Difference in Body Composition Patterns between Age Groups in Italian Individuals with Overweight and Obesity: When BMI Becomes a Misleading Tool in Nutritional Settings
Abstract
1. Introduction
2. Materials and Methods
2.1. Participants and Design of the Study
2.2. Body Weight and Height
2.3. Body Composition and Distribution
- Body Fat (BF) = total body fat expressed in kg;
- BF percentage (BF%) (BF as a percentage of the total mass) = (BF ÷ body weight) × 100;
- trunk fat Trunk fat = total expressed in kg;
- Trunk fat percentage (%) = (trunk fat ÷ BF) × 100;
- Lean Mass (LM) = total lean mass, expressed in kg;
- Appendicular Lean Mass (ALM) = total lean mass in arms and legs, expressed in kg.
2.4. Statistical Analysis
3. Results
4. Discussion
4.1. Findings and Concordance with Previous Studies
4.2. Potential Clinical Implications
4.3. Study Strengths and Limitations
4.4. Future Research
5. Conclusions
Author Contributions
Funding
Institutional Review Board Statement
Informed Consent Statement
Data Availability Statement
Conflicts of Interest
References
- Kyle, U.G.; Genton, L.; Hans, D.; Karsegard, L.; Slosman, D.O.; Pichard, C. Age-related differences in fat-free mass, skeletal muscle, body cell mass and fat mass between 18 and 94 years. Eur. J. Clin. Nutr. 2001, 55, 663–672. [Google Scholar] [CrossRef]
- Baumgartner, R.N.; Stauber, P.M.; McHugh, D.; Koehler, K.M.; Garry, P. Cross-sectional age differences in body composition in persons 60+ years of age. J. Gerontol. A Biol. Sci. Med. Sci. 1995, 50, 307–316. [Google Scholar] [CrossRef]
- Coin, A.; Perissinotto, E.; Enzi, G.; Zamboni, M.; Inelmen, E.M.; Frigo, A.C.; Manzato, E.; Busetto, L.; Buja, A.; Sergi, G. Predictors of low bone mineral density in the elderly: The role of dietary intake, nutritional status and sarcopenia. Eur. J. Clin. Nutr. 2008, 62, 802–809. [Google Scholar] [CrossRef]
- He, X.; Li, Z.; Tang, X.; Zhang, L.; Wang, L.; He, Y.; Jin, T.; Yuan, D. Age- and sex-related differences in body composition in healthy subjects aged 18 to 82 years. Medicine 2018, 97, e11152. [Google Scholar] [CrossRef]
- Jiang, Y.; Zhang, Y.; Jin, M.; Gu, Z.; Pei, Y.; Meng, P. Aged-Related Changes in Body Composition and Association between Body Composition with Bone Mass Density by Body Mass Index in Chinese Han Men over 50-year-old. PLoS ONE 2015, 10, e0130400. [Google Scholar] [CrossRef]
