Evaluating the Diagnosis of Malnutrition Based on Global Leadership Initiative on Malnutrition (GLIM) Criteria in Community-Dwelling Older Adults (Singapore Longitudinal Aging Study)
Abstract
1. Introduction
2. Methods
2.1. GLIM Criteria
2.2. Mini Nutritional Assessment (MNA)
2.3. Elderly Nutritional Indicators for Geriatric Malnutrition Assessment (ENIGMA)
2.4. GLIM-Based Malnutrition
2.5. Malnutrition-Related Adverse Health Outcomes
2.6. Mortality Follow-Up
2.7. Confounding Variables
2.8. Statistical Analysis
3. Results
3.1. Characteristics of the Study Group
3.2. Concurrent Criterion Validity
3.3. Associations with Impaired QoL
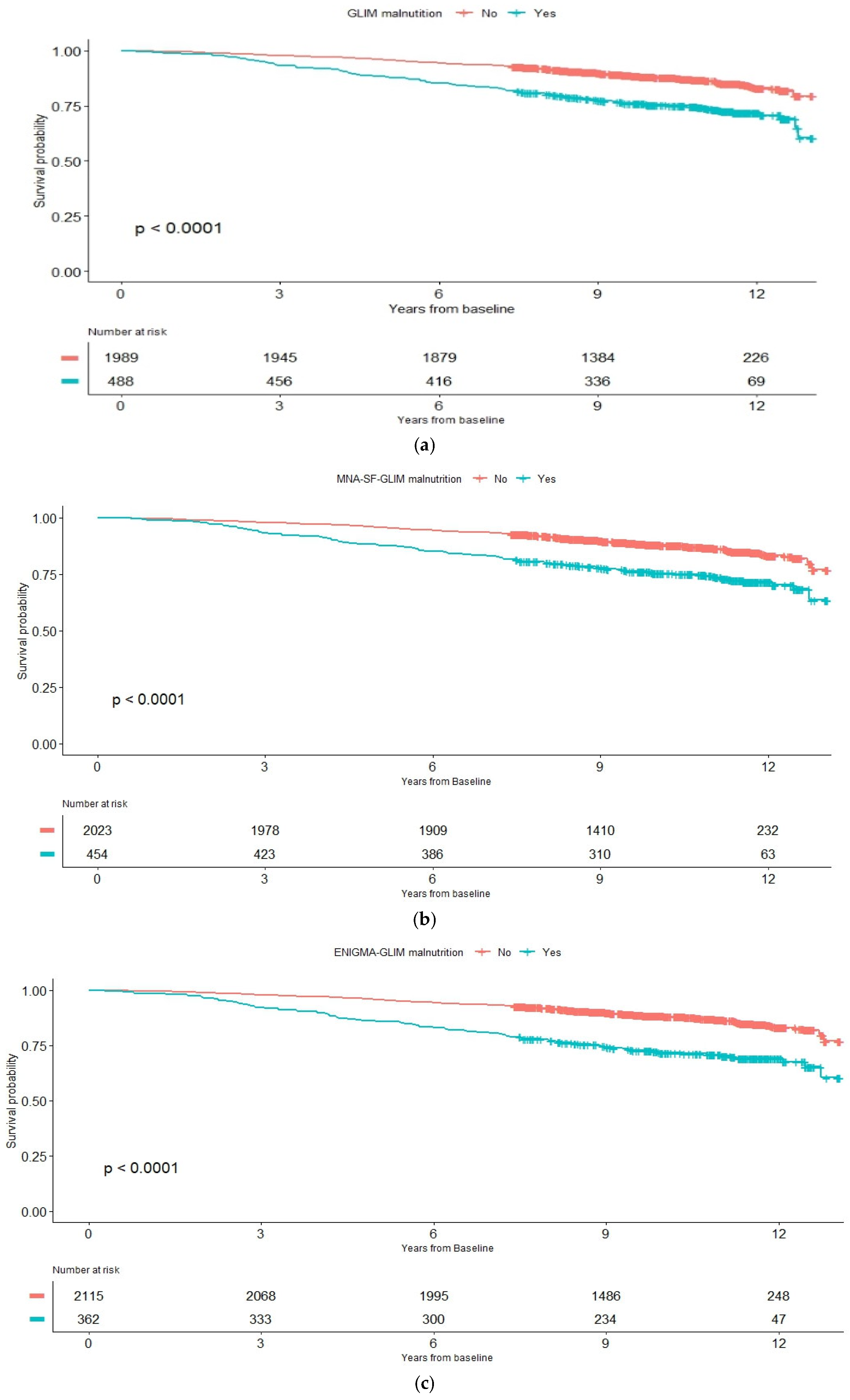
3.4. Associations with 10-Year Mortality
4. Discussion
5. Conclusions
Supplementary Materials
Author Contributions
Funding
Institutional Review Board Statement
Informed Consent Statement
Data Availability Statement
Acknowledgments
Conflicts of Interest
References
- Crichton, M.; Craven, D.; Mackay, H.; Marx, W.; De Van Der Schueren, M.; Marshall, S. A systematic review, meta-analysis and meta-regression of the prevalence of protein-energy malnutrition: Associations with geographical region and sex. Age Ageing 2019, 48, 38–48. [Google Scholar] [CrossRef] [PubMed]
- Wong, A.; Huang, Y.; Sowa, P.M.; Banks, M.D.; Bauer, J.D. Adult malnutrition, nutritional interventions and outcomes in Singapore: A scoping review of local studies for the past 20 years. Proc. Singap. Healthc. 2021, 30, 225–241. [Google Scholar] [CrossRef]
- Cederholm, T.; Jensen, G.L.; Correia, M.I.T.D.; Gonzalez, M.C.; Fukushima, R.; Higashiguchi, T.; Baptista, G.; Barazzoni, R.; Blaauw, R.; Coats, A.; et al. GLIM criteria for the diagnosis of malnutrition—A consensus report from the global clinical nutrition community. Clin. Nutr. 2019, 38, 1–9. [Google Scholar] [CrossRef]
