Microbiota Transplantation in Individuals with Type 2 Diabetes and a High Degree of Insulin Resistance
Abstract
1. Introduction
2. Materials and Methods
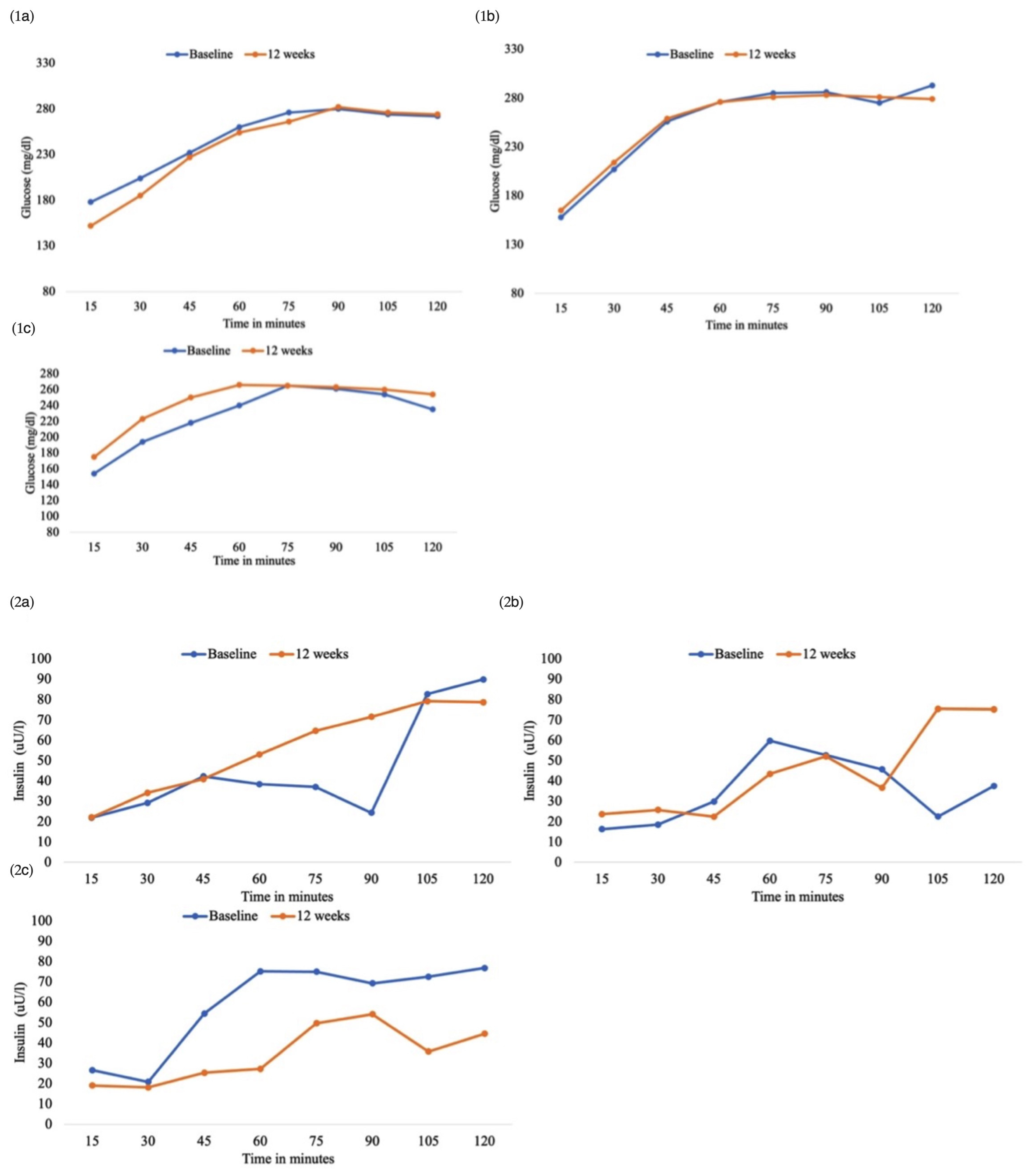
3. Results
4. Discussion
5. Conclusions
Supplementary Materials
Author Contributions
Funding
Institutional Review Board Statement
Informed Consent Statement
Data Availability Statement
Acknowledgments
Conflicts of Interest
References
- Hanssen, N.M.J.; de Vos, W.M.; Nieuwdorp, M. Fecal Microbiota Transplantation in Human Metabolic Diseases: From a Murky Past to a Bright Future? Cell Metab. 2021, 33, 1098–1110. [Google Scholar] [CrossRef] [PubMed]
- Kao, D.; Roach, B.; Silva, M.; Beck, P.; Rioux, K.; Kaplan, G.G.; Chang, H.-J.; Coward, S.; Goodman, K.J.; Xu, H.; et al. Effect of Oral Capsule- vs Colonoscopy-Delivered Fecal Microbiota Transplantation on Recurrent Clostridium Difficile Infection: A Randomized Clinical Trial. JAMA 2017, 318, 1985–1993. [Google Scholar] [CrossRef] [PubMed]
- Chen, C.-C.; Chiu, C.-H. Current and Future Applications of Fecal Microbiota Transplantation for Children. Biomed. J. 2022, 45, 11–18. [Google Scholar] [CrossRef] [PubMed]
- Allegretti, J.R.; Kassam, Z.; Mullish, B.H.; Chiang, A.; Carrellas, M.; Hurtado, J.; Marchesi, J.R.; McDonald, J.A.K.; Pechlivanis, A.; Barker, G.F.; et al. Effects of Fecal Microbiota Transplantation with Oral Capsules in Obese Patients. Clin. Gastroenterol. Hepatol. 2020, 18, 855–863.e2. [Google Scholar] [CrossRef] [PubMed]
- Rinott, E.; Youngster, I.; Meir, A.Y.; Tsaban, G.; Kaplan, A.; Zelicha, H.; Rubin, E.; Koren, O.; Shai, I. Autologous Fecal Microbiota Transplantation Can Retain the Metabolic Achievements of Dietary Interventions. Eur. J. Intern. Med. 2021, 92, 17–23. [Google Scholar] [CrossRef] [PubMed]
- Hamamah, S.; Gheorghita, R.; Lobiuc, A.; Sirbu, I.-O.; Covasa, M. Fecal Microbiota Transplantation in Non-Communicable Diseases: Recent Advances and Protocols. Front. Med. 2022, 9, 1060581. [Google Scholar] [CrossRef] [PubMed]
- Ding, D.; Yong, H.; You, N.; Lu, W.; Yang, X.; Ye, X.; Wang, Y.; Cai, T.; Zheng, X.; Chen, H.; et al. Prospective Study Reveals Host Microbial Determinants of Clinical Response to Fecal Microbiota Transplant Therapy in Type 2 Diabetes Patients. Front. Cell. Infect. Microbiol. 2022, 12, 820367. [Google Scholar] [CrossRef] [PubMed]
