assoc. 2014, 15, 899–903. [Google Scholar] [CrossRef]
- Kojima, G.; Avgerinou, C.; Iliffe, S.; Walters, K. Adherence to Mediterranean diet reduces incident frailty risk: Systematic review and meta-analysis. J. Am. Geriatr. Soc. 2018, 66, 783–788. [Google Scholar] [CrossRef] [PubMed]
- Sotos-Prieto, M.; Struijk, E.A.; Fung, T.T.; Rodríguez-Artalejo, F.; Willett, W.C.; Hu, F.B.; Lopez-Garcia, E. Association between the quality of plant-based diets and risk of frailty. J. Cachexia Sarcopenia Muscle 2022, 13, 2854–2862. [Google Scholar] [CrossRef] [PubMed]
- Chan, R.; Leung, J.; Woo, J. Dietary patterns and risk of frailty in Chinese community-dwelling older people in Hong Kong: A prospective cohort study. Nutrients 2015, 7, 7070–7084. [Google Scholar] [CrossRef] [PubMed]
- Yang, Y.; Zhang, D.; Yuan, G.; Wu, Y.; Huang, X. Association between nut consumption and frailty in the elderly: A large sample cross-sectional study. J. Hum. Nutr. Diet. 2023, 36, 1845–1856. [Google Scholar] [CrossRef] [PubMed]
- Hurley, K.M.; Oberlander, S.E.; Merry, B.C.; Wrobleski, M.M.; Klassen, A.C.; Black, M.M. The healthy eating index and youth healthy eating index are unique, nonredundant measures of diet quality among low-income, African American adolescents. J. Nutr. 2009, 139, 359–364. [Google Scholar] [CrossRef] [PubMed]
- Filippou, C.D.; Tsioufis, C.P.; Thomopoulos, C.G.; Mihas, C.C.; Dimitriadis, K.S.; Sotiropoulou, L.I.; Chrysochoou, C.A.; Nihoyannopoulos, P.I.; Tousoulis, D.M. Dietary Approaches to Stop Hypertension (DASH) Diet and Blood Pressure Reduction in Adults with and without Hypertension: A Systematic Review and Meta-Analysis of Randomized Controlled Trials. Adv. Nutr. 2020, 11, 1150–1160. [Google Scholar] [CrossRef] [PubMed]
- Chen, J.; Xu, W.; Dan, L.; Tang, J.; Yue, J.; Hoogendijk, E.O.; Wu, C. Associations between meat consumption and all-cause and cause-specific mortality in middle-aged and older adults with frailty. J. Nutr. Health Aging 2024, 28, 100191, Advance online publication. [Google Scholar] [CrossRef] [PubMed]
- Drouin-Chartier, J.P.; Chen, S.; Li, Y.; Schwab, A.L.; Stampfer, M.J.; Sacks, F.M.; Rosner, B.; Willett, W.C.; Hu, F.B.; Bhupathiraju, S.N. Egg consumption and risk of cardiovascular disease: Three large prospective US cohort studies, systematic review, and updated meta-analysis. BMJ (Clin. Res. Ed.) 2020, 368, m513. [Google Scholar] [CrossRef] [PubMed]
- Kim, S.; Kim, M.; Min, J.; Yoo, J.; Kim, M.; Kang, J.; Won, C.W. How much intake of sodium is good for frailty?: The Korean Frailty and Aging Cohort Study (KFACS). J. Nutr. Health Aging 2019, 23, 503–508. [Google Scholar] [CrossRef]
- Cuesta-Triana, F.; Verdejo-Bravo, C.; Fernández-Pérez, C.; Martín-Sánchez, F.J. Effect of milk and other dairy products on the risk of frailty, sarcopenia, and cognitive performance decline in the elderly: A systematic review. Adv. Nutr. 2019, 10 (Suppl. S2), S105–S119. [Google Scholar] [CrossRef]
- Lana, A.; Rodriguez-Artalejo, F.; Lopez-Garcia, E. Dairy consumption and risk of frailty in older adults: A prospective cohort study. J. Am. Geriatr. Soc. 2015, 63, 1852–1860. [Google Scholar] [CrossRef]
- The Food and Agriculture Organization of the United Nations. Contribution of Terrestrial Animal Source Food to Healthy Diets for Improved Nutrition and Health Outcomes. 2023. Available online: https://www.fao.org/documents/card/en/c/cc3912en (accessed on 15 January 2024).
