Health Effects and Mechanisms of Inulin Action in Human Metabolism
Abstract
1. Introduction
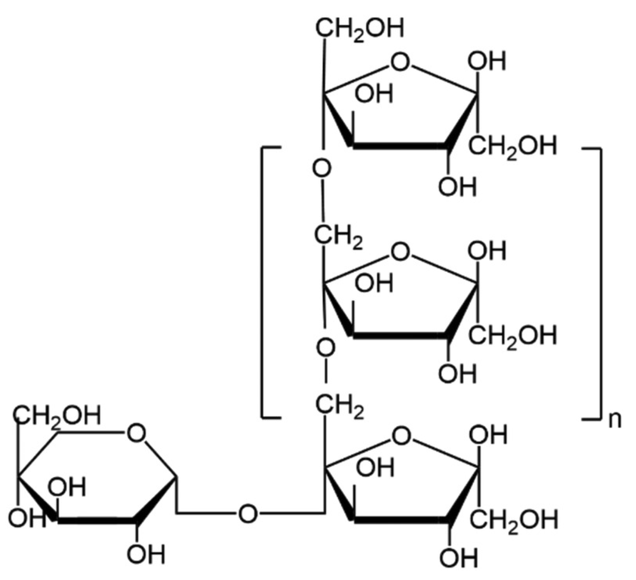
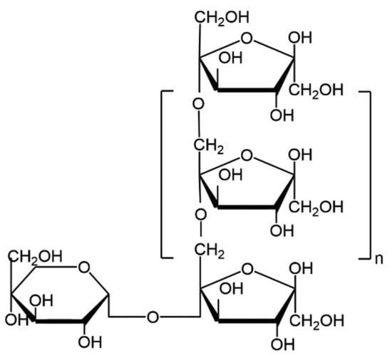
1.1. Inulin Structure and Properties
1.2. Sources of Inulin
1.3. Study Aim
2. Materials and Methods
3. Study Characteristics
4. Inulin Effect on Human Metabolic Health
4.1. Physiological Effects of Inulin
4.2. Link between Microbiota Modulation and Physiological Effects Produced by Inulin Supplementation
5. Effect of Inulin Combinations with Other Compounds on Human Metabolic Health
5.1. Effects of Inulin Combinations with Other Compounds on Human Metabolic Health
5.2. Link between Microbiota Modulation and Physiological Effects
6. Effect of Inulin Intake on Other Diseases
7. Mechanisms of Action
8. Conclusions
Author Contributions
Funding
Conflicts of Interest
References
- Kays, S.J.; Nottingham, S.F. Biology and Chemistry of Jerusalem Artichoke: Helianthus tuberosus L., 1st ed.; CRC Press: Boca Raton, FL, USA, 2007; pp. 52–96. [Google Scholar]
- Shoaib, M.; Shehzad, A.; Omar, M.; Rakha, A.; Raza, H.; Sharif, H.R.; Shakeel, A.; Ansari, A.; Niazi, S. Inulin: Properties, health benefits and food applications. Carbohydr. Polym. 2016, 147, 444–454. [Google Scholar] [CrossRef]
- Qin, Y.Q.; Wang, L.Y.; Yang, X.Y.; Xu, Y.J.; Fan, G.; Fan, Y.G.; Ren, J.N.; An, Q.; Li, X. Inulin: Properties and health benefits. Food Funct. 2023, 14, 2948–2968. [Google Scholar] [CrossRef]
- Illippangama, A.U.; Jayasena, D.D.; Jo, C.; Mudannayake, D.C. Inulin as a functional ingredient and their applications in meat products. Carbohydr. Polym. 2022, 275, 118706. [Google Scholar] [CrossRef] [PubMed]
- Ahmed, W.; Rashid, S. Functional and therapeutic potential of inulin: A comprehensive review. Crit. Rev. Food Sci. Nutr. 2019, 59, 1–13. [Google Scholar] [CrossRef]
- Perović, J.; Tumbas Šaponjac, V.; Kojić, J.; Krulj, J.; Moreno, D.A.; García-Viguera, C.; Bodroža-Solarov, M.; Ilić, N. Chicory (Cichorium intybus L.) as a food ingredient—Nutritional composition, bioactivity, safety, and health claims: A review. Food Chem. 2021, 336, 127676. [Google Scholar] [CrossRef] [PubMed]
- Gupta, N.; Jangid, A.K.; Pooja, D.; Kulhari, H. Inulin: A novel and stretchy polysaccharide tool for biomedical and nutritional applications. Int. J. Biol. Macromol. 2019, 132, 852–863. [Google Scholar] [CrossRef]
- Gupta, D.; Chaturvedi, N. Prebiotic Potential of underutilized Jerusalem artichoke in Human Health: A Comprehensive Review. Int. J. Environ. Agric. Biotech. 2020, 5, 97–103. [Google Scholar] [CrossRef]
- Chambers, E.S.; Byrne, C.S.; Morrison, D.J.; Murphy, K.G.; Preston, T.; Tedford, C.; Garcia-Perez, I.; Fountana, S.; Serrano-Contreras, J.I.; Holmes, E.; et al. Dietary supplementation with inulin-propionate ester or inulin improves insulin sensitivity in adults with overweight and obesity with distinct effects on the gut microbiota, plasma metabolome and systemic inflammatory responses: A randomised cross-over trial. Gut 2019, 68, 1430–1438. [Google Scholar] [PubMed]
- Nicolucci, A.C.; Hume, M.P.; Martínez, I.; Mayengbam, S.; Walter, J.; Reimer, R.A. Prebiotics Reduce Body Fat and Alter Intestinal Microbiota in Children Who Are Overweight or with Obesity. Gastroenterology 2017, 153, 711–722. [Google Scholar] [CrossRef]
- Visuthranukul, C.; Chamni, S.; Kwanbunbumpen, T.; Saengpanit, P.; Chongpison, Y.; Tepaamorndech, S.; Panichsillaphakit, E.; Uaariyapanichkul, J.; Nonpat, N.; Chomtho, S. Effects of inulin supplementation on body composition and metabolic outcomes in children with obesity. Sci. Rep. 2022, 12, 13014. [Google Scholar] [CrossRef]
- Chambers, E.S.; Viardot, A.; Psichas, A.; Morrison, D.J.; Murphy, K.G.; Zac-Varghese, S.E.K.; MacDougall, K.; Preston, T.; Tedford, C.; Finlayson, G.S.; et al. Effects of targeted delivery of propionate to the human colon on appetite regulation, body weight maintenance and adiposity in overweight adults. Gut 2015, 64, 1744–1754. [Google Scholar] [CrossRef] [PubMed]
- Vandeputte, D.; Falony, G.; Vieira-Silva, S.; Wang, J.; Sailer, M.; Theis, S.; Verbeke, K.; Raes, J. Prebiotic inulin-type fructans induce specific changes in the human gut microbiota. Gut 2017, 66, 1968–1974. [Google Scholar] [CrossRef]
