The Importance of Argan Oil in Medicine and Cosmetology
Abstract
1. Introduction
2. Comparison of Argan Oil with Other Oils
3. Chemical Composition of Argan Oil and Its Derivatives
3.1. Extraction Methods
3.2. Fatty Acid Profile and Health Benefits
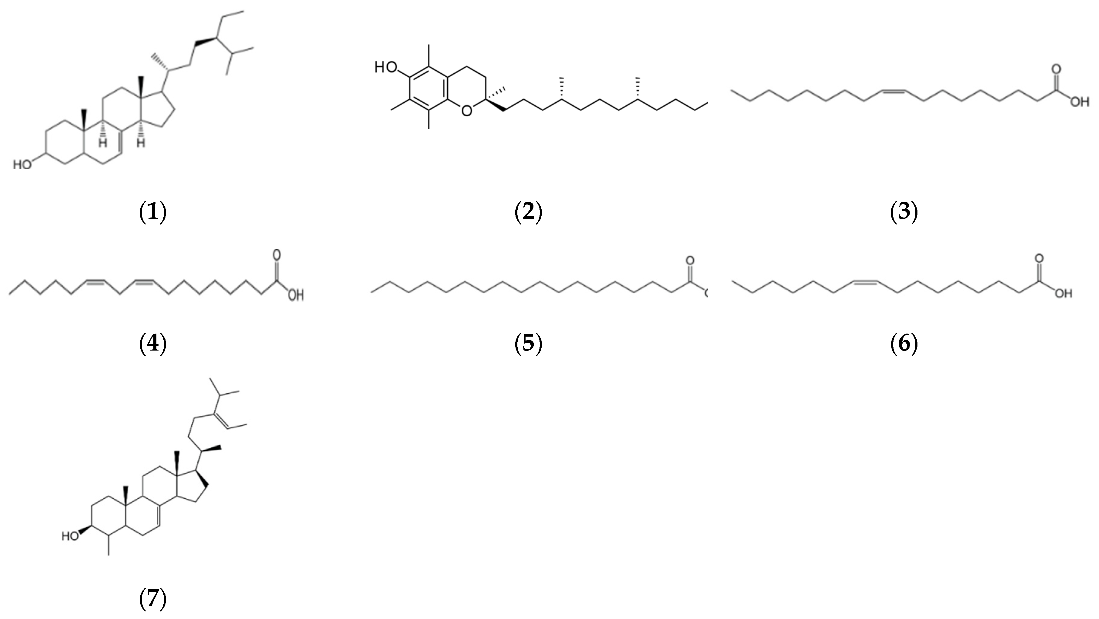
3.3. Bioactive Compounds
4. Biological Properties of Argan Oil
4.1. Antioxidant Activity
4.2. Effects of Argan Oil Consumption on Intestinal Microbiota Modulation
Probiotic Effects of Argan Oil
4.3. Other Benefits of Argan Oil
5. Experimental Models and Clinical Trials
6. The Use of Argan Oil in the Cosmetic Industry
7. Conclusions
Author Contributions
Funding
Conflicts of Interest
References
- Harhar, H.; Gharby, S.; Kartah, B.; Pioch, D.; Guillaume, D.; Charrouf, Z. Effect of harvest date of Argania. spinosa. fruits on argan oil quality. Ind. Crop. Prod. 2014, 56, 156–159. [Google Scholar] [CrossRef]
- Charrouf, Z.; Guillaume, D. The argan oil project: Going from utopia to reality in 20 years. OCL 2018, 25, D209. [Google Scholar] [CrossRef]
- Moutik, S.; Benali, A.; Bendaou, M.; Maadoudi, E.H.; Kabbour, M.R.; El Housni, A.; Es-Safi, N.E. The effect of using diet supplementation based on argane (Argania spinosa) on fattening performance, carcass characteristics and fatty acid composition of lambs. Heliyon 2021, 7, e05942. [Google Scholar] [CrossRef]
- Mechqoq, H.; El Yaagoubi, M.; El Hamdaoui, A.; Momchilova, S.; da Silva Almeida, J.R.; Msanda, F.; El Aouad, N. Ethnobotany, phytochemistry and biological properties of argan tree (Argania spinosa (L.) Skeels) (Sapotaceae)—A Review. J. Ethnopharm. 2021, 281, 114528. [Google Scholar] [CrossRef]
- Martínez, R.; Guzmán, A.; Kapravelou, G.; Melguizo, C.; Bermúdez, F.; Prados, J.; López-Jurado, M.; Porres, J.M. Argan pulp as a novel functional ingredient with beneficial effects on multiple metabolism biomarkers. J. Funct. Foods 2023, 110, 10586. [Google Scholar] [CrossRef]
- Bejaoui, M.; Taarji, N.; Saito, M.; Nakajima, M.; Isoda, H. Argan (Argania spinosa) press cake extract enhances cell proliferation and prevents oxidative stress and inflammation of human dermal papilla cells. J. Dermatol. Sci. 2021, 103, 33–40. [Google Scholar] [CrossRef]
- Calabriso, N.; Massaro, M.; Scoditti, E.; Carluccio, M.A. Dietary Polyphenols and Their Role in Gut Health. Nutrients 2023, 15, 2650. [Google Scholar] [CrossRef] [PubMed]
- Cherki, M.; Derouiche, A.; Drissi, A.; El Messal, M.; Bamou, Y.; Idrissi-Ouadghiri, A.; Khalil, A.; Adlouni, A. Consumption of argan oil may have an antiatherogenic effect by improving paraoxonase activities and antioxidant status: Intervention study in healthy men. Nutr. Metab. Cardiovasc. Dis. 2005, 15, 352–360. [Google Scholar] [CrossRef] [PubMed]
- Menni, H.B.; Belarbi, M.; Menni, D.B.; Bendiab, H.; Kherraf, Y.; Ksouri, R.; Djebli, N.; Visioli, F. Anti-inflammatory activity of argan oil and its minor components. Int. J. Food. Sci. Nutr. 2020, 71, 307–314. [Google Scholar] [CrossRef]