- Proença, I.M.; Allegretti, J.R.; Bernardo, W.M.; de Moura, D.T.H.; Ponte Neto, A.M.; Matsubayashi, C.O.; Flor, M.M.; Kotinda, A.P.S.T.; de Moura, E.G.H. Fecal Microbiota Transplantation Improves Metabolic Syndrome Parameters: Systematic Review with Meta-Analysis Based on Randomized Clinical Trials. Nutr. Res. 2020, 83, 1–14. [Google Scholar] [CrossRef] [PubMed]
- Gómez-Pérez, A.M.; Ruiz-Limón, P.; Salas-Salvadó, J.; Vioque, J.; Corella, D.; Fitó, M.; Vidal, J.; Atzeni, A.; Torres-Collado, L.; Álvarez-Sala, A.; et al. Gut Microbiota in Nonalcoholic Fatty Liver Disease: A PREDIMED-Plus Trial Sub Analysis. Gut Microbes 2023, 15, 2223339. [Google Scholar] [CrossRef] [PubMed]
- Díaz-Perdigones, C.M.; Muñoz-Garach, A.; Álvarez-Bermúdez, M.D.; Moreno-Indias, I.; Tinahones, F.J. Gut Microbiota of Patients with Type 2 Diabetes and Gastrointestinal Intolerance to Metformin Differs in Composition and Functionality from Tolerant Patients. Biomed. Pharmacother. 2022, 145, 112448. [Google Scholar] [CrossRef] [PubMed]
- Yu, E.W.; Gao, L.; Stastka, P.; Cheney, M.C.; Mahabamunuge, J.; Torres Soto, M.; Ford, C.B.; Bryant, J.A.; Henn, M.R.; Hohmann, E.L. Fecal Microbiota Transplantation for the Improvement of Metabolism in Obesity: The FMT-TRIM Double-Blind Placebo-Controlled Pilot Trial. PLoS Med. 2020, 17, e1003051. [Google Scholar] [CrossRef] [PubMed]
- Su, L.; Hong, Z.; Zhou, T.; Jian, Y.; Xu, M.; Zhang, X.; Zhu, X.; Wang, J. Health Improvements of Type 2 Diabetic Patients through Diet and Diet plus Fecal Microbiota Transplantation. Sci. Rep. 2022, 12, 1152. [Google Scholar] [CrossRef] [PubMed]
- Rinott, E.; Youngster, I.; Yaskolka Meir, A.; Tsaban, G.; Zelicha, H.; Kaplan, A.; Knights, D.; Tuohy, K.; Fava, F.; Scholz, M.U.; et al. Effects of Diet-Modulated Autologous Fecal Microbiota Transplantation on Weight Regain. Gastroenterology 2021, 160, 158–173.e10. [Google Scholar] [CrossRef] [PubMed]