- Birkeland, E.; Gharagozlian, S.; Birkeland, K.I.; Valeur, J.; Måge, I.; Rud, I.; Aas, A.-M. Prebiotic effect of inulin-type fructans on faecal microbiota and short-chain fatty acids in type 2 diabetes: A randomised controlled trial. Eur. J. Nutr. 2020, 59, 3325–3338. [Google Scholar] [CrossRef]
- Slavin, J.; Feirtag, J. Chicory inulin does not increase stool weight or speed up intestinal transit time in healthy male subjects. Food Funct. 2011, 2, 72–77. [Google Scholar] [CrossRef]
- Jackson, P.P.; Wijeyesekera, A.; Williams, C.M.; Theis, S.; van Harsselaar, J.; Rastall, R.A. Inulin-type fructans and 2’fucosyllactose alter both microbial composition and appear to alleviate stress-induced mood state in a working population compared to placebo (maltodextrin): The EFFICAD Trial, a randomized, controlled trial. Am. J. Clin. Nutr. 2023, 118, 938–955. [Google Scholar] [CrossRef] [PubMed]
- Rodriguez, J.; Neyrinck, A.M.; Van Kerckhoven, M.; Gianfrancesco, M.A.; Renguet, E.; Bertrand, L.; Cani, P.D.; Lanthier, N.; Cnop, M.; Paquot, N.; et al. Physical activity enhances the improvement of body mass index and metabolism by inulin: A multicenter randomized placebo-controlled trial performed in obese individuals. BMC Med. 2022, 20, 110. [Google Scholar] [CrossRef]
- Yang, H.Y.; Yang, S.C.; Chao, J.C.J.; Chen, J.R. Beneficial effects of catechin-rich green tea and inulin on the body composition of overweight adults. Br. J. Nutr. 2012, 107, 749–754. [Google Scholar] [CrossRef]
- Salazar, N.; Dewulf, E.M.; Neyrinck, A.M.; Bindels, L.B.; Cani, P.D.; Mahillon, J.; de Vos, W.M.; Thissen, J.-P.; Gueimonde, M.; de los Reyes-Gavilan, C.G.; et al. Inulin-type fructans modulate intestinal Bifidobacterium species populations and decrease fecal short-chain fatty acids in obese women. Clin. Nutr. 2015, 34, 501–507. [Google Scholar] [CrossRef]
- Reimer, R.A.; Soto-Vaca, A.; Nicolucci, A.C.; Mayengbam, S.; Park, H.; Madsen, K.L.; Menon, R.; Vaughan, E.E. Effect of chicory inulin-type fructan-containing snack bars on the human gut microbiota in low dietary fiber consumers in a randomized crossover trial. Am. J. Clin. Nutr. 2020, 111, 1286–1296. [Google Scholar] [CrossRef]
- Holscher, H.D.; Bauer, L.L.; Gourineni, V.; Pelkman, C.L.; Fahey, G.C.; Swanson, K.S. Agave inulin supplementation affects the fecal microbiota of healthy adults participating in a randomized, double-blind, placebo-controlled, crossover trial. J. Nutr. 2015, 145, 2025–2032. [Google Scholar] [CrossRef]
- Drabińska, N.; Jarocka-Cyrta, E.; Markiewicz, L.H.; Krupa-Kozak, U. The effect of oligofructose-enriched inulin on faecal bacterial counts and microbiota-associated characteristics in celiac disease children following a gluten-free diet: Results of a randomized, placebo-controlled trial. Nutrients 2018, 10, 201. [Google Scholar] [CrossRef] [PubMed]
- Hess, A.L.; Benítez-Páez, A.; Blædel, T.; Larsen, L.H.; Iglesias, J.R.; Madera, C.; Sanz, Y.; Larsen, T.M.; The MyNewGut Consortium. The effect of inulin and resistant maltodextrin on weight loss during energy restriction: A randomised, placebo-controlled, double-blinded intervention. Eur. J. Nutr. 2020, 59, 2507–2524. [Google Scholar] [CrossRef]
- Hiel, S.; Gianfrancesco, M.A.; Rodriguez, J.; Portheault, D.; Leyrolle, Q.; Bindels, L.B.; da Silveria Cauduro, C.G.; Mulders, M.D.; Zamariola, G.; Azzi, A.-S.; et al. Link between gut microbiota and health outcomes in inulin -treated obese patients: Lessons from the Food4Gut multicenter randomized placebo-controlled trial. Clin. Nutr. 2020, 39, 3618–3628. [Google Scholar] [CrossRef] [PubMed]
- Dehghan, P.; Gargari, B.P.; Jafar-Abadi, M.A.; Aliasgharzadeh, A. Inulin controls inflammation and metabolic endotoxemia in women with type 2 diabetes mellitus: A randomized-controlled clinical trial. Int. J. Food Sci. Nutr. 2014, 65, 117–123. [Google Scholar] [CrossRef]
- Neyrinck, A.M.; Rodriguez, J.; Zhang, Z.; Seethaler, B.; Sánchez, C.R.; Roumain, M.; Hiel, S.; Bindels, L.B.; Cani, P.D.; Paquot, N.; et al. Prebiotic dietary fibre intervention improves fecal markers related to inflammation in obese patients: Results from the Food4Gut randomized placebo-controlled trial. Eur. J. Nutr. 2021, 60, 3159–3170. [Google Scholar] [CrossRef] [PubMed]