- Mohammed, F.; Guillaume, D.; Abdulwali, N.; Zabara, B.; Bchitou, R. Tin content is a possible marker to discriminate argan oil against olive, sesame, mustard, corn, peanut, and sunflower oils. Eur. J. Lip. Sci. Technol. 2019, 121, 1800180. [Google Scholar] [CrossRef]
- Donaldson, G.P.; Lee, S.M.; Mazmanian, S.K. Gut biogeography of the bacterial microbiota. Nat. Rev. Microbiol. 2016, 14, 20–32. [Google Scholar] [CrossRef] [PubMed]
- Aversa, Z.; Atkinson, E.J.; Schafer, M.J.; Theiler, R.N.; Rocca, W.A.; Blaser, M.J.; LeBrasseur, N.K. Association of Infant Antibiotic Exposure With Childhood Health Outcomes. Mayo Clin. Proc. 2021, 96, 66–77. [Google Scholar] [CrossRef]
- Landman, C.; Quévrain, E. Le microbiote intestinal: Description, rôle et implication physiopathologique. La Rev. Médecine Interne 2016, 37, 418–423. [Google Scholar] [CrossRef] [PubMed]
- Ibourki, M.; Gharby, S.; Guillaume, D.; Laknifli, A.; El Hammadi, A.; Charrouf, Z. Profiling of Mineral Elements and Heavy Metals in Argan Leaves and Fruit By-Products Using Inductively Coupled Plasma Optical Emission Spectrometry and Atomic Absorption Spectrometry. Chem. Data Collect. 2021, 35, 100772. [Google Scholar] [CrossRef]
- Charrouf, Z.; Guillaume, D. Should the amazigh diet (regular and moderate argan-oil consumption) have a beneficial impact on human health? Crit. Rev. Food Sci. Nutr. 2010, 50, 473–474. [Google Scholar] [CrossRef] [PubMed]
- Charrouf, Z.; Guillaume, D. Argan oil: Occurrence, composition and impact on human health. Eur. J. Lip. Sci. Technol. 2008, 110, 632–636. [Google Scholar] [CrossRef]
- Hilali, M.; Charrouf, Z.; Soulhi, A.E.A.; Hachimi, L.; Guillaume, D. Influence of origin and extraction method on argan oil physico-chemical characteristics and composition. J. Agric. Food Chem. 2005, 53, 2081–2087. [Google Scholar] [CrossRef]
- Rinninella, E.; Raoul, P.; Cintoni, M.; Franceschi, F.; Miggiano, G.A.D.; Gasbarrini, A.; Mele, M.C. What is the Healthy Gut Microbiota Composition? A Changing Ecosystem across Age, Environment, Diet, and Diseases. Microorganisms 2019, 7, 14. [Google Scholar] [CrossRef]
- El Kamouni, S.; El Kebbaj, R.; Andreoletti, P.; El Ktaibi, A.; Rharrassi, I.; Essamadi, A.; El Kebbaj, M.S.; Mandard, S.; Latruffe, N.; Vamecq, J.; et al. Protective Effect of Argan and Olive Oils against LPS-Induced Oxidative Stress and Inflammation in Mice Livers. Int. J. Mol. Sci. 2017, 18, 2181. [Google Scholar] [CrossRef]
- Harhar, H.; Gharby, S.; Kartah, B.; El Monfalouti, H.; Guillaume, D.; Charrouf, Z. Influence of argan kernel roasting-time on virgin argan oil composition and oxidative stability. Plant Foods Hum. Nutr. 2011, 66, 163–168. [Google Scholar] [CrossRef]
- Salghi, R.; Armbruster, W.; Schwack, W. Detection of argan oil adulteration with vegetable oils by high-performance liquid chromatography-evaporative light scattering detection. Food Chem. 2014, 153, 387–392. [Google Scholar] [CrossRef] [PubMed]