- Lahtinen, P.; Juuti, A.; Luostarinen, M.; Niskanen, L.; Liukkonen, T.; Tillonen, J.; Kössi, J.; Ilvesmäki, V.; Viljakka, M.; Satokari, R.; et al. Effectiveness of Fecal Microbiota Transplantation for Weight Loss in Patients with Obesity Undergoing Bariatric Surgery: A Randomized Clinical Trial. JAMA Netw. Open 2022, 5, e2247226. [Google Scholar] [CrossRef] [PubMed]
- Ng, S.C.; Xu, Z.; Mak, J.W.Y.; Yang, K.; Liu, Q.; Zuo, T.; Tang, W.; Lau, L.; Lui, R.N.; Wong, S.H.; et al. Microbiota Engraftment after Faecal Microbiota Transplantation in Obese Subjects with Type 2 Diabetes: A 24-Week, Double-Blind, Randomised Controlled Trial. Gut 2022, 71, 716–723. [Google Scholar] [CrossRef] [PubMed]
- Yang, Y.; Yan, J.; Li, S.; Liu, M.; Han, R.; Wang, Y.; Wang, Z.; Wang, D. Efficacy of Fecal Microbiota Transplantation in Type 2 Diabetes Mellitus: A Systematic Review and Meta-Analysis. Endocrine 2024, 84, 48–62. [Google Scholar] [CrossRef] [PubMed]
- Leong, K.S.W.; Jayasinghe, T.N.; Wilson, B.C.; Derraik, J.G.B.; Albert, B.B.; Chiavaroli, V.; Svirskis, D.M.; Beck, K.L.; Conlon, C.A.; Jiang, Y.; et al. Effects of Fecal Microbiome Transfer in Adolescents with Obesity: The Gut Bugs Randomized Controlled Trial. JAMA Netw. Open 2020, 3, e2030415. [Google Scholar] [CrossRef] [PubMed]
- Taur, Y.; Coyte, K.; Schluter, J.; Robilotti, E.; Figueroa, C.; Gjonbalaj, M.; Littmann, E.R.; Ling, L.; Miller, L.; Gyaltshen, Y.; et al. Reconstitution of the Gut Microbiota of Antibiotic-Treated Patients by Autologous Fecal Microbiota Transplant. Sci. Transl. Med. 2018, 10, eaap9489. [Google Scholar] [CrossRef] [PubMed]
- Kristensen, N.B.; Bryrup, T.; Allin, K.H.; Nielsen, T.; Hansen, T.H.; Pedersen, O. Alterations in Fecal Microbiota Composition by Probiotic Supplementation in Healthy Adults: A Systematic Review of Randomized Controlled Trials. Genome Med. 2016, 8, 52. [Google Scholar] [CrossRef] [PubMed]
- Wilson, B.C.; Vatanen, T.; Jayasinghe, T.N.; Leong, K.S.W.; Derraik, J.G.B.; Albert, B.B.; Chiavaroli, V.; Svirskis, D.M.; Beck, K.L.; Conlon, C.A.; et al. Strain Engraftment Competition and Functional Augmentation in a Multi-Donor Fecal Microbiota Transplantation Trial for Obesity. Microbiome 2021, 9, 107. [Google Scholar] [CrossRef] [PubMed]


| Placebo (n = 7) | Probiotic (n = 7) | FMT (n = 7) | * | |