- Rahat-Rozenbloom, S.; Fernandes, J.; Cheng, J.; Wolever, T.M.S. Acute increases in serum colonic short-chain fatty acids elicited by inulin do not increase GLP-1 or PYY responses but may reduce ghrelin in lean and overweight humans. Eur. J. Clin. Nutr. 2017, 71, 953–958. [Google Scholar] [CrossRef]
- Healey, G.; Murphy, R.; Butts, C.; Brough, L.; Whelan, K.; Coad, J. Habitual dietary fibre intake influences gut microbiota response to an inulin-type fructan prebiotic: A randomised, double-blind, placebo-controlled, cross-over, human intervention study. Br. J. Nutr. 2018, 119, 176–189. [Google Scholar] [CrossRef]
- Kiewiet, M.B.G.; Elderman, M.E.; El Aidy, S.; Burgerhof, J.G.M.; Visser, H.; Vaughan, E.E.; Faas, M.M.; de Vos, P. Flexibility of Gut Microbiota in Ageing Individuals during Dietary Fiber Long-Chain Inulin Intake. Mol. Nutr. Food Res. 2021, 65, 2000390. [Google Scholar] [CrossRef]
- Lai, S.; Mazzaferro, S.; Muscaritoli, M.; Mastroluca, D.; Testorio, M.; Perrotta, A.; Esposito, Y.; Carta, M.; Campagna, L.; Di Grado, M.; et al. Prebiotic therapy with inulin associated with low protein diet in chronic kidney disease patients: Evaluation of nutritional, cardiovascular and psychocognitive parameters. Toxins 2020, 12, 381. [Google Scholar] [CrossRef]
- Costabile, A.; Kolida, S.; Klinder, A.; Gietl, E.; Buerlein, M.; Frohberg, C.; Landschütze, V.; Gibson, G.R. A double-blind, placebo-controlled, cross-over study to establish the bifidogenic effect of a very-long-chain inulin extracted from globe artichoke (Cynara scolymus) in healthy human subjects. Br. J. Nutr. 2010, 104, 1007–1017. [Google Scholar] [CrossRef]
- Biruete, A.; Cross, T.W.L.; Allen, J.M.; Kistler, B.M.; de Loor, H.; Evenepoel, P.; Fahey, G.C.; Bauer, L.; Swanson, K.S.; Wilund, K.R. Effect of Dietary Inulin Supplementation on the Gut Microbiota Composition and Derived Metabolites of Individuals Undergoing Hemodialysis: A Pilot Study. J. Ren. Nutr. 2021, 31, 512–522. [Google Scholar] [CrossRef]
- Petry, N.; Egli, I.; Chassard, C.; Lacroix, C.; Hurrell, R. Inulin modifies the bifidobacteria population, fecal lactate concentration, and fecal pH but does not influence iron absorption in women with low iron status. Am. J. Clin. Nutr. 2012, 96, 325–331. [Google Scholar] [CrossRef]
- Baxter, N.T.; Schmidt, A.W.; Venkataraman, A.; Kim, K.S.; Waldron, C.; Schmidt, T.M. Dynamics of Human Gut Microbiota and Short-Chain Fatty Acids in Response to Dietary Interventions with Three Fermentable Fibers. Am. Soc. Microbiol. J. 2019, 10, e02566-18. [Google Scholar] [CrossRef]
- Gargari, B.P.; Dehghan, P.; Aliasgharzadeh, A.; Jafar-Abadi, M.A. Effects of high performance inulin supplementation on glycemic control and antioxidant status in women with type 2 diabetes. Diabetes Metab. J. 2013, 37, 140–148. [Google Scholar] [CrossRef]
- Dewulf, E.M.; Cani, P.D.; Claus, S.P.; Fuentes, S.; Puylaert, P.G.; Neyrinck, A.M.; Bindels, L.B.; de Vos, W.M.; Gibson, G.R.; Thissen, J.-P.; et al. Insight into the prebiotic concept: Lessons from an exploratory, double blind intervention study with inulin-type fructans in obese women. Gut 2013, 62, 1112–1121. [Google Scholar] [CrossRef]
- Yin, P.; Du, T.; Yi, S.; Zhang, C.; Yu, L.; Tian, F.; Chen, W.; Zhai, Q. Response differences of gut microbiota in oligofructose and inulin are determined by the initial gut Bacteroides/Bifidobacterium ratios. Food Res. Int. 2023, 174, 113598. [Google Scholar] [CrossRef]
- Ďásková, N.; Modos, I.; Krbcová, M.; Kuzma, M.; Pelantová, H.; Hradecký, J.; Heczková, M.; Bratová, M.; Videňská, P.; Šplíchalová, P.; et al. Multi-omics signatures in new-onset diabetes predict metabolic response to dietary inulin: Findings from an observational study followed by an interventional trial. Nutr. Diab. 2023, 13, 7. [Google Scholar] [CrossRef]
- Collins, S.M.; Gibson, G.R.; Stainton, G.N.; Bertocco, A.; Kennedy, O.B.; Walton, G.E.; Commane, D.M. Chronic consumption of a blend of inulin and arabinoxylan reduces energy intake in an ad libitum meal but does not influence perceptions of appetite and satiety: A randomised control-controlled crossover trial. Eur. J. Nutr. 2023, 62, 2205–2215. [Google Scholar] [CrossRef]