- Chakhchar, A.; Lamaoui, M.; El Kharrassi, Y.; Bourhim, T.; Filali-Maltouf, A.; El Modafar, C. A review on the root system of Argania spinosa. Curr. Agric. Res. J. 2020, 8, 1. [Google Scholar] [CrossRef]
- Guillaume, D.; Charrouf, Z. Argan oil for nutritional and skin care applications. H&PC Today 2013, 8, 28–30. [Google Scholar]
- Zaaboul, F.; Raza, H.; Lazraq, A.; Deng, B.; Cao, C.; Liu, Y.F. Chemical composition, physical properties, and the oxidative stability of oil bodies extracted from Argania spinosa. J. Am. Oil. Chem. Soc. 2018, 95, 485–495. [Google Scholar] [CrossRef]
- Zeghlouli, J.; Guendouz, A.; Duchez, D.; El Modafar, C.; Michaud, P.; Delattre, C. Valorization of co-products generated by argan oil extraction process: Application to biodiesel production. Biofuels 2021, 13, 771–777. [Google Scholar] [CrossRef]
- Astier, C.; Benchad Yel, A.; Moneret-Vautrin, D.A.; Bihain, B.E.; Kanny, G. Anaphylaxis to argan oil. Allergy 2010, 65, 662–663. [Google Scholar] [CrossRef]
- Bennani, H.; Drissi, A.; Giton, F.; Kheuang, L.; Fiet, J.; Adlouni, A. Antiproliferative effect of polyphenols and sterols of virgin argan oil on human prostate cancer cell lines. Cancer Detect. Prev. 2007, 31, 64–69. [Google Scholar] [CrossRef]
- Berrada, Y.; Settaf, A.; Baddouri, K.; Cherrah, A.; Hassar, M. Experimental evidence of an antihypertensive and hypocholesterolemic effect of oil of argan, Argania sideroxylon. Therapie 2000, 55, 375–378. [Google Scholar]
- El Babili, F.; Bouajila, J.; Fouraste, I. Chemical study, antimalarial and antioxidant activites, and cytotoxicity to human breast cancer cells (MCF7) of Argania spinosa. Phytomed 2010, 17, 157–160. [Google Scholar] [CrossRef]
- Berrougui, H.; de Sotomayor, M.A.; Pérez-Guerrero, C.; Ettaib, A.; Hmamouchi, M.; Marhuenda, E.; Herrera, M.D. Argan (Argania spinosa) oil lowers blood pressure and improves endothelial dysfunction in spontaneously hypertensive rats. Br. J. Nutr. 2004, 92, 921–929. [Google Scholar] [CrossRef]
- Belkaid, Y.; Hand, T.W. Role of the Microbiota in Immunity and Inflammation. Cell 2014, 157, 121–141. [Google Scholar] [CrossRef] [PubMed]
- Kiss, A.L. Inflammation in Focus: The Beginning and the End. Pathol. Oncol. Res. 2022, 27, 1610136. [Google Scholar] [CrossRef]
- Camba-Gómez, M.; Gualillo, O.; Conde-Aranda, J. New Perspectives in the Study of Intestinal Inflammation: Focus on the Resolution of Inflammation. Int. J. Mol. Sci. 2021, 22, 2605. [Google Scholar] [CrossRef] [PubMed]
- Oguntibeju, O.O. Medicinal plants with anti-inflammatory activities from selected countries and regions of Africa. J. Inflamm. Res. 2018, 11, 307–317. [Google Scholar] [CrossRef] [PubMed]