- Ponti, F.; Santoro, A.; Mercatelli, D.; Gasperini, C.; Conte, M.; Martucci, M.; Sangiorgi, L.; Franceschi, C.; Bazzocchi, A. Aging and Imaging Assessment of Body Composition: From Fat to Facts. Front. Endocrinol. 2020, 10, 861. [Google Scholar] [CrossRef]
- Panuganti, K.K.; Nguyen, M.; Kshirsagar, R. Obesity. In StatPearls; StatPearls Publishing: Treasure Island, FL, USA, 2023. [Google Scholar]
- Apovian, C. Obesity: Definition, comorbidities, causes, and burden. Am. J. Manag. Care 2016, 22, S176–S185. [Google Scholar]
- El Ghoch, M.; Pellegrini, M. Why should sarcopenic obesity be included in a routine assessment during weight-management programmes? Front. Endocrinol. 2022, 13, 962895. [Google Scholar] [CrossRef]
- Wei, S.; Nguyen, T.T.; Zhang, Y.; Ryu, D.; Gariani, K. Sarcopenic obesity: Epidemiology, pathophysiology, cardiovascular disease, mortality, and management. Front. Endocrinol. 2023, 14, 1185221. [Google Scholar] [CrossRef]
- Maïmoun, L.; Mura, T.; Avignon, A.; Mariano-Goulart, D. Body Composition in Individuals with Obesity According to Age and Sex: A Cross-Sectional Study. J. Clin. Med. 2020, 9, 1188. [Google Scholar] [CrossRef]
- World Health Organization. Obesity: Preventing and Managing the Global Epidemic; World Health Organization: Geneva, Switzerland, 1998. [Google Scholar]
- Pray, R.; Riskin, S. The History and Faults of the Body Mass Index and Where to Look Next: A Literature Review. Cureus 2023, 15, e48230. [Google Scholar] [CrossRef]
- Garn, S.M.; Leonard, W.R.; Hawthorne, V.M. Three limitations of the body mass index. Am. J. Clin. Nutr. 1986, 44, 996–997. [Google Scholar] [CrossRef]
- Nuttall, F. Body Mass Index: Obesity, BMI, and Health: A Critical Review. Nutr. Today 2015, 50, 117–128. [Google Scholar] [CrossRef]
- WHO Expert Consultation. Appropriate body-mass index for Asian populations and its implications for policy and intervention strategies. Lancet 2004, 363, 157–163. [Google Scholar] [CrossRef]
- Wu, Y.; Li, D.; Vermund, S.H. Advantages and Limitations of the Body Mass Index (BMI) to Assess Adult Obesity. Int. J. Environ. Res. Public. Health 2024, 21, 757. [Google Scholar] [CrossRef]
- Di Renzo, L.; Itani, L.; Gualtieri, P.; Pellegrini, M.; El Ghoch, M.; De Lorenzo, A. New BMI Cut-Off Points for Obesity in Middle-Aged and Older Adults in Clinical Nutrition Settings in Italy: A Cross-Sectional Study. Nutrients 2022, 14, 4848. [Google Scholar] [CrossRef]