- Wang, X.; Wang, T.; Zhang, Q.; Xu, L.; Xiao, X. Dietary Supplementation with Inulin Modulates the Gut Microbiota and Improves Insulin Sensitivity in Prediabetes. Int. J. Endocrinol. 2021, 2021, 5579369. [Google Scholar] [CrossRef]
- Ramnani, P.; Gaudier, E.; Bingham, M.; Van Bruggen, P.; Tuohy, K.M.; Gibson, G.R. Prebiotic effect of fruit and vegetable shots containing Jerusalem artichoke inulin: A human intervention study. Br. J. Nutr. 2010, 104, 233–240. [Google Scholar] [CrossRef]
- Salmean, Y.A. Using inulin fiber supplementation with MyPlate recommendations promotes greater weight loss in obese women. Prog. Nutr. 2019, 21, 81–85. [Google Scholar]
- Hou, C.; Shi, H.; Xiao, J.; Song, X.; Luo, Z.; Ma, X.; Shi, L.; Wei, H.; Li, J. Pomegranate Juice Supplemented with Inulin Modulates Gut Microbiota and Promotes the Production of Microbiota-Associated Metabolites in Overweight/Obese Individuals: A Randomized, Double-Blind, Placebo-Controlled Trial. J. Agric. Food Chem. 2024, 72, 14663–14677. [Google Scholar] [CrossRef]
- Visuthranukul, C.; Sriswasdi, S.; Tepaamorndech, S.; Chamni, S.; Leelahavanichkul, A.; Joyjinda, Y.; Aksornkitti, V.; Chomtho, S. Enhancing gut microbiota and microbial function with inulin supplementation in children with obesity. Int. J. Obes. 2024, 1–9. [Google Scholar] [CrossRef]
- Lai, S.; Molfino, A.; Testorio, M.; Perrotta, A.M.; Currado, A.; Pintus, G.; Pietrucci, D.; Unida, V.; La Rocca, D.; Biocca, S.; et al. Effect of low-protein diet and inulin on microbiota and clinical parameters in patients with chronic kidney disease. Nutrients 2019, 11, 3006. [Google Scholar] [CrossRef]
- Sohn, M.B.; Gao, B.; Kendrick, C.; Srivastava, A.; Isakova, T.; Gassman, J.J.; Fried, L.F.; Wolf, M.; Cheung, A.K.; Raphael, K.L.; et al. Targeting Gut Microbiome with Prebiotic in Patients With CKD: The TarGut-CKD Study. Kidney Int. Rep. 2024, 9, 671–685. [Google Scholar] [CrossRef]
- Yurrita, L.C.; Martín, I.S.M.; Ciudad-Cabañas, M.J.; Calle-Purón, M.E.; Cabria, M.H. Eficacia de la ingesta de inulina sobre los indicadores del estreñimiento crónico; un meta-análisis de ensayos clínicos aleatorizados controlados. Nutr. Hosp. 2014, 30, 244–252. [Google Scholar]
- Micka, A.; Siepelmeyer, A.; Holz, A.; Theis, S.; Schön, C. Effect of consumption of chicory inulin on bowel function in healthy subjects with constipation: A randomized, double-blind, placebo-controlled trial. Int. J. Food Sci. Nutr. 2017, 68, 82–89. [Google Scholar] [CrossRef]
- Limketkai, B.N.; Godoy-Brewer, G.; Shah, N.D.; Maas, L.; White, J.; Parian, A.M.; Mullin, G.E. Prebiotics for Induction and Maintenance of Remission in Inflammatory Bowel Disease: Systematic Review and Meta-Analysis. Inflamm. Bowel Dis. 2024, izae115. [Google Scholar] [CrossRef]
- Leenen, C.H.M.; Dieleman, L.A. Health Benefits and Claims-A Critical Review Inulin and Oligofructose in Chronic Inflammatory Bowel Disease 1–3. J. Nutr. 2007, 137, 2572S–2575S. [Google Scholar] [CrossRef]
- Valcheva, R.; Koleva, P.; Martínez, I.; Walter, J.; Gänzle, M.G.; Dieleman, L.A. Inulin-type fructans improve active ulcerative colitis associated with microbiota changes and increased short-chain fatty acids levels. Gut Microbes 2019, 10, 334–357. [Google Scholar] [CrossRef]
- Casellas, F.; Borruel, N.; Torrejón, A.; Varela, E.; Antolin, M.; Guarner, F.; Malagelada, J. Oral oligofructose-enriched inulin supplementation in acute ulcerative colitis is well tolerated and associated with lowered faecal calprotectin. Aliment. Pharmacol. Ther. 2007, 25, 1061–1067. [Google Scholar] [CrossRef]
- Rivière, A.; Selak, M.; Lantin, D.; Leroy, F.; De Vuyst, L. Bifidobacteria and butyrate-producing colon bacteria: Importance and strategies for their stimulation in the human gut. Front. Microbiol. 2016, 7, 979. [Google Scholar] [CrossRef]
- Angelini, G.; Russo, S.; Mingrone, G. Incretin hormones, obesity and gut microbiota. Peptides 2024, 178, 171216. [Google Scholar] [CrossRef]
- Tang, C.; Ahmed, K.; Gille, A.; Lu, S.; Gröne, H.J.; Tunaru, S.; Offermanns, S. Loss of FFA2 and FFA3 increases insulin secretion and improves glucose tolerance in type 2 diabetes. Nat. Med. 2015, 21, 173–177. [Google Scholar] [CrossRef]