- Orabi, S.H.; Allam, T.S.; Shawky, S.M.; Tahoun, E.A.E.-A.; Khalifa, H.K.; Almeer, R.; Abdel-Daim, M.M.; El-Borai, N.B.; Mousa, A.A. The Antioxidant, Anti-Apoptotic, and Proliferative Potency of Argan Oil against Betamethasone-Induced Oxidative Renal Damage in Rats. Biology 2020, 9, 352. [Google Scholar] [CrossRef]
- El Kebbaj, R.; El Kamouni, S.; El Hajj, H.I.; Andreoletti, P.; Gresti, J.; Latruffe, N. Modulation of peroxisomes abundance by argan oil and lipopolysaccharides in acyl-CoA oxidase 1-deficient fibroblasts. Health 2013, 5, 62–69. [Google Scholar] [CrossRef]
- ELMostafi, H.; Bahbiti, Y.; Elhessni, A.; Bousalham, R.; Doumar, H.; Ouichou, A.; Benmhammed, H.; Touil, T.; Mesfioui, A. Neuroprotective potential of Argan oil in neuropsychiatric disorders in rats: A review. J. Funct. Foods 2020, 75, 104233. [Google Scholar] [CrossRef]
- Essadek, S.; Gondcaille, C.; Savary, S.; Samadi, M.; Vamecq, J.; Lizard, G.; El Kebbaj, R.; Latruffe, N.; Benani, A.; Nasser, B.; et al. Two Argan Oil Phytosterols, Schottenol and Spinasterol, Attenuate Oxidative Stress and Restore LPS-Dysregulated Peroxisomal Functions in Acox1-/- and Wild-Type BV-2 Microglial Cells. Antioxidants 2023, 12, 168. [Google Scholar] [CrossRef] [PubMed]
- Doré, J.; Corthier, G. Le microbiote intestinal humain. Gastroentérologie Clin. Biol. 2010, 34, 7–16. [Google Scholar] [CrossRef]
- Ursell, L.K.; Metcalf, J.L.; Parfrey, L.W.; Knight, R. Defining the Human Microbiome. Nutr. Rev. 2012, 70, S38–S44. [Google Scholar] [CrossRef]
- Chegdani, F.; Nouadi, B.; Bennis, F. Breastfeeding and the Influence of the Breast Milk Microbiota on Infant Health. In Topics on Critical Issues in Neonatal Care; IntechOpen: London, UK, 2021. [Google Scholar]
- Anachad, O.; Taouil, A.; Taha, W.; Bennis, F.; Chegdani, F. The Implication of Short-Chain Fatty Acids in Obesity and Diabetes. Microbiol. Insights 2023, 16, 11786361231162720. [Google Scholar] [CrossRef] [PubMed]
- Koh, A.; De Vadder, F.; Kovatcheva-Datchary, P.; Bäckhed, F. From Dietary Fiber to Host Physiology: Short-Chain Fatty Acids as Key Bacterial Metabolites. Cell 2016, 165, 1332–1345. [Google Scholar] [CrossRef] [PubMed]
- Aljarrah, D.; Chalour, N.; Zorgani, A.; Nissan, T.; Pranjol, Z.I. Exploring the gut microbiota and its potential as a biomarker in gliomas. Biomed. Pharmacother. 2024, 173, 116420. [Google Scholar] [CrossRef] [PubMed]
- Ramakrishna, B.S. Role of the gut microbiota in human nutrition and metabolism. J. Gastroenterol. Hepatol. 2013, 28 (Suppl. S4), 9–17. [Google Scholar] [CrossRef] [PubMed]
- Kamada, N.; Seo, S.-U.; Chen, G.Y.; Núñez, G. Role of the gut microbiota in immunity and inflammatory disease. Nat. Rev. Immunol 2013, 13, 321–335. [Google Scholar] [CrossRef]
- Kostic, A.D.; Xavier, R.J.; Gevers, D. The microbiome in inflammatory bowel disease: Current status and the future ahead. Gastroenterology 2014, 146, 1489–1499. [Google Scholar] [CrossRef]
- Cryan, J.F.; Dinan, T.G. Mind-altering microorganisms: The impact of the gut microbiota on brain and behaviour. Nat. Rev. Neurosci. 2012, 13, 701–712. [Google Scholar] [CrossRef]