- Duan, Y.; Qi, Q.; Cui, Y.; Yang, L.; Zhang, M.; Liu, H. Effects of dietary diversity on frailty in Chinese older adults: A 3-year cohort study. BMC Geriatr. 2023, 23, 141. [Google Scholar] [CrossRef] [PubMed]
- Zhang, J.; Wang, Q.; Hao, W.; Zhu, D. Long-term food variety and dietary patterns are associated with frailty among Chinese older adults: A cohort study based on CLHLS from 2014 to 2018. Nutrients 2022, 14, 4279. [Google Scholar] [CrossRef] [PubMed]
- Kuo, Y.W.; Chen, C.W.; Zhang, J.Y.; Lee, J.D. Association of eating behavior, nutritional risk, and frailty with sarcopenia in Taiwanese rural community-dwelling elders: A cross-sectional study. Nutrients 2022, 14, 3254. [Google Scholar] [CrossRef] [PubMed]
- Wang, S.S.; Lay, S.; Yu, H.N.; Shen, S.R. Dietary guidelines for Chinese residents (2016): Comments and comparisons. J. Zhejiang University. Science. B 2016, 17, 649. [Google Scholar] [CrossRef] [PubMed]
- Chen, J. Dietary transition in China and its health consequences. Asia Pac. J. Clin. Nutr. 1994, 3, 111–114. [Google Scholar] [PubMed]
- He, Y.; Yang, X.; Xia, J.; Zhao, L.; Yang, Y. Consumption of meat and dairy products in China: A review. Proc. Nutr. Soc. 2016, 75, 385–391. [Google Scholar] [CrossRef]
- Gao, M.; Wu, B.; Jin, W.; Wei, J.; Wang, J.; Li, J. Impact of aging on food consumption in rural China: Implications for dietary upgrading and health improvement. Front. Nutr. 2022, 9, 933343. [Google Scholar] [CrossRef]
- Ma, G. Food, eating behavior, and culture in Chinese society. J. Ethn. Foods 2015, 2, 195–199. [Google Scholar] [CrossRef]
- Zhou, Y.F.; Song, X.Y.; Wu, J.; Chen, G.C.; Neelakantan, N.; van Dam, R.M.; Feng, L.; Yuan, J.M.; Pan, A.; Koh, W.P. Association between dietary patterns in midlife and healthy ageing in Chinese adults: The Singapore Chinese Health Study. J. Am. Med. Dir. Assoc. 2021, 22, 1279–1286. [Google Scholar] [CrossRef]
- Searle, S.D.; Mitnitski, A.; Gahbauer, E.A.; Gill, T.M.; Rockwood, K.A. standard procedure for creating a frailty index. BMC Geriatr. 2008, 8, 24. [Google Scholar] [CrossRef]
- Evans, E.M.; Mojtahedi, M.C.; Thorpe, M.P.; Valentine, R.J.; Kris-Etherton, P.M.; Layman, D.K. Effects of protein intake and gender on body composition changes: A randomized clinical weight loss trial. Nutr. Metab. 2012, 9, 55. [Google Scholar] [CrossRef]
- Rosenfeld, D.L.; Tomiyama, A.J. Gender differences in meat consumption and openness to vegetarianism. Appetite 2021, 166, 105475. [Google Scholar] [CrossRef]
- Ek, S. Gender differences in health information behaviour: A Finnish population-based survey. Health Promot. Int. 2015, 30, 736–745. [Google Scholar] [CrossRef]
- Rice, R.E. Influences, usage, and outcomes of Internet health information searching: Multivariate results from the Pew surveys. Int. J. Med. Inform. 2006, 75, 8–28. [Google Scholar] [CrossRef]
- Sun, Q.; Li, X.i.; Rahut, D. Urbanicity and nutrition: Evidence from rural-urban migrants. China Agric. Econ. Rev. 2021, 13, 673–704. [Google Scholar] [CrossRef]
- Xu, S.H.; Qiao, N.; Huang, J.J.; Sun, C.M.; Cui, Y.; Tian, S.S.; Wang, C.; Liu, X.M.; Zhang, H.X.; Wang, H.; et al. Gender differences in dietary patterns and their association with the prevalence of metabolic syndrome among Chinese: A cross-sectional study. Nutrients 2016, 8, 180. [Google Scholar] [CrossRef]