- Kumar, J.; Rani, K.; Datt, C. Molecular link between dietary fibre, gut microbiota and health. Mol. Biol. Rep. 2020, 47, 6229–6237. [Google Scholar] [CrossRef]
- Kim, Y.A.; Keogh, J.B.; Clifton, P.M. Probiotics, prebiotics, synbiotics and insulin sensitivity. Nutr. Res. Rev. 2018, 31, 35–51. [Google Scholar] [CrossRef]
- Smith, P.M.; Howitt, M.R.; Panikov, N.; Michaud, M.; Gallini, C.A.; Bohlooly-Y, M.; Glickman, J.N.; Garrett, W.S. The microbial metabolites, short-chain fatty acids, regulate colonic T reg cell homeostasis. Science 2013, 341, 569–573. [Google Scholar] [CrossRef]
- Watzl, B.; Girrbach, S.; Roller, M. Inulin, oligofructose and immunomodulation. Br. J. Nutr. 2005, 93, 49–55. [Google Scholar] [CrossRef]
- He, J.; Zhang, P.; Shen, L.; Niu, L.; Tan, Y.; Chen, L.; Zhao, Y.; Bai, L.; Hao, X.; Li, X.; et al. Short-chain fatty acids and their association with signalling pathways in inflammation, glucose and lipid metabolism. Int. J. Mol. Sci. 2020, 21, 6356. [Google Scholar] [CrossRef]



| Study Type | Inulin Source | Intervention Group | Control Group | Population | Age | Sample Size (Male/Female) | Reference |
|---|---|---|---|---|---|---|---|
| Randomized, controlled trial | Beneo-Orafti HP, Kreglinger Europe, Antwerpen, Belgium | Inulin-propionate ester | Inulin and Cellulose | English adults with overweight and obesity | 18–65 | 12 (3/9) | [9] |
| Clinical trial | Oligofructose-inulin (Synergy1; BENEO GmbH, Mannheim, Germany) | Oligofructose-inulin | Maltodextrin placebo | Canadian healthy children with overweight and obesity | 7–12 | 38 | [10] |
| Randomized, double-blind, placebo-controlled trial | Extracted inulin powder from Thai Jerusalem artichoke | Extracted inulin powder | Isocaloric maltodextrin | Thai children with obesity | 7–15 | 165 | [11] |
| Randomized, controlled, cross-over study | Not available | Inulin-propionate ester | Inulin and Cellulose | English adults with excess of weight | 40–65 | 155 | [12] |
| Double-blind, randomized, cross-over intervention study | Chicory-derived inulin (Orafti inulin) | Chicory-derived inulin | Maltodextrin | German healthy men and women having constipation | 20–75 | 54 (33/11) | [13] |
| Randomized, placebo-controlled, double-blind, cross-over trial | 50/50 mixture of oligofructose and inulin; Orafti® Synergy1, Beneo GmbH, Germany) | Inulin-type fructans | Maltodextrin | Norwegian patients with type 2 diabetes | 63.1 (mean) | 25 (10/15) | [14] |
| Randomized, double-blind, cross-over design | Chicory inulin (Frutafit supplied by Imperial Suiker-Unie, Sugar Land, TX, USA; produced by Sensus, Roosendaal, The Netherlands) | Low-fiber diet with chicory inulin | Low-fiber control diet | U.S. healthy human subjects | 27–49 | 12 (12/0) | [15] |
| Four-arm parallel, double-blind, randomized, placebo-controlled trial | Orafti P95, DP 3–9, average DP 4; BENEO-Orafti | OF + maltodextrin/FL | Maltodextrin + FL | U.K. healthy adults | 18–50 | 92 (30/62) | [16] |
| Multicenter, randomized, placebo-controlled trial performed in obese individuals | Extracted from chicory root, Cosucra, Pecq, Belgium | Inulin and inulin + PA | Maltodextrin and Maltodextrin + PA | Belgian obesity-related metabolic disorder adults | 18–65 | 59 | [17] |
| Randomized, controlled trial | >85% fructo-oligosaccharides; average chain length: seven monomers; Sensus, Roosendaal, The Netherlands | Green tea + Inulin beverage | Placebo beverage | Taiwanese adults with excess of weight | 20–50 | 30 | [18] |
| Randomized, double-blind, parallel, placebo-controlled trial | Synergy 1, namely, inulin/oligofructose 50/50 mix, Orafti, Oreye, Belgium | Inulin + oligofructose 50/50 | Maltodextrin | Belgian women with obesity | 18–65 | 30 (0/30) | [19] |
| Placebo-controlled, double-blind, cross-over trial | Not available | Inulin snack | Control snack | Canadian healthy adults | 18–65 | 48 (22/28) | [20] |
| Randomized, controlled, cross-over trial | BIOAGAVE agave inulin fiber; Ingredion Incorporated | Inulin-containing chews | control chews | U.S. healthy adults | 18–65 | 29 | [21] |
| Randomized, placebo-controlled trial | Orafti® Synergy 1, Beneo, Tienen, Belgium | Oligofructose-enriched inulin | Maltodextrin | Polish children with celiac disease | 4–18 | 34 (13/21) | [22] |