- de van der Schueren, M.A.E.; Keller, H.; Cederholm, T.; Barazzoni, R.; Compher, C.; Correia, M.I.T.D.; Gonzalez, M.C.; Jager-Wittenaar, H.; Pirlich, M.; Steiber, A.; et al. Global Leadership Initiative on Malnutrition (GLIM): Guidance on validation of the operational criteria for the diagnosis of protein-energy malnutrition in adults. Clin. Nutr. 2020, 39, 2872–2880. [Google Scholar] [CrossRef]
- Jobim Milanez, D.S.; Razzera, E.L.; da Silveira Knobloch, I.; Lima, J.; Bernardes, S.; Silva, F.M. A scoping review on the GLIM criteria for malnutrition diagnosis: Understanding how and for which purpose it has been applied in studies on hospital settings. Clin. Nutr. 2023, 42, 29–44. [Google Scholar] [CrossRef]
- Baker, J.P.; Detsky, A.S.; Wesson, D.E.; Wolman, S.L.; Stewart, S.; Whitewell, J.; Langer, B.; Jeejeebhoy, K.N. Nutritional assessment: A comparison of clinical judgement and objective measurements. N. Engl. J. Med. 1982, 306, 969–972. [Google Scholar] [CrossRef]
- IJmker-Hemink, V.; Heerschop, S.; Wanten, G.; van den Berg, M. Evaluation of the Validity and Feasibility of the GLIM Criteria Compared with PG-SGA to Diagnose Malnutrition in Relation to One-Year Mortality in Hospitalized Patients. J. Acad. Nutr. Diet. 2022, 122, 595–601. [Google Scholar] [CrossRef]
- Guigoz, Y.; Vellas, B.; Garry, P. Mini Nutritional Assessment: A Practical Assessment Tool for Grading the Nutritional State of Elderly Patients. Facts and Research in Gerontology; Supplement: Nutritional; Serdi Publisher: Paris, France, 1994; pp. 15–58. [Google Scholar]
- Ji, T.; Li, Y.; Liu, P.; Zhang, Y.; Song, Y.; Ma, L. Validation of GLIM criteria on malnutrition in older Chinese inpatients. Front. Nutr. 2022, 9, 969666. [Google Scholar] [CrossRef]
- World Health Organization. Ageing. Available online: https://www.who.int/health-topics/ageing#tab=tab_1 (accessed on 5 October 2024).