- Turnbaugh, P.J.; Ley, R.E.; Mahowald, M.A.; Magrini, V.; Mardis, E.R.; Gordon, J.I. An obesity-associated gut microbiome with increased capacity for energy harvest. Nature 2006, 444, 1027–1031. [Google Scholar] [CrossRef]
- Cai, Y.; Zhang, S.; Zhao, S.; Yao, H. Gut-brain axis in depression: Crosstalk between neuroinflammation and gut microbiota. Adv. Neurol. 2023, 1, 272. [Google Scholar] [CrossRef]
- Wilson, I.D.; Nicholson, J.K. Gut microbiome interactions with drug metabolism, efficacy, and toxicity. Transl. Res. 2017, 179, 204–222. [Google Scholar] [CrossRef]
- Spanogiannopoulos, P.; Bess, E.N.; Carmody, R.N.; Turnbaugh, P.J. The microbial pharmacists within us: A metagenomic view of xenobiotic metabolism. Nat. Rev. Microbiol. 2016, 14, 273–287. [Google Scholar] [CrossRef] [PubMed]
- Kovatcheva-Datchary, P.; Tremaroli, V.; Bäckhed, F. The Gut Microbiota. In The Prokaryotes: Human Microbiology; Rosenberg, E., DeLong, E.F., Lory, S., Stackebrandt, E., Thompson, F., Eds.; Springer: Berlin/Heidelberg, Germany, 2013; pp. 3–24. [Google Scholar]
- Bouchab, H.; Essadek, S.; El Kamouni, S.; Moustaid, K.; Essamadi, A.; Andreoletti, P.; Cherkaoui-Malki, M.; El Kebbaj, R.; Nasser, B. Antioxidant Effects of Argan Oil and Olive Oil against Iron-Induced Oxidative Stress: In Vivo and In Vitro Approaches. Molecules 2023, 28, 5924. [Google Scholar] [CrossRef] [PubMed]
- Guillaume, D.; Charrouf, Z. Argan oil and other argan products: Use in dermocosmetology. Eur. J. Lip. Sci. Technol. 2011, 113, 403–408. [Google Scholar] [CrossRef]
- Hill, C.; Guarner, F.; Reid, G.; Gibson, G.R.; Merenstein, D.J.; Pot, B.; Morelli, L.; Canani, R.B.; Flint, H.J.; Salminen, S.; et al. Expert consensus document. The International Scientific Association for Probiotics and Prebiotics consensus statement on the scope and appropriate use of the term probiotic. Nat. Rev. Gastroenterol. Hepatol. 2014, 11, 506–514. [Google Scholar] [CrossRef]
- Davani-Davari, D.; Negahdaripour, M.; Karimzadeh, I.; Seifan, M.; Mohkam, M.; Masoumi, S.J.; Berenjian, A.; Ghasemi, Y. Prebiotics: Definition, Types, Sources, Mechanisms, and Clinical Applications. Foods 2019, 8, 92. [Google Scholar] [CrossRef]
- Valdes, A.M.; Walter, J.; Segal, E.; Spector, T.D. Role of the gut microbiota in nutrition and health. BMJ 2018, 361, k2179. [Google Scholar] [CrossRef]
- Murphy, E.A.; Velazquez, K.T.; Herbert, K.M. Influence of High-Fat-Diet on Gut Microbiota: A Driving Force for Chronic Disease Risk. Curr. Opin. Clin. Nutr. Metab. Care 2015, 18, 515–520. [Google Scholar] [CrossRef]
- Fan, Y.; Pedersen, O. Gut microbiota in human metabolic health and disease. Nat. Rev. Microbiol. 2021, 19, 55–71. [Google Scholar] [CrossRef]