| Randomized, placebo-controlled, double-blind, parallel intervention | Fibruline® Instant, Cosucra Group Warcoing, Warcoing, Belgium | Inulin + maltodextrin | Maltodextrin | Danish adults with obesity or excess of weight | 18–60 | 86 (31/54) | [23] |
| Randomized, single-blind, multicentric, placebo-controlled trial | Extracted from chicory root, Cosucra, Belgium | Inulin | Maltodextrin | Belgian adults with obesity | 18–65 | 110 | [24] |
| Randomized, controlled clinical trial | Not available | Inulin | Maltodextrin | Female patients with type 2 diabetes mellitus | >18 | 49 (0/49) | [25] |
| Multicentric, single-blind, placebo-controlled trial | Extracted from chicory root, Cosucra, Belgium | Inulin | Maltodextrin | Belgian patients with obesity | >18 | 24 | [26] |
| Cross-over randomized, controlled trial | Not available | Inulin | Glucose | Spanish patients with excess of weight | 18–65 | 25 (12/13) | [27] |
| Randomized, double-blind, placebo-controlled, cross-over study | Orafti® Synergy1–50:50 inulin to fructo-oligosaccharide mix; Beneo GmbH | Inulin-type fructan | Maltodextrin | New Zealand healthy adults | 19–65 | 33 (13/20) | [28] |
| Double-blind, placebo-controlled study | FrutafitTEX!, Sensus, Roosendaal, The Netherlands | Chicory long-chain inulin | Glucose | Caucasian old patients | 55–80 | 26 (18/8) | [29] |
| Interventional prospective controlled study | Not available | Low-protein diet and inulin | Low-protein diet | Italian patients with chronic kidney disease | 18–80 | 41 (25/16) | [30] |
| Double-blind, randomized, placebo-controlled, cross-over study | Bayer BioScience GmbH, Hermannswerder, Potsdam, Germany | VLCI | Maltodextrin | UK healthy adults | 20–42 | 31 | [31] |
| Randomized, double-blind, placebo-controlled, cross-over study | Orafti Synergy, Beneo, Belgium | Inulin | Maltodextrin | U. S. individuals undergoing HD | 55 (mean) | 12 (6/6) | [32] |
| Randomized, double-blind, cross-over design | Fibruline Instant; Cosucra Group Warcoing | Inulin | Maltodextrin | Swiss healthy adult women | 18–40 | 32 (0/32) | [33] |
| Randomized, controlled trial | Chicory root | Inulin | Baseline | U. S. healthy young adults | 17–29 | 174 | [34] |
| Randomized, triple-blind, controlled trial | Chicory root | Inulin | Baseline | Iranian type 2 diabetic women | 20–65 | 49 (0/49) | [35] |
| Double-blind, placebo-controlled, intervention study | Chicory root | Inulin and oligofructose (50/50) | Maltodextrin | Belgian women with obesity | 18–65 | 30 (0/30) | [36] |
| Randomized, triple-blind, controlled trial | Quantum High-Tech Biologicals Co. Ltd., Jiangmen, China | Inulin | Baseline | Chinese healthy adults | 18–65 | 57 (22/35) | [37] |
| Randomized, controlled trial | Not available | Inulin | Baseline | Czechs Patients with type 2 diabetes | 18–65 | 27 | [38] |
| Randomized, controlled trial | Chicory root | Inulin and Arabinoxylan (50/50) | Maltodextrin | U.K. healthy adult men | 19–55 | 20 | [39] |
| Prospective single-arm study | Inulin Biosciences Company, Wuhan, China | Inulin | Baseline | Chinese adult patients with prediabetes | 37–69 | 49 (16/39) | [40] |
| Three-arm parallel, placebo-controlled, randomized, double-blind study | Jerusalem artichoke | Inulin + fruit juice | Fruit juice | U.K. healthy adults | 18–55 | 66 (33/33) | [41] |
| Simple randomized intervention study | Frutafit® IQ, Roosendaal, The Netherlands | Inulin | Baseline | Kuwaiti adult women with obesity | 18–65 | 12 | [42] |
| RCT | Not available | Inulin + pomegranate juice | Pomegranate juice | Chinese adults with obesity | 18–65 | 67 (33/34) | [43] |
| Randomized, controlled trial | Jerusalem artichoke | Inulin | Maltodextrin | Thai children with obesity | 7–15 | 143 | [44] |
| Source | Effect on Gut Microbiota | Effect on Metabolic Disturbances and SCFAs | Dose (g/d) | Time (Weeks) | Reference |
|---|---|---|---|---|---|
| Chicory | Increase: Bifidobacterium, Anaerostipes Decrease: Bilophila No effect: Akkermansia, Eubacterium, Faecalibacterium, Lactobacillus | None | 12 | 4 | [13] |
| Chicory | Increase: Total anaerobes, Lactobacillus Decrease: None No effect: Clostridium, Bifidobacterium, Enterobacteriaceae | None | 20 | 6 | [15] |