- Wei, K.; Nyunt, M.S.Z.; Gao, Q.; Wee, S.L.; Ng, T.P. Frailty and Malnutrition: Related and Distinct Syndrome Prevalence and Association among Community-Dwelling Older Adults: Singapore Longitudinal Ageing Studies. J. Am. Med. Dir. Assoc. 2017, 18, 1019–1028. [Google Scholar] [CrossRef]
- von Elm, E.; Altman, D.G.; Egger, M.; Pocock, S.J.; Gøtzsche, P.C.; Vandenbroucke, J.P. The Strengthening the Reporting of Observational Studies in Epidemiology (STROBE) statement: Guidelines for reporting observational studies. J. Clin. Epidemiol. 2008, 61, 344–349. [Google Scholar] [CrossRef]
- Chen, L.K.; Woo, J.; Assantachai, P.; Auyeung, T.W.; Chou, M.Y.; Iijima, K.; Jang, H.C.; Kang, L.; Kim, M.; Kim, S.; et al. Asian Working Group for Sarcopenia: 2019 Consensus Update on Sarcopenia Diagnosis and Treatment. J. Am. Med. Dir. Assoc. 2020, 21, 300–307.e2. [Google Scholar] [CrossRef] [PubMed]
- Rubenstein, L.Z.; Harker, J.O.; Salvà, A.; Guigoz, Y.; Vellas, B. Screening for Undernutrition in Geriatric Practice: Developing the Short-Form Mini-Nutritional Assessment (MNA-SF). J. Gerontol. Ser. A 2001, 56, M366–M372. [Google Scholar] [CrossRef] [PubMed]
- Ng, T.P.; Nyunt, M.S.Z.; Gao, Q.; Wee, S.L.; Yap, P.; Yap, K.B. Elderly Nutritional Indicators for Geriatric Malnutrition Assessment (ENIGMA): Development and validation of a nutritional prognostic index. Clin. Nutr. ESPEN 2017, 22, 54–63. [Google Scholar] [CrossRef] [PubMed]
- Ng, T.P.; Hai, S.; Gao, Q.; Gwee, X.; Chua, D.Q.L.; Yap, P.; Yap, K.B.; Wee, S.L. The Elderly Nutritional Index for Geriatric Malnutrition Assessment (ENIGMA): Concurrent, construct and predictive validity in an external evaluation cohort of community-dwelling older persons. Br. J. Nutr. 2022, 128, 509–520. [Google Scholar] [CrossRef] [PubMed]
- Burdine, J.N.; Felix, M.R.J.; Abel, A.L.; Wiltraut, C.; Musselman, Y. The SF-12 as a population health measure: An exploratory examination of potential for application. Health Serv. Res. 2000, 35, 885. [Google Scholar]
- Huo, Z.; Chong, F.; Yin, L.; Lu, Z.; Liu, J.; Xu, H. Accuracy of the GLIM criteria for diagnosing malnutrition: A systematic review and meta-analysis. Clin. Nutr. 2022, 41, 1208–1217. [Google Scholar] [CrossRef]
- Rodríguez-Mañas, L.; Rodríguez-Sánchez, B.; Carnicero, J.A.; Rueda, R.; García-Garcia, F.J.; Pereira, S.L.; Sulo, S. Impact of nutritional status according to GLIM criteria on the risk of incident frailty and mortality in community-dwelling older adults. Clin. Nutr. 2021, 40, 1192–1198. [Google Scholar] [CrossRef]
- Sanchez-Rodriguez, D.; Locquet, M.; Reginster, J.Y.; Cavalier, E.; Bruyère, O.; Beaudart, C. Mortality in malnourished older adults diagnosed by ESPEN and GLIM criteria in the SarcoPhAge study. J. Cachexia Sarcopenia Muscle 2020, 11, 1200–1211. [Google Scholar] [CrossRef]
- Trevethan, R. Sensitivity, Specificity, and Predictive Values: Foundations, Pliabilities, and Pitfalls in Research and Practice. Front. Public Health 2017, 5, 307. [Google Scholar] [CrossRef]