- Krueger, D.; Libber, J.; Sanfilippo, J.; Yu, H.J.; Horvath, B.; Miller, C.G.; Binkley, N. A DXA Whole Body Composition Cross-Calibration Experience: Evaluation With Humans, Spine, and Whole Body Phantoms. J. Clin. Densitom 2016, 19, 220–225. [Google Scholar] [CrossRef][Green Version]
- IBM Corp. IBM SPSS Statistics for Windows; Version 25.0.; IBM Corp: Armonk, NY, USA, 2017. [Google Scholar]
- Armstrong, R. When to use the Bonferroni correction. Ophthalmic Physiol. Opt. 2014, 34, 502–508. [Google Scholar] [CrossRef]
- Kim, Y.J.; Cribbie, R. ANOVA and the variance homogeneity assumption: Exploring a better gatekeeper. Br. J. Math. Stat. Psychol. 2018, 71, 1–12. [Google Scholar] [CrossRef]
- West, R. Best practice in statistics: Use the Welch t-test when testing the difference between two groups. Ann. Clin. Biochem. 2021, 58, 267–269. [Google Scholar] [CrossRef]
- Games, P.A.; Howell, J.F. Pairwise Multiple Comparison Procedures with Unequal N’s and/or Variances: A Monte Carlo Study. JEBS 1976, 1, 113–125. [Google Scholar]
- Ponti, F.; Plazzi, A.; Guglielmi, G.; Marchesini, G.; Bazzocchi, A. Body composition, dual-energy X-ray absorptiometry and obesity: The paradigm of fat (re)distribution. BJR Case Rep. 2019, 5, 20170078. [Google Scholar] [CrossRef] [PubMed]
- Kelly, D.M.; Jones, T. Testosterone and obesity. Obes. Rev. 2015, 16, 581–606. [Google Scholar] [CrossRef] [PubMed]
- Ma, H.; Sun, J.; Wu, X.; Mao, J.; Han, Q. Percent body fat was negatively correlated with Testosterone levels in male. PLoS ONE 2024, 19, e0294567. [Google Scholar] [CrossRef] [PubMed]
- Millar, A.C.; Lau, A.N.C.; Tomlinson, G.; Kraguljac, A.; Simel, D.L.; Detsky, A.S.; Lipscombe, L. Predicting low testosterone in aging men: A systematic review. Cmaj 2016, 188, E321–E330. [Google Scholar] [CrossRef]
- Stanworth, R.D.; Jones, T. Testosterone for the aging male; current evidence and recommended practice. Clin. Interv. Aging 2008, 3, 25–44. [Google Scholar]
- Li, C.W.; Yu, K.; Shyh-Chang, N.; Jiang, Z.; Liu, T.; Ma, S.; Luo, L.; Guang, L.; Liang, K.; Ma, W.; et al. Pathogenesis of sarcopenia and the relationship with fat mass: Descriptive review. J. Cachexia Sarcopenia Muscle 2022, 13, 781–794. [Google Scholar] [CrossRef] [PubMed]
- Chait, A.; den Hartigh, L. Adipose Tissue Distribution, Inflammation and Its Metabolic Consequences, Including Diabetes and Cardiovascular Disease. Front. Cardiovasc. Med. 2020, 7, 22. [Google Scholar] [CrossRef] [PubMed]