| Chicory | Increase: Bifidobacterium, Anaerostipes, B. angulatum Decrease: Clostridium sensu stricto No effect: B. adolescentis, B. bifidum | Increase: Plasma AST levels Decrease: Body weight, BMI, liver stiffness, TC No effect: None | 16 | 12 | [17] |
| Chicory | Increase: B. bifidum, B. longum B. adolescentis, Catenibacterium Decrease: Desulfovibrio, Roseburia, No effect: None | Increase: Insulin HOMA-IR, HOMA-ISI Decrease: Body weight, BMI No effect: HDL-C, LDL-C, HOMA-IR, TGs, TC, SBP, DBP | 16 | 12 | [24] |
| Chicory | Increase: Bifidobacterium, Anaerostipes, Catenibacterium Decrease: Actinomyces, Erysipelotrichaceae, Lachnospiraceae, Enterobacteriaceae No effect: None | Increase: Linolenic acid Decrease: None No effect: SCFAs, body weight, BMI, fat mass, waist, SBP, DBP, TC, LDL-C, HDL-C, TG | 16 | 12 | [26] |
| Chicory | Increase: B. angulatum, B. ruminantium, B. adolescentis Decrease: None No effect: None | Increase: None Decrease: None No effect: SCFAs | 8 | 9 | [29] |
| Chicory | Increase: None Decrease: None No effect: Bifidobacterium, Faecalibacterium | Increase: None Decrease: None No effect: Butyrate, propionate, acetate | 10 or 15 | 13 | [32] |
| Chicory | Increase: Bifidobacterium Decrease: None No effect: None | Increase: Lactate Decrease: Fecal pH No effect: Butyrate, propionate, fumarate, acetate, iron absorption | 20 | 4 | [33] |
| Chicory | Increase: B. longum, B. adolescentis, Anaerostipes hadrus Decrease: None No effect: None | Increase: Total SCFA Decrease: None No effect: None | 20 | 4 | [34] |
| Chicory | Increase: A. hadrus, B. faecale, Bacteroides caccae Decrease: Ruminococcus faecis, Blautia obeum, Blautia faecis No effect: None | Increase: Insulin sensitivity, IL-10 Decrease: Fasting insulin, IL-8 No effect: SCFAs, body weight, food intake | 20 | 6 | [9] |
| Jerusalem artichoke | None | Increase: FFMI Decrease: BMI-z, FMI, LDL-C No effect: TC, HDL-C, TGs, FPG, SBP | 13 | 24 | [11] |
| Agave | Increase: B. adolescentis, B. breve, B. longum, B. pseudolongum Decrease: Desulfovibrio, Lachnobacterium *, Ruminococcus * No effect: B. animalis, B. bifidum, Akkermansia, Faecalibacterium, Coprococcus | Increase: None Decrease: None No effect: Propionate, butyrate, acetate | 5 or 7 * | 12 | [21] |
| Global artichoke | Increase: Bifidobacterium, lactobacilli–enterococci Decrease: Bacteroides–Prevotella No effect: Escherichia coli, Eubacterium rectale–Clostridium coccoides group, Ruminococcus | Increase: None Decrease: None No effect: SCFAs | 10 | 6 | [31] |
| Not available | None | Increase: HDL-C Decrease: Serum insulin, TC, TGs No effect: | 19 | 24 | [30] |
| Not available | None | Increase: None Decrease: FBS, HbA1c, fasting insulin, HOMA-IR, hs-CRP, TNF-α No effect: None | 10 | 8 | [25] |
| Not available | Increase: Bifidobacterium, Cellulomonas, Nesterenkonia *, Brevibacterium * Decrease: Ruminococcus, Dorea No effect: Lachnospira, Oscillospira | Increase: None Decrease: None No effect: SCFAs | 3 or 7 * | 12 | [20] |
| Not available | None | Increase: None Decrease: BMI, body weight, fasting glucose, HbA1c, No effect: Fasting insulin, HOMA-IR | 10 | 8 | [35] |
| Not available | Increase: Bifidobacterium, Eubacterium, Decrease: Ruminococcus No effect: None | Increase: Butyrate, propionate Decrease: None No effect: Acetate | 10 | 16 | [37] |
| Not available | Increase: Bifidobacterium, Faecalibacterium, Akkermansia, Anaerostipes Decrease: Bacteroides No effect: None | Increase: Insulin sensitivity, butyrate, propionate Decrease: None No effect: Acetate | 10 | 12 | [38] |
| Not available | Increase: Bifidobacterium, Lactobacillus, Anaerostipes Decrease: None No effect: None | Increase: TGs Decrease: HDL-c, LDL-c No effect: None | 15 | 24 | [40] |
| Not available | None | Increase: None Decrease: Body weight, BMI No effect: None | 21 | 6 | [42] |
| Jerusalem artichoke | Increase: Bifidobacterium, Faecalibacterium, Decrease: None No effect: None | Increase: None Decrease: None No effect: Acetate, butyrate, propionate | 13 | 24 | [44] |
| Combination | Effect on Gut Microbiota | Effect on Metabolic Disturbancesand SCFAs | Dose (g/d) | Time (Weeks) | Reference |
|---|---|---|---|---|---|