- Fang, F.; Zhao, Y.; Xi, Z.; Han, X.; Zhu, Y. The impact of famine experience on middle-aged and elderly individuals’ food consumption: Evidence from China. J. Econ. Ageing 2023, 26, 100472. [Google Scholar] [CrossRef]
- Li, X.; Wang, H.; Manafe, H.; Braakhuis, A.; Li, Z.; Roy, R. Assessing food availability and healthier options in an urban Chinese university: A case study using the Chinese Nutrition Environment Measurement Survey for Stores (C-NEMS-S). BMC Public Health 2024, 24, 15. [Google Scholar] [CrossRef] [PubMed]
- Liu, J.; Shively, G.E.; Binkley, J.K. Access to variety contributes to dietary diversity in China. Food Policy 2014, 49, 323–331. [Google Scholar] [CrossRef]
- Huang, Y.; Tian, X. Food accessibility, diversity of agricultural production and dietary pattern in rural China. Food Policy 2019, 84, 92–102. [Google Scholar] [CrossRef]
- Sicular, T.; Yue, X.; Bjorn, A.; Shi, L. The urban-rural income gap and inequality in China. Rev. Income Wealth 2007, 53, 93–126. [Google Scholar] [CrossRef]
- Zhao, X.; Liu, L. The impact of urbanization level on urban-rural income gap in China based on spatial economic model. Sustainability 2022, 14, 13795. [Google Scholar] [CrossRef]
- Struijk, E.A.; Fung, T.T.; Sotos-Prieto, M.; Rodriguez-Artalejo, F.; Willett, W.C.; Hu, F.B.; Lopez-Garcia, E. Red meat consumption and risk of frailty in older women. J. Cachexia Sarcopenia Muscle 2022, 13, 210–219. [Google Scholar] [CrossRef] [PubMed]
- Dixon, J.; Omwega, A.M.; Friel, S.; Burns, C.; Donati, K.; Carlisle, R. The health equity dimensions of urban food systems. Journal of Urban Health 2007, 84 (Suppl. S3), i118–i129. [Google Scholar] [CrossRef] [PubMed]
- Wu, Y.; Xue, H.; Wang, H.; Su, C.; Du, S.; Wang, Y. The impact of urbanization on the community food environment in China. Asia Pac. J. Clin. Nutr. 2017, 26, 504–513. [Google Scholar] [CrossRef] [PubMed]
- Romero-Ortuño, R.; Martínez-Velilla, N.; Sutton, R.; Ungar, A.; Fedorowski, A.; Galvin, R.; Theou, O.; Davies, A.; Reilly, R.B.; Claassen, J.; et al. Network physiology in aging and frailty: The grand challenge of physiological reserve in older adults. Front. Netw. Physiol. 2021, 1, 712430. [Google Scholar] [CrossRef] [PubMed]
- Duppen, D.; Van der Elst, M.C.J.; Dury, S.; Lambotte, D.; De Donder, L. D-SCOPE The Social Environment’s Relationship with Frailty: Evidence from Existing Studies. J. Appl. Gerontol. 2019, 38, 3–26. [Google Scholar] [CrossRef] [PubMed]
- Fhon, J.R.S.; Cabral, L.M.S.; Giacomini, S.B.L.; Dos Reis, N.A.; Resende, M.C.; Rodrigues, R.A.P. Frailty and sociodemographic and health factors, and social support network in the brazilian elderly: A longitudinal study. Rev. Esc. Enferm. USP 2021, 56, e20210192. [Google Scholar] [CrossRef]
- Ni Lochlainn, M.; Cox, N.J.; Wilson, T.; Hayhoe, R.P.G.; Ramsay, S.E.; Granic, A.; Isanejad, M.; Roberts, H.C.; Wilson, D.; Welch, C.; et al. Nutrition and Frailty: Opportunities for Prevention and Treatment. Nutrients 2021, 13, 2349. [Google Scholar] [CrossRef]
- Xu, X.; Hall, J.; Byles, J.; Shi, Z. Assessing dietary quality of older Chinese people using the Chinese Diet Balance Index (DBI). PLoS ONE 2015, 10, e0121618. [Google Scholar] [CrossRef]