- Smith, P.M.; Howitt, M.R.; Panikov, N.; Michaud, M.; Gallini, C.A.; Bohlooly-Y, M.; Glickman, J.N.; Garrett, W.S. The microbial metabolites, short-chain fatty acids, regulate colonic Treg cell homeostasis. Science 2013, 341, 569–573. [Google Scholar] [CrossRef]
- Biswas, V.; Praveen, A.; Marisetti, A.L.; Sharma, A.; Kumar, V.; Sahu, S.K.; Tewari, D. A Mechanistic Overview on Impact of Dietary Fibres on Gut Microbiota and Its Association with Colon Cancer. Dietetics 2022, 1, 182–202. [Google Scholar] [CrossRef]
- Li, H.-B.; Xu, M.-L.; Xu, X.-D.; Tang, Y.-Y.; Jiang, H.-L.; Li, L.; Xia, W.-J.; Cui, N.; Bai, J.; Dai, Z.-M.; et al. Faecalibacterium prausnitzii Attenuates CKD via Butyrate-Renal GPR43 Axis. Circ. Res. 2022, 131, e120–e134. [Google Scholar] [CrossRef] [PubMed]
- Sivan, A.; Corrales, L.; Hubert, N.; Williams, J.B.; Aquino-Michaels, K.; Earley, Z.M.; Benyamin, F.W.; Lei, Y.M.; Jabri, B.; Alegre, M.-L.; et al. Commensal Bifidobacterium. promotes antitumor immunity and facilitates anti-PD-L1 efficacy. Science 2015, 350, 1084–1089. [Google Scholar] [CrossRef] [PubMed]
- Song, L.; Sun, Q.; Zheng, H.; Zhang, Y.; Wang, Y.; Liu, S.; Duan, L. Roseburia hominis Alleviates Neuroinflammation via Short-Chain Fatty Acids through Histone Deacetylase Inhibition. Mol. Nutr. Food Res. 2022, 66, e2200164. [Google Scholar] [CrossRef]
- Goto, M.; Kuda, T.; Shikano, A.; Takahashi, H.; Kimura, B. Effects of Ethanol-Precipitated Argan Press Cake on the Caecal Microbiome of Mice Fed a High-Sucrose Diet. Waste Biomass Valor 2021, 12, 5451–5460. [Google Scholar] [CrossRef]
- Fu, J.; Zheng, Y.; Gao, Y.; Xu, W. Dietary Fiber Intake and Gut Microbiota in Human Health. Microorganisms 2022, 10, 2507. [Google Scholar] [CrossRef] [PubMed]
- Bié, J.; Sepodes, B.; Fernandes, P.C.B.; Ribeiro, M.H.L. Polyphenols in Health and Disease: Gut Microbiota, Bioaccessibility, and Bioavailability. Compounds 2023, 3, 40–72. [Google Scholar] [CrossRef]
- Wang, K.; Hu, S. The synergistic effects of polyphenols and intestinal microbiota on osteoporosis. Front. Immunol. 2023, 14, 1285621. [Google Scholar] [CrossRef]
- Wang, Q.; Wu, Y.; Peng, A.; Cui, J.; Zhao, M.; Pan, Y.; Zhang, M.; Tian, K.; Schwab, W.; Song, C. Single-cell transcriptome atlas reveals developmental trajectories and a novel metabolic pathway of catechin esters in tea leaves. Plant Biotechnol. J. 2022, 20, 2089–2106. [Google Scholar] [CrossRef]
- Haneishi, Y.; Furuya, Y.; Hasegawa, M.; Picarelli, A.; Rossi, M.; Miyamoto, J. Inflammatory Bowel Diseases and Gut Microbiota. Int. J. Mol. Sci. 2023, 24, 3817. [Google Scholar] [CrossRef]
- El Kebbaj, R.; Bouchab, H.; Tahri-Joutey, M.; Rabbaa, S.; Limami, Y.; Nasser, B.; Egbujor, M.C.; Tucci, P.; Andreoletti, P.; Saso, L.; et al. The Potential Role of Major Argan Oil Compounds as Nrf2 Regulators and Their Antioxidant Effects. Antioxidants 2024, 13, 344. [Google Scholar] [CrossRef]