| Inulin–propionate ester | Increase: Bacteroides uniformis, Bacteroides xylanisolvens Decrease: Blautia obeum, Eubacterium ruminantium, A. hadrus, B. faecale, Prevotella copri No effect: Bifidobacterium | Increase: Insulin sensitivity, adipose tissue insulin resistance Decrease: Fasting insulin No effect: SCFAs, body weight, food intake | 20 | 6 | [9] |
| Inulin–propionate ester | None | Increase: PYY and GLP-1 Decrease: IHCL, Weight gain, intra-abdominal adipose tissue distribution No effect: None | 10 | 24 | [12] |
| Glucose + inulin | None | Increase: Acetate, propionate, and butyrate Decrease: None No effect: GLP-1, PYY, Grhelin | 99 | 3 | [27] |
| Catechins + inulin | None | Increase: None Decrease: Body weight, fat mass, BMI, blood pressure, glucose, No effect: Waist, hip, HDL-C, LDL-C, TGs, TC | 534 mg catechins + 11.7 g inulin | 3 | [18] |
| Inulin + maltodextrin | Increase: Parabacteroides, Bifidobacterium Decrease: Bilophila, Ruminococcus No effect: None | Increase: None Decrease: Insulin, SBP, DBP, white blood cells No effect: BMI, body weight, fat mass, waist, hip, TC, HDL-C, LDL-C, TGs | 20 | 12 | [23] |
| Oligofructose-enriched inulin | Increase: Bifidobacterium Decrease: None No effect: None | Increase: Acetate, propionate, valerate Decrease: None No effect: Isovalerate, isobutyrate, butyrate | 10 | 12 | [22] |
| Oligofructose-enriched inulin | Increase: Bifidobacterium, Decrease: Coprococcus, Dorea, Ruminococcus No effect: None | Increase: None Decrease: None No effect: SCFAs | 16 | 3 | [28] |
| Oligofructose-enriched inulin | Increase: Bifidobacterium, Faecalibacterium prausnitzii Decrease: Bacteroides intestinalis, B vulgatus No effect: None | Increase: None Decrease: None No effect: BMI, body weight, waist/hip ratio, HbA1c, fasting glycemia, insulinemia, TC, HDL-C or LDL-C, and TG | 16 | 12 | [36] |
| Oligofructose-enriched inulin | Increase: B. adolescentis, B. longum, B. pseudocatenulatum Decrease: None No effect: None | Increase: None Decrease: Acetate, butyrate No effect: Isobutyrate and isovalerate | 16 | 12 | [19] |
| Oligofructose-enriched inulin | Increase: B. adolescentis, B. longum, Bacteriodes vulgatus, Faecalibacterium prausnitzii Decrease: Roseburia sp., Eubacterium eligens, B. bifidum, Anaerostipes butyraticus No effect: Actinomyces | Increase: None Decrease: Body weight No effect: BMI, hist, waist, IL-6, HOMA-IR, insulin, | 8 | 16 | [10] |
| Inulin + Arabinoxylan | Increase: Bifidobacterium, Propionibacterium Decrease: None No effect: None | Increase: Acetate Decrease: None No effect: Butyrate, propionate | 8 | 12 | [39] |
| Inulin + fruit juice | Increase: Bifidobacterium, Lactobacillus Decrease: Eubacterium No effect: None | None | 10 | 3 | [41] |
| Inulin + pomegranate | Increase: Bifidobacterium, Akkermansia, Decrease: Lachnospira, Klebsiella No effect: None | Increase: None Decrease: None No effect: Body weight, BMI | 10 | 3 | [43] |
Disclaimer/Publisher’s Note: The statements, opinions and data contained in all publications are solely those of the individual author(s) and contributor(s) and not of MDPI and/or the editor(s). MDPI and/or the editor(s) disclaim responsibility for any injury to people or property resulting from any ideas, methods, instructions or products referred to in the content. |
© 2024 by the authors. Licensee MDPI, Basel, Switzerland. This article is an open access article distributed under the terms and conditions of the Creative Commons Attribution (CC BY) license (https://creativecommons.org/licenses/by/4.0/).
Share and Cite
Alonso-Allende, J.; Milagro, F.I.; Aranaz, P. Health Effects and Mechanisms of Inulin Action in Human Metabolism. Nutrients 2024, 16, 2935. https://doi.org/10.3390/nu16172935
Alonso-Allende J, Milagro FI, Aranaz P. Health Effects and Mechanisms of Inulin Action in Human Metabolism. Nutrients. 2024; 16(17):2935. https://doi.org/10.3390/nu16172935
Chicago/Turabian StyleAlonso-Allende, Jaime, Fermín I. Milagro, and Paula Aranaz. 2024. "Health Effects and Mechanisms of Inulin Action in Human Metabolism" Nutrients 16, no. 17: 2935. https://doi.org/10.3390/nu16172935
APA StyleAlonso-Allende, J., Milagro, F. I., & Aranaz, P. (2024). Health Effects and Mechanisms of Inulin Action in Human Metabolism. Nutrients, 16(17), 2935. https://doi.org/10.3390/nu16172935