- van Dronkelaar, C.; Tieland, M.; Cederholm, T.; Reijnierse, E.M.; Weijs, P.J.M.; Kruizenga, H. Malnutrition Screening Tools Are Not Sensitive Enough to Identify Older Hospital Patients with Malnutrition. Nutrients 2023, 15, 5126. [Google Scholar] [CrossRef]
- Cederholm, T.; Barazzoni, R. Validity and feasibility of the global leadership initiative on malnutrition diagnostic concept in older people: A literature review from August 2021 to August 2022. Curr. Opin. Clin. Nutr. Metab. Care 2023, 26, 23–31. [Google Scholar] [CrossRef] [PubMed]
- Demirdag, F.; Kolbasi, E.N.; Pehlivan, O. Prevalence of Malnutrition According to the Global Leadership Initiative on Malnutrition Criteria in Community-dwelling Older Adults in Turkey. Medeni. Med. J. 2022, 37, 234–239. [Google Scholar] [CrossRef] [PubMed]

| Phenotypic Criteria | Weight Loss | Unintended Weight Loss > 10 lb/4 kg in the Past 6 Months | |
|---|---|---|---|
| or | |||
| Low BMI | <18.5 kg/m2 if younger than 70 years, <20 kg/m2 if 70 years and older. | ||
| or | |||
| Reduced muscle mass | Calf-circumference < 33 cm (female), <34 cm (male) | ||
| AND | |||
| Etiologic criteria | Reduced food intake | “Do you have an illness/condition that reduces the kind or amount of food eaten?” | |
| or | |||
| Disease burden/inflammation | CRP ≥ 10 mg/L | ||
| Criteria | Prevalence, n (%) |
|---|---|
| Phenotypic Components | |
| Weight loss (Unintended weight loss > 10 lbs/4 kg last 6 months) | 43 (1.7) |
| Low BMI Asia criteria | 172 (6.9) |
| - <18.5 kg/m2 if <70 years | 60 (2.4) |
| - <20 kg/m2 if >70 years | 112 (4.5) |
| Reduced muscle mass (Calf circumference) | 758 (30.6) |
| - Female (<33 cm) | 485 (19.6) |
| - Male (<34 cm) | 273 (11) |
| Etiologic Components | |
| Reduced food intake | 863 (34.8) |
| C-reactive Protein (CRP) ≥ 10 mg/L | 617 (24.9) |
| Screening thresholds | |
| ENIGMA ≥ 1 points | 1560 (63.0) |
| MNA-SF ≤ 11 points | 1574 (63.5) |
| Malnutrition diagnosis | |
| GLIM malnutrition | 488 (19.7) |
| MNA-SF-GLIM malnutrition | 454 (18.3) |
| ENIGMA-GLIM malnutrition | 362 (14.6) |
| ENIGMA malnutrition, single-step ENIGMA with high threshold cutoff (≥4) | 220 (8.9) |
| MNA-FF malnutrition, single-step MNA-FF with high threshold cutoff (<17) | 121 (4.9) |
| GLIM Malnutrition | p | MNA-SF-GLIM Malnutrition | p | ENIGMA-GLIM Malnutrition | p | |||||
|---|---|---|---|---|---|---|---|---|---|---|
| Total | Yes (n = 488) | No (n = 1989) | Yes (n = 454) | No (n = 2023) | Yes (n = 362) | No (n = 2115) | ||||
| Age (years), median (Q1–Q3) | 65.0 (60.0–71.0) | 68.5 (62–75) | 65 (60–71) | <0.0001 | 69 (62–75) | 65.0 (60–71) | <0.0001 | 70.0 (63–75) | 65.0 (60–71) | <0.0001 |
| Female, n (%) | 1556 (62.8) | 303 (62.1) | 1253 (63.0) | 0.7498 | 282 (62.1) | 1274 (63.0) | 0.7723 | 217 (59.9) | 1339 (63.3) | 0.2439 |
| Education, n (%): None | 463 (23.6) | 115 (23.6) | 348 (17.5) | <0.0001 | 108 (23.8) | 355 (17.6) | <0.0001 | 94 (26.0) | 369 (17.4) | <0.0001 |
| Primary | 1065 (45.9) | 224 (45.9) | 841 (42.3) | 209 (46.0) | 856 (42.3) | 165 (45.6) | 900 (42.6) | |||