- Tannir, H.; Itani, L.; El Masri, D.; Kreidieh, D.; El Ghoch, M. Lifetime Weight Cycling and Central Fat Distribution in Females With Obesity: A Brief Report. Diseases 2020, 8, 8. [Google Scholar] [CrossRef]
- Rossi, A.P.; Rubele, S.; Calugi, S.; Caliari, C.; Pedelini, F.; Soave, F.; Chignola, E.; Bazzani, P.V.; Mazzali, G.; Dalle Grave, R.; et al. Weight Cycling as a Risk Factor for Low Muscle Mass and Strength in a Population of Males and Females with Obesity. Obesity 2019, 27, 1068–1075. [Google Scholar] [CrossRef]
- Busetto, L.; Dicker, D.; Frühbeck, G.; Halford, J.C.G.; Sbraccia, P.; Yumuk, V.; Goossens, G.H. A new framework for the diagnosis, staging and management of obesity in adults. Nat. Med. 2024. Online ahead of print. [Google Scholar] [CrossRef] [PubMed]
- Szadvári, I.; Ostatníková, D.; Babková Durdiaková, J. Sex differences matter: Males and females are equal but not the same. Physiol. Behav. 2023, 259, 114038. [Google Scholar] [CrossRef] [PubMed]
- Kammula, A.V.; Schäffer, A.A.; Rajagopal, P.S.; Kurzrock, R.; Ruppin, E. Outcome differences by sex in oncology clinical trials. Nat. Commun. 2024, 15, 2608. [Google Scholar] [CrossRef] [PubMed]
- LaForgia, J.; Dollman, J.; Dale, M.J.; Withers, R.T.; Hill, A. Validation of DXA body composition estimates in obese men and women. Obesity 2009, 17, 821–826. [Google Scholar] [CrossRef] [PubMed]
- Bredella, M.A.; Ghomi, R.H.; Thomas, B.J.; Torriani, M.; Brick, D.J.; Gerweck, A.V.; Misra, M.; Klibanski, A.; Miller, K. Comparison of DXA and CT in the assessment of body composition in premenopausal women with obesity and anorexia nervosa. Obesity 2010, 18, 2227–2233. [Google Scholar] [CrossRef] [PubMed]
- Petak, S.; Barbu, C.G.; Elaine, W.Y.; Fielding, R.; Mulligan, K.; Sabowitz, B.; Wu, C.H.; Shepherd, J.A. The official positions of the International Society for Clinical Densitometry: Body compositionanalysis reporting. J. Clin. Densitom. 2013, 16, 508–519. [Google Scholar] [CrossRef] [PubMed]
- Chaves, L.G.C.M.; Gonçalves, T.J.M.; Bitencourt, A.G.V.; Rstom, R.A.; Pereira, T.R.; Velludo, S.F. Assessment of body composition by whole-body densitometry: What radiologists should know. Radiol. Bras. 2022, 55, 305–311. [Google Scholar] [CrossRef]
- Patino, C.M.; Ferreira, J. Internal and external validity: Can you apply research study results to your patients? J. Bras. Pneumol. 2018, 44, 183. [Google Scholar] [CrossRef] [PubMed]
- Heymsfield, S.B.; Peterson, C.M.; Thomas, D.M.; Heo, M.; Schuna, J.M., Jr. Why are there race/ethnic differences in adult body mass index-adiposity relationships? A quantitative critical review. Obes. Rev. 2016, 17, 262–275. [Google Scholar] [CrossRef]