|---|---|---|---|---|
| Variables | ||||
| Weight (Kg), median (IQR) | ||||
| Baseline | 90 (80.5–100.9) | 92 (79–98.5) | 83.8 (77.3–89) | p = 0.675 |
| 12-weeks | 85 (75–98.3) | 93.5 (80–96) | 84.5 (74.9–89.5) | p = 0.457 |
| ** | p = 0.345 | p = 0.397 | p = 0.917 | |
| Waist circumference (cm), median (IQR) | ||||
| Baseline | 108 (102–112.3) | 107 (105–113) | 105 (98.5–112.3) | p = 0.858 |
| 12-weeks | 113 (101.3–142) | 110 (105–114) | 103.5 (95.3–113.5) | p = 0.439 |
| ** | p = 0.138 | p = 0.750 | p = 0.400 | |
| BMI (Kg/m2), median (IQR) | ||||
| Baseline | 33.7 (31.8–36.3) | 31.3 (30.4–31.9) | 31.1 (30.3–32.9) | p = 0.414 |
| 12-weeks | 33.2 (30.3–35.2) | 30.7 (30.5–32.4) | 31.6 (29–33.8) | p = 0.625 |
| ** | p = 0.345 | p = 0.398 | p = 0.917 | |
| SBP (mmHg), median (IQR) | ||||
| Baseline | 134 (124–141) | 129 (117–153) | 127 (120–134.3) | p = 0.251 |
| 12-weeks | 138 (123.5–158) | 131 (128–149) | 118.5 (109.3–135.8) | p = 0.220 |
| ** | p = 0.078 | p = 0.352 | p = 0.249 | |
| DBP (mmHg), median (IQR) | ||||
| Baseline | 87.5 (78.8–91) | 80 (74–87) | 84 (76–90) | p = 0.363 |
| 12-weeks | 83 (80.5–92.5) | 83 (77–93) | 82.5 (70.3–88.3) | p = 0.668 |
| ** | p = 0.684 | p = 0.115 | p = 0.916 | |
| Fasting glucose (mg/dL), median (IQR) | ||||
| Baseline | 99.5 (87.8–111.5) | 128 (99–134) | 110 (99–129.5) | p = 0.314 |
| 12-weeks | 113 (100.5–154.5) | 114 (103–115) | 122.5 (99–143.5) | p = 0.719 |
| ** | p = 0.138 | p = 0.128 | p = 0.115 | |
| HbA1c (%), median (IQR) | ||||
| Baseline | 6.5 (6.2–6.6) | 6.1 (5.9–6.7) | 6.6 (6.1–6.9) | p = 0.557 |
| 12-weeks | 6.2 (5.9–6.4) | 6.2 (6–6.9) | 6.9 (6.3–7) | p = 0.225 |
| ** | p = 0.273 | p = 0.236 | p = 0.041 | |
| Uric acid (mg/dL), median (IQR) | ||||
| Baseline | 5.5 (3.8–7.7) | 7 (5.9–7.4) | 5.4 (4.8–6) | p = 0.186 |
| 12-weeks | 5.4 (4.6–6.3) | 6.5 (5.3–6.8) | 5.5 (3.7–6.1) | p = 0.206 |
| ** | p = 0.686 | p = 0.042 | p = 0.750 | |
| HOMA IR, median (IQR) | ||||
| Baseline | 2.3 (1.7–4.5) | 3 (0.7–5.3) | 3 (1.2–3.8) | p = 0.091 |
| 12-weeks | 4.5 (4–11.4) | 2.5 (0.7–3.8) | 3.4 (0.9–4.2) | p = 0.112 |
| ** | p = 0.118 | p = 0.866 | p = 0.600 | |
| HOMA-beta, median (IQR) | ||||