| Secondary and above | 949 (30.5) | 149 (30.5) | 800 (40.2) | 137 (30.2) | 812 (40.1) | 103 (28.4) | 846 (40.0) | |||
| Housing, n (%): 1–2 room flat | 512 (20.7) | 143 (29.3) | 369 (18.6) | <0.0001 | 132 (29.1) | 380 (18.8) | <0.0001 | 117 (32.3) | 395 (18.7) | <0.0001 |
| 3-room flat | 694 (28.1) | 150 (30.7) | 544 (27.4) | 142 (31.3) | 552 (27.4) | 104 (28.7) | 590 (28.0) | |||
| 4+ rooms and others | 1266 (51.2) | 195 (40.0) | 1071 (54.0) | 180 (39.6) | 1086 (53.8) | 141 (39.0) | 1125 (53.3) | |||
| Ethnicity, n (%): Chinese | 2176 | 407 (83.4) | 1769 (88.9) | 0.0006 | 381 (83.9) | 1795 (88.7) | 0.004 | 300 (82.9) | 1876 (88.7) | 0.0004 |
| Malay | 178 | 41 (8.4) | 137 (6.9) | 37 (8.1) | 141 (7.0) | 30 (8.3) | 148 (7.0) | |||
| Indian/others | 123 | 40 (8.2) | 83 (4.2) | 36 (7.9) | 87 (4.3) | 32 (8.8) | 91 (4.3) | |||
| MMSE score, median (Q1–Q3) | 29.0 (27–30) | 28 (26–29) | 29 (27–30) | <0.0001 | 28 (26–29) | 29 (27–30) | <0.0001 | 28 (26–29) | 29 (27–30) | <0.0001 |
| GDS score, median (Q1–Q3) | 0 (0–1) | 1(0–1) | 0 (0–1) | <0.0001 | 1 (0–1) | 0 (0–1) | <0.0001 | 1 (0–1) | 0 (0–1) | <0.0001 |
| Co-morbidity (≥3 chronic diseases), n (%) | 1116 (45.1) | 275 (56.4) | 841 (42.3) | <0.0001 | 266 (58.6) | 850 (42.0) | <0.0001 | 223 (61.6) | 893 (42.2) | <0.0001 |
| Weight loss, n (%) | 43 (1.7) | 24 (4.9) | 19 (1.0) | <0.0001 | 24 (5.3) | 19 (0.9) | <0.0001 | 21 (5.8) | 22 (1.0) | <0.0001 |
| BMI, median (Q1–Q3) | 24.2 (21.8–26.8) | 21.9 (20–24) | 25.1 (22–27) | <0.0001 | 21.5 (20–24) | 24.7 (22–27) | <0.0001 | 21.8 (20–24) | 24.6 (22–27) | <0.0001 |
| Calf-circumference (cm), median (Q1–Q3) | 34.5 (32.0–36.5) | 31.0 (30.0–32.0) | 35.0 (34.0–37.0) | <0.0001 | 31.0 (30.0–32.0) | 35.0 (33.5–37.0) | <0.0001 | 31.0 (30.0–32.0) | 35.0 (33.0–37.0) | <0.0001 |
| Reduced food intake, n (%) | 863 (34.8) | 360 (73.8) | 503 (25.3) | <0.0001 | 360 (79.3) | 503 (24.9) | <0.0001 | 280 (77.3) | 583 (27.6) | <0.0001 |
| Follow-up years, median (Q1–Q3) | 9.9 (8.7–11.3) | 10.6 (8.3–11.6) | 9.8 (8.7–11.3) | <0.0001 | 10.5 (8.2–11.6) | 9.9 (8.7–11.3) | <0.0001 | 10.1 (7.9–11.6) | 9.9 (8.8–11.3) | <0.0001 |
| Reference: MNA-FF Malnutrition | GLIM Malnutrition | MNA-SF-GLIM Malnutrition | ENIGMA-GLIM Malnutrition |
|---|---|---|---|
| Youden Index | 0.63 | 0.65 | 0.62 |
| Sensitivity (%) | 80% | 80% | 74% |
| Specificity (%) | 83% | 85% | 88% |
| PPV | 20% | 21% | 25% |
| NPV | 99% | 99% | 98% |
| Kappa (95% CI) | 0.26 (0.22–0.31) | 0.28 (0.23–0.33) | 0.32 (0.26–0.37) |
| Malnutrition Criteria | n = 2477 | Impaired Quality of Life (n = 597) | Model 1 (Unadjusted) | Model 2 a | Model 3 b | |||||||
|---|---|---|---|---|---|---|---|---|---|---|---|---|
| n | % | OR | 95% CI | OR | 95% CI | OR | 95% CI | |||||
| GLIM malnutrition | Yes (n = 488) | 159 | 32.6 | 1.71 | 1.37 | 2.12 *** | 1.41 | 1.12 | 1.77 ** | 1.17 | 0.91 | 1.49 |
| No (n = 1989) | 438 | 22.0 | 1 | 1 | 1 | |||||||
| MNA-SF-GLIM malnutrition | Yes (n = 454) | 147 | 32.4 | 1.68 | 1.34 | 2.10 *** | 1.37 | 1.08 | 1.74 *** | 1.09 | 0.85 | 1.41 |