- Wang, X.; Cheng, Z. Cross-Sectional Studies: Strengths, Weaknesses, and Recommendations. Chest 2020, 158, S65–S71. [Google Scholar] [CrossRef]
- Mitchell, D.; Haan, M.N.; Steinberg, F.M.; Visser, M. Body composition in the elderly: The influence of nutritional factors and physical activity. J. Nutr. Health Aging 2003, 7, 130–139. [Google Scholar] [PubMed]




| Age Group | |||||
|---|---|---|---|---|---|
| Total (n = 1649) | 20–39 Years (n = 445) | 40–59 Years (n = 602) | 60–79 Years (n = 602) | Significance | |
| Age years | 52.5 (14.6) | 31.7 (5.9) a | 54.1 (4.3) b | 66.3 (5.0) c | p < 0.05 § |
| Weight (kg) | 78.1 (13.2) | 78.4 (13.8) | 78.1 (12.9) | 78.0 (12.9) | p > 0.05 ¥ |
| BMI (kg/m2) | 31.4 (5.0) | 31.1 (5.2) | 31.6 (4.9) | 31.6 (4.9) | p > 0.05 ¥ |
| BF (kg) | 35.6 (9.5) | 35.3 (10.4) | 35.6 (9.0) | 35.9 (9.3) | p > 0.05 ¥ |
| BF% (%) | 45.4 (5.8) | 44.9 (6.4) | 45.5 (5.5) | 45.7 (5.5) | p > 0.05 § |
| Trunk fat (kg) | 18.9 (5.5) | 17.8 (5.9) a | 19.1 (5.3) b | 19.4 (5.4) b | p < 0.05 ¥ |
| Trunk fat (%) | 47.9 (6.3) | 46.6 (7.4) a | 48.2 (5.9) b | 48.5 (5.7) b | p < 0.05 § |
| LM (kg) | 39.7 (5.7) | 39.8 (5.9) | 39.5 (5.4) | 39.8 (5.7) | p > 0.05 § |
| ALM (kg) | 17.3 (2.7) | 17.8 (2.8) a | 17.0 (2.6) b | 17.1 (2.7) b | p < 0.05 ¥ |
| Age Group | |||||
|---|---|---|---|---|---|
| Total (n = 1195) | 20–39 Years (n = 337) | 40–59 Years (n = 429) | 60–79 Years (n = 429) | Significance | |
| Age years | 51.8 (14.8) | 31.6 (6.1) a | 53.2 (4.7) b | 66.2 (4.9) c | p < 0.05 § |
| Weight (kg) | 90.3 (13.6) | 90.5 (13.9) | 90.2 (13.4) | 90.2 (13.4) | p > 0.05 ¥ |
| BMI (kg/m2) | 30.5 (4.1) | 30.3 (4.3) | 30.6 (4.1) | 30.6 (4.1) | p > 0.05 ¥ |
| BF (kg) | 30.5 (9.7) | 29.4 (11.0) a | 30.2 (9.2) a,b | 31.7 (8.8) b | p < 0.05 § |
| BF% (%) | 33.3 (6.8) | 31.7 (8.3) a | 33.2 (6.1) b | 34.6 (5.6) c | p < 0.05 § |
| Trunk fat (kg) | 18.7 (6.1) | 17.0 (6.7) a | 18.9 (5.9) b | 19.9 (5.5) c | p < 0.05 § |
| Trunk fat (%) | 39.3 (7.7) | 36.6 (9.6) a | 39.6 (6.7) b | 41.1 (6.3) c | p < 0.05 § |
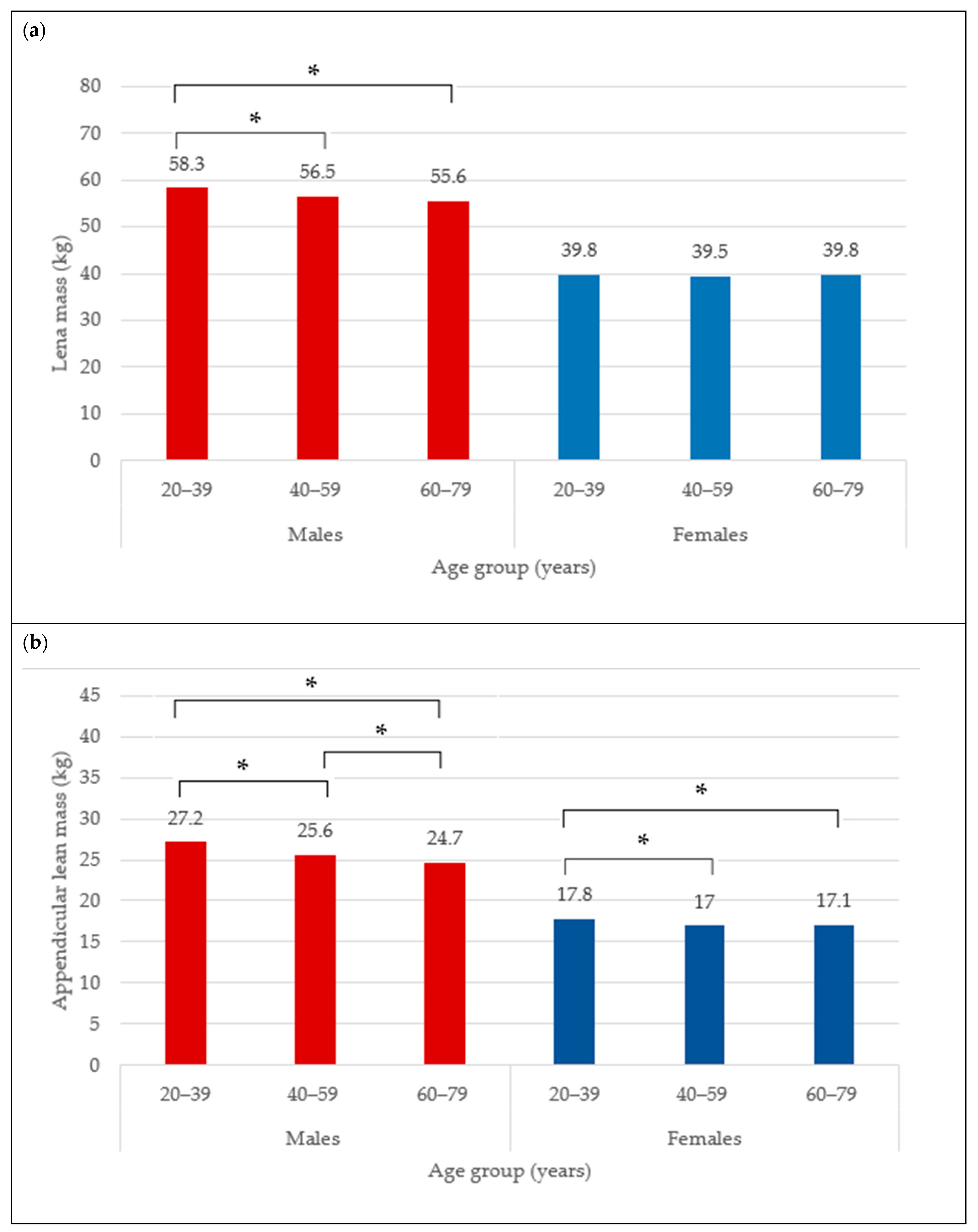
| LM (kg) | 56.7 (6.8) | 58.3 (6.9) a | 56.5 (6.5) b | 55.6 (6.6) b | p < 0.05 ¥ |
| ALM (kg) | 25.7 (3.6) | 27.2 (3.7) a | 25.6 (3.4) b | 24.7 (3.4) c | p < 0.05 ¥ |
| Males | Females | |
|---|---|---|
| β (95%CI) | ||
| BMI (kg/m2) | 1.04 (0.96; 1.13) | 0.73 (0.68; 0.78) |