| Baseline | 81.2 (77.1–118.7) | 63.4 (22.8–87.9) | 66.5 (35.9–100.3) | p = 0.109 |
| 12-weeks | 134.5 (100.2–175.2) | 62.3 (31.4–100.3) | 51.2 (28.3–69.9) | p = 0.085 |
| ** | p = 0.813 | p = 0.468 | p = 0.313 | |
| Matsuda Index, median (IQR) | ||||
| Baseline | 3.6 (1.7–8.6) | 5.5 (2–8.8) | 6.4 (4.7–13.5) | p = 0.564 |
| 12-weeks | 1.9 (1.4–2.3) | 2.3 (1.8–3.2) | 2.1 (1.7–2.7) | p = 0.657 |
| ** | p = 0.250 | p = 0.875 | p = 0.500 |
Disclaimer/Publisher’s Note: The statements, opinions and data contained in all publications are solely those of the individual author(s) and contributor(s) and not of MDPI and/or the editor(s). MDPI and/or the editor(s) disclaim responsibility for any injury to people or property resulting from any ideas, methods, instructions or products referred to in the content. |
© 2024 by the authors. Licensee MDPI, Basel, Switzerland. This article is an open access article distributed under the terms and conditions of the Creative Commons Attribution (CC BY) license (https://creativecommons.org/licenses/by/4.0/).
Share and Cite
Gómez-Pérez, A.M.; Muñoz-Garach, A.; Lasserrot-Cuadrado, A.; Moreno-Indias, I.; Tinahones, F.J. Microbiota Transplantation in Individuals with Type 2 Diabetes and a High Degree of Insulin Resistance. Nutrients 2024, 16, 3491. https://doi.org/10.3390/nu16203491
Gómez-Pérez AM, Muñoz-Garach A, Lasserrot-Cuadrado A, Moreno-Indias I, Tinahones FJ. Microbiota Transplantation in Individuals with Type 2 Diabetes and a High Degree of Insulin Resistance. Nutrients. 2024; 16(20):3491. https://doi.org/10.3390/nu16203491
Chicago/Turabian StyleGómez-Pérez, Ana María, Araceli Muñoz-Garach, Agustín Lasserrot-Cuadrado, Isabel Moreno-Indias, and Francisco J. Tinahones. 2024. "Microbiota Transplantation in Individuals with Type 2 Diabetes and a High Degree of Insulin Resistance" Nutrients 16, no. 20: 3491. https://doi.org/10.3390/nu16203491
APA StyleGómez-Pérez, A. M., Muñoz-Garach, A., Lasserrot-Cuadrado, A., Moreno-Indias, I., & Tinahones, F. J. (2024). Microbiota Transplantation in Individuals with Type 2 Diabetes and a High Degree of Insulin Resistance. Nutrients, 16(20), 3491. https://doi.org/10.3390/nu16203491