- Chen, J.; Chen, D.; Yu, B.; Luo, Y.; Zheng, P.; Mao, X.; Yu, J.; Luo, J.; Huang, Z.; Yan, H.; et al. Chlorogenic Acid Attenuates Oxidative Stress-Induced Intestinal Mucosa Disruption in Weaned Pigs. Front. Vet. Sci. 2022, 9, 806253. [Google Scholar] [CrossRef] [PubMed]
- El Monfalouti, H.; Guillaume, D.; Denhez, C.; Charrouf, Z. Therapeutic potential of argan oil: A review. J. Pharm. Pharmacol. 2010, 62, 1669–1675. [Google Scholar] [CrossRef] [PubMed]
- Lizard, G.; Filali-Zegzouti, Y.; El Midaoui, A. Benefits of argan oil on human health-May 4–6 2017, errachidia, Morocco. Inter. J. Molec. Sci. 2017, 18, 1383. [Google Scholar] [CrossRef] [PubMed]
- Amzal, H.; Alaoui, K.; Tok, S.; Errachidi, A.; Charof, R.; Cherrah, Y.; Benjouad, A. Protective effect of saponins from Argania spinosa against free radical-induced oxidative haemolysis. Fitoterapia 2008, 79, 337–344. [Google Scholar] [CrossRef]
- El Orche, A.; Elhamdaoui, O.; Cheikh, A.; Zoukeni, B.; El Karbane, M.; Mbarki, M.; Bouatia, M. Comparative study of three fingerprint analytical approaches based on spectroscopic sensors and chemometrics for the detection and quantification of argan oil adulteration. J. Sci. Food Agric. 2022, 102, 95–104. [Google Scholar] [CrossRef]
- Dobrev, H. Clinical and instrumental study of the efficacy of a new sebum control cream. J. Cosmet. Dermatol. 2007, 6, 113–118. [Google Scholar] [CrossRef]
- Qin, H.-Y.; Wu, J.C.Y.; Tong, X.-D.; Sung, J.J.Y.; Xu, H.-X.; Bian, Z.-X. Systematic review of animal models of post-infectious/post-inflammatory irritable bowel syndrome. J. Gastroenterol. 2011, 46, 164–174. [Google Scholar] [CrossRef]
- Olojo, F.O.; Akinrinde, A.S.; Ogundairo, S.A.; Ubochi, V.C. Argania spinosa essential oil ameliorates colonic damage and extraintestinal alterations in a rat model of acetic acid-induced colitis by suppressing oxidative stress and inflammation. Adv. Tradit. Med. 2024, 24, 459–474. [Google Scholar] [CrossRef]
- Manca, M.L.; Manconi, M.; Meloni, M.C.; Marongiu, F.; Allaw, M.; Usach, I.; Peris, J.E.; Escribano-Ferrer, E.; Tuberoso, C.I.G.; Gutierrez, G.; et al. Nanotechnology for natural medicine: Formulation of neem oil loaded phospholipid vesicles modified with argan oil as a strategy to protect the skin from oxidative stress and promote wound healing. Antioxidants 2021, 10, 670. [Google Scholar] [CrossRef]
- Charrouf, Z.; Guillaume, D. Argan oil, the 35-years-of-research product. Eur. J. Lip. Sci. Technol. 2014, 116, 1316–1321. [Google Scholar] [CrossRef]
- Matthäus, B.; Guillaume, D.; Gharby, S.; Haddad, A.; Harhar, H.; Charrouf, Z. Effect of processing on the quality of edible argan oil. Food Chem. 2010, 120, 426–432. [Google Scholar] [CrossRef]


| Oil Fraction Compounds | Compounds | Traditional Extraction | Mechanical Press | References | |
|---|---|---|---|---|---|
| Glyceridic fraction | Fatty acids (%) | Myristic acid (C14:0) | 0.11 ± 0.01 | ≤0.2 | TE [17] MP [18] SE [15,16] SFE [15] | 
| Palmitic acid (C16:0) | 12.26 ± 0.19 | 13.25 ±1.75 | |||