- Delimaris, I. Adverse effects associated with protein intake above the recommended dietary allowance for adults. ISRN Nutr. 2013, 126929. [Google Scholar] [CrossRef] [PubMed]
- Wali, J.A.; Jarzebska, N.; Raubenheimer, D.; Simpson, S.J.; Rodionov, R.N.; O’Sullivan, J.F. Cardio-Metabolic effects of high-fat diets and their underlying mechanisms-a narrative review. Nutrients 2020, 12, 1505. [Google Scholar] [CrossRef] [PubMed]
- Tristan Asensi, M.; Napoletano, A.; Sofi, F.; Dinu, M. Low-Grade Inflammation and Ultra-Processed Foods Consumption: A Review. Nutrients 2023, 15, 1546. [Google Scholar] [CrossRef] [PubMed]
- Kim, C.O. Food choice patterns among frail older adults: The associations between social network, food choice values, and diet quality. Appetite 2016, 96, 116–121. [Google Scholar] [CrossRef] [PubMed]
- Lin, Y.H.; Hsu, H.C.; Bai, C.H.; Wu, W.C. Dietary patterns among older people and the associations with social environment and individual factors in Taiwan: A multilevel analysis. Int. J. Environ. Res. Public Health 2022, 19, 3982. [Google Scholar] [CrossRef] [PubMed]
- Liu, Q.; Wang, L.; Ma, Y.; Geng, Y. Association between dietary knowledge and muscle mass in Chinese older adults: A cross-sectional and longitudinal study. BMJ Open 2023, 13, e075964. [Google Scholar] [CrossRef] [PubMed]
- Bouzas, C.; Bibiloni, M.D.M.; Tur, J.A. Relationship between body image and body weight control in overweight ≥ 55-year-old adults: A systematic review. Int. J. Environ. Res. Public Health 2019, 16, 1622. [Google Scholar] [CrossRef]
- Guo, L.; Huang, F.; Liu, M.; Zhang, Y.; Zhang, J.; Zhang, B.; Wang, H. Generational differences in food consumption among Chinese adults of different ages. Nutrients 2023, 15, 4451. [Google Scholar] [CrossRef]



| Whole (N = 2312) | Rural (N = 1717) | Urban (N = 595) | Male (N = 1085) | Female (N = 1227) | |
|---|---|---|---|---|---|
| Main IV | N (%) | ||||
| MED Consumption | |||||
| 0 | 286 (12.37) | 241 (14.04) | 45 (7.56) *** | 101 (9.31) | 185 (15.08) *** |
| 1 | 745 (32.22) | 620 (36.11) | 125 (21.01) | 347 (31.98) | 398 (32.44) |
| 2 | 1085 (46.93) | 779 (45.37) | 306 (51.43) | 538 (49.59) | 547 (44.58) |
| 3 | 196 (8.48) | 77 (4.48) | 119 (20.00) | 99 (9.12) | 97 (7.91) |
| Categorical | |||||
| Gender: male | 1085 (46.92) | 796 (46.36) | 289 (48.57) | ||
| Hukou: rural | 1717 (74.26) | 796 (73.36) | 921 (75.06) | ||
| Married/Partnered: Yes | 1415 (61.20) | 1026 (59.76) | 389 (65.38) ** | 845 (77.88) | 570 (46.45) *** |
| Literate: Yes | 1202 (52.03) | 795 (46.36) | 407 (68.40) *** | 807(74.38) | 395 (32.24) *** |
| Income: sufficient | 1795 (77.64) | 1287 (74.96) | 508 (85.38) *** | 864 (79.63) | 931 (75.88) ** |
| Exercise: Yes | 815 (35.25) | 454 (26.44) | 361 (60.67) *** | 441 (40.65) | 374 (30.48) *** |
| Smoking: Yes | 525 (22.71) | 406 (23.65) | 119 (20.00) * | 458 (42.21) | 67 (5.46) *** |
| Drinking: Yes | 517 (22.36) | 405 (23.59) | 112 (18.82) ** | 416 (38.34) | 101 (8.23) *** |
| Continuous | Mean (SD) | ||||
| Age | 75.41 (8.32) | 75.45 (8.41) | 75.32 (8.05) | 74.38 (7.63) | 76.31 (8.78) *** |
| Life satisfaction | 3.62 (0.81) | 3.56 (0.81) | 3.77 (0.79) *** | 3.66 (0.79) | 3.58 (0.82) ** |
| Psychological Well-being | 2.95 (0.44) | 2.93 (0.45) | 2.99 (0.41) *** | 2.93 (0.41) | 2.96 (0.47) * |