| No (n = 2023) | 450 | 22.2 | 1 | 1 | 1 | |||||||
| ENIGMA-GLIM malnutrition | Yes (n = 362) | 126 | 34.8 | 1.86 | 1.46 | 2.37 *** | 1.47 | 1.14 | 1.89 ** | 1.16 | 0.88 | 1.53 |
| No (n = 2115) | 471 | 22.3 | 1 | 1 | 1 | |||||||
| Exposed | Follow-Up | Mortality | Model 1 (Unadjusted) | Model 2 a | Model 3 b | |||||||||
|---|---|---|---|---|---|---|---|---|---|---|---|---|---|---|
| n | Person-years (p-y) | n = 378 | Per 1000 p-y | HR | 95% CI | HR | 95% CI | HR | 95% CI | |||||
| GLIM malnutrition | Yes | 488 | 4638.1 | 130 | 28.0 | 2.14 | 1.73 | 2.65 *** | 1.51 | 1.21 | 1.88 *** | 1.41 | 1.12 | 1.76 ** |
| No | 1989 | 19,308 | 248 | 12.8 | 1 | 1 | 1 | |||||||
| MNA-SF-GLIM malnutrition | Yes | 454 | 4292.8 | 121 | 28.2 | 2.13 | 1.71 | 2.64 *** | 1.47 | 1.18 | 1.84 *** | 1.35 | 1.07 | 1.70 * |
| No | 2023 | 19,654 | 257 | 13.1 | 1 | 1 | 1 | |||||||
| ENIGMA-GLIM malnutrition | Yes | 362 | 3341.9 | 108 | 32.3 | 2.44 | 1.95 | 3.05 *** | 1.55 | 1.23 | 1.96 *** | 1.42 | 1.12 | 1.80 ** |
| No | 2115 | 20,605 | 270 | 13.1 | 1 | 1 | 1 | |||||||
Disclaimer/Publisher’s Note: The statements, opinions and data contained in all publications are solely those of the individual author(s) and contributor(s) and not of MDPI and/or the editor(s). MDPI and/or the editor(s) disclaim responsibility for any injury to people or property resulting from any ideas, methods, instructions or products referred to in the content. |
© 2024 by the authors. Licensee MDPI, Basel, Switzerland. This article is an open access article distributed under the terms and conditions of the Creative Commons Attribution (CC BY) license (https://creativecommons.org/licenses/by/4.0/).
Share and Cite
Win, P.P.S.; Chua, D.Q.L.; Gwee, X.; Wee, S.L.; Ng, T.P. Evaluating the Diagnosis of Malnutrition Based on Global Leadership Initiative on Malnutrition (GLIM) Criteria in Community-Dwelling Older Adults (Singapore Longitudinal Aging Study). Nutrients 2024, 16, 3823. https://doi.org/10.3390/nu16223823
Win PPS, Chua DQL, Gwee X, Wee SL, Ng TP. Evaluating the Diagnosis of Malnutrition Based on Global Leadership Initiative on Malnutrition (GLIM) Criteria in Community-Dwelling Older Adults (Singapore Longitudinal Aging Study). Nutrients. 2024; 16(22):3823. https://doi.org/10.3390/nu16223823
Chicago/Turabian StyleWin, Phoo Pyae Sone, Denise Qian Ling Chua, Xinyi Gwee, Shiou Liang Wee, and Tze Pin Ng. 2024. "Evaluating the Diagnosis of Malnutrition Based on Global Leadership Initiative on Malnutrition (GLIM) Criteria in Community-Dwelling Older Adults (Singapore Longitudinal Aging Study)" Nutrients 16, no. 22: 3823. https://doi.org/10.3390/nu16223823
APA StyleWin, P. P. S., Chua, D. Q. L., Gwee, X., Wee, S. L., & Ng, T. P. (2024). Evaluating the Diagnosis of Malnutrition Based on Global Leadership Initiative on Malnutrition (GLIM) Criteria in Community-Dwelling Older Adults (Singapore Longitudinal Aging Study). Nutrients, 16(22), 3823. https://doi.org/10.3390/nu16223823