| Palmitoleic acid (C16:1) | 0.03 ± 0.02 | ≤0.2 | |||
| Stearic acid (C18:0) | 5.55 ± 0.42 | 5.75 ± 1.45 | |||
| Oleic acid (C18:1 n-9) | 47.66 ± 0.56 | 46.05 ± 3.05 | |||
| Linoleic acid (C18:2 n-6) | 32.96 ± 0.76 | 32.65 ± 3.35 | |||
| Linolenic acid (C18:3) | 0.08 ± 0.01 | — | |||
| Arachidic acid (C20:0) | 0.38 ± 0.04 | ≤0.5 | |||
| Behenic acid (C22:0) | 0.12 ± 0.01 | ≤0.2 | |||
| Monoacylglycerols (%) | Palmitoyl | 4.95 ± 0.95 | — | TE [19] | |
| Stearoyl | 4 ± 0.5 | — | |||
| Oleoyl and linoleoyl | 81.8 ± 1.5 | 81.8 ± 1.5 | |||
| Triacylglycerols | >4.14 | ≥19.0 | TE [17] MP [20] SE [4] | ||
| Unsaponified fraction | Sterols (%) | Schottenol (Schot) | 47.37 ± 0.77 | 46.5 ± 2.5 | MP [17,20] | 
| Spina | 35.80 ± 1.0 | 39 ± 5 | |||
| Stigmasta-8,22-diene-3β-ol | 4.53 ± 0.29 | 4.45 ± 1.25 | |||
| Campesterol | 0.2 ± 0.02 | 0.043 | |||
| Triterpene alcohols (%) | Lupeol | — | 7.1 | MP [21] | |
| Butyrospermol | — | 18.1 | |||
| Tirucallol | — | 27.9 | |||
| β-amyrin | — | 27.3 | |||
| 24-methylene cycloartenol | — | 4.5 | |||
| Citrostadienol | — | ||||
| Tocopherols (mg/kg) | α-tocopherol | 72 ± 10 | 59 ± 8 | TE [21] MP [21] SFE [15] | |
| β-tocopherol | 7 ± 2 | 6 ± 2 | |||
| δ-tocopherol | 82 ± 12 | 51 ± 8 | |||
| γ-tocophero | 585 ± 25 | 531 ± 25 | |||
| Phenolic compounds (%) | Vanillic acid | 12.38 ± 8.7 | 11.25 ± 6.4 | TE [4] MP [4] | |
| Syringic acid | 28.25 ± 6.66 | 25.48 ± 6.6 | |||
| Ferulic acid | 30.52 ± 22.4 | 31.49 ± 26.75 | |||
| p-Hydroxybenzoic acid | 10.86 ± 6.23 | 14.01 ± 7.11 | 
| Disclaimer/Publisher’s Note: The statements, opinions and data contained in all publications are solely those of the individual author(s) and contributor(s) and not of MDPI and/or the editor(s). MDPI and/or the editor(s) disclaim responsibility for any injury to people or property resulting from any ideas, methods, instructions or products referred to in the content. | 
© 2024 by the authors. Licensee MDPI, Basel, Switzerland. This article is an open access article distributed under the terms and conditions of the Creative Commons Attribution (CC BY) license (https://creativecommons.org/licenses/by/4.0/).
Share and Cite
Serrafi, A.; Chegdani, F.; Bennis, F.; Kepinska, M. The Importance of Argan Oil in Medicine and Cosmetology. Nutrients 2024, 16, 3573. https://doi.org/10.3390/nu16203573
Serrafi A, Chegdani F, Bennis F, Kepinska M. The Importance of Argan Oil in Medicine and Cosmetology. Nutrients. 2024; 16(20):3573. https://doi.org/10.3390/nu16203573
Chicago/Turabian StyleSerrafi, Agata, Fatima Chegdani, Faïza Bennis, and Marta Kepinska. 2024. "The Importance of Argan Oil in Medicine and Cosmetology" Nutrients 16, no. 20: 3573. https://doi.org/10.3390/nu16203573
APA StyleSerrafi, A., Chegdani, F., Bennis, F., & Kepinska, M. (2024). The Importance of Argan Oil in Medicine and Cosmetology. Nutrients, 16(20), 3573. https://doi.org/10.3390/nu16203573
 
        



 
       