| Frailty × 10 | 0.76 (0.07) | 0.75 (0.07) | 0.79 (0.07) * | 0.61 (0.06) | 0.89 (0.08) *** |
| Frailty range | 0–0.60 | 0–0.60 | 0–0.47 | 0–0.60 | 0–0.46 |
| Whole Model 1 | Rural Model 2 | Urban Model 3 | Male Model 4 | Female Model 5 | |
|---|---|---|---|---|---|
| Focal IV | Estimates (SE) | ||||
| MED Consumption | |||||
| 0 (reference) | |||||
| 1 | −0.052 (0.045) ** | −0.056 (0.048) * | −0.044 (0.114) * | −0.021 (0.061) * | −0.103 (0.061) ** |
| 2 | −0.010 (0.044) | −0.026 (0.047) | 0.055 (0.109) | 0.012 (0.059) | −0.024 (0.060) * |
| 3 | 0.024 (0.054) | 0.102 (0.067) * | −0.015 (0.114) | 0.006 (0.071) | 0.049 (0.078) |
| Categorical | |||||
| Gender: male | −0.211 (0.028) *** | −0.211 (0.031) *** | −0.224 (0.060) ** | ||
| Hukou: rural | −0.124 (0.028) ** | −0.160 (0.038) *** | −0.093 (0.042) ** | ||
| Married/partnered: Yes | −0.045 (0.026) * | −0.073 (0.028) * | 0.043 (0.058) | −0.065 (0.037) * | −0.019 (0.036) |
| Literate: Yes | −0.043 (0.025) * | −0.084 (0.027) ** | 0.084 (0.058) | −0.058 (0.035) * | −0.021 (0.035) |
| Income: sufficient | −0.059 (0.028) * | −0.059 (0.031) * | −0.086 (0.068) | −0.101 (0.039) ** | −0.031 (0.040) |
| Exercise: Yes | 0.012 (0.023) | 0.016 (0.027) | 0.015 (0.048) | 0.018 (0.031) | 0.016(0.037) |
| Smoking: Yes | −0.041 (0.026) | −0.060 (0.030) * | 0.016 (0.056) | −0.045 (0.028) | −0.075 (0.073) |
| Drinking: Yes | −0.141 (0.025) ** | −0.083 (0.028) * | −0.288 (0.050) ** | −0.097 (0.027) ** | −0.302 (0.055) *** |
| Continuous | |||||
| Age | 0.032 (0.002) *** | 0.030 (0.002) *** | 0.038 (0.003) *** | 0.026 (0.002) *** | 0.037 (0.002) *** |
| Life satisfaction | −0.033 (0.015) * | −0.027 (0.017) | −0.056 (0.033) | 0.012 (0.021) | −0.070 (0.021) ** |
| Psychological well-being | 0.022 (0.031) | −0.016 (0.034) | 0.152 (0.069) * | −0.038 (0.042) | 0.059 (0.043) |
Disclaimer/Publisher’s Note: The statements, opinions and data contained in all publications are solely those of the individual author(s) and contributor(s) and not of MDPI and/or the editor(s). MDPI and/or the editor(s) disclaim responsibility for any injury to people or property resulting from any ideas, methods, instructions or products referred to in the content. |
© 2024 by the authors. Licensee MDPI, Basel, Switzerland. This article is an open access article distributed under the terms and conditions of the Creative Commons Attribution (CC BY) license (https://creativecommons.org/licenses/by/4.0/).
Share and Cite
Zhang, K.; Wu, J. Meat–Egg–Dairy Consumption and Frailty among Chinese Older Adults: Exploring Rural/Urban and Gender Differences. Nutrients 2024, 16, 1334. https://doi.org/10.3390/nu16091334
Zhang K, Wu J. Meat–Egg–Dairy Consumption and Frailty among Chinese Older Adults: Exploring Rural/Urban and Gender Differences. Nutrients. 2024; 16(9):1334. https://doi.org/10.3390/nu16091334
Chicago/Turabian StyleZhang, Keqing, and Jiangcheng Wu. 2024. "Meat–Egg–Dairy Consumption and Frailty among Chinese Older Adults: Exploring Rural/Urban and Gender Differences" Nutrients 16, no. 9: 1334. https://doi.org/10.3390/nu16091334
APA StyleZhang, K., & Wu, J. (2024). Meat–Egg–Dairy Consumption and Frailty among Chinese Older Adults: Exploring Rural/Urban and Gender Differences. Nutrients, 16(9), 1334. https://doi.org/10.3390/nu16091334