| Middle-aged adult group | 2.66 (1.78; 3.54) | 1.23 (0.59; 1.86) |
| Older-aged adult group | 4.21 (3.34; 5.09) | 1.55 (0.92; 2.18) |
| Males | Females | |
|---|---|---|
| β (95%CI) | ||
| BMI (kg/m2) | 0.31 (0.27; 0.36) | 0.27 (0.25; 0.30) |
| Middle-aged adult group | −1.70 (−2.16; −1.23) | −0.89 (−1.18; −0.61) |
| Older-aged adult group | −2.63 (−3.10; −2.17) | −0.81 (−1.09; −0.52) |
Disclaimer/Publisher’s Note: The statements, opinions and data contained in all publications are solely those of the individual author(s) and contributor(s) and not of MDPI and/or the editor(s). MDPI and/or the editor(s) disclaim responsibility for any injury to people or property resulting from any ideas, methods, instructions or products referred to in the content. |
© 2024 by the authors. Licensee MDPI, Basel, Switzerland. This article is an open access article distributed under the terms and conditions of the Creative Commons Attribution (CC BY) license (https://creativecommons.org/licenses/by/4.0/).
Share and Cite
De Lorenzo, A.; Itani, L.; El Ghoch, M.; Gualtieri, P.; Frank, G.; Raffaelli, G.; Pellegrini, M.; Di Renzo, L. Difference in Body Composition Patterns between Age Groups in Italian Individuals with Overweight and Obesity: When BMI Becomes a Misleading Tool in Nutritional Settings. Nutrients 2024, 16, 2415. https://doi.org/10.3390/nu16152415
De Lorenzo A, Itani L, El Ghoch M, Gualtieri P, Frank G, Raffaelli G, Pellegrini M, Di Renzo L. Difference in Body Composition Patterns between Age Groups in Italian Individuals with Overweight and Obesity: When BMI Becomes a Misleading Tool in Nutritional Settings. Nutrients. 2024; 16(15):2415. https://doi.org/10.3390/nu16152415
Chicago/Turabian StyleDe Lorenzo, Antonino, Leila Itani, Marwan El Ghoch, Paola Gualtieri, Giulia Frank, Glauco Raffaelli, Massimo Pellegrini, and Laura Di Renzo. 2024. "Difference in Body Composition Patterns between Age Groups in Italian Individuals with Overweight and Obesity: When BMI Becomes a Misleading Tool in Nutritional Settings" Nutrients 16, no. 15: 2415. https://doi.org/10.3390/nu16152415
APA StyleDe Lorenzo, A., Itani, L., El Ghoch, M., Gualtieri, P., Frank, G., Raffaelli, G., Pellegrini, M., & Di Renzo, L. (2024). Difference in Body Composition Patterns between Age Groups in Italian Individuals with Overweight and Obesity: When BMI Becomes a Misleading Tool in Nutritional Settings. Nutrients, 16(15), 2415. https://doi.org/10.3390/nu16152415